Компьютер, как мозг

в 10:16, , рубрики: компьютер, мозг, наука, Человек

Данная статья содержит краткое описание метода связе-ориентированного моделирования и метода разработки само-описанных приложений, работающих на основе этих моделей. Те преимущества, которые дает этот метод позволяют предположить, что гиперсетевая структура мозга – когнитом – устроена подобно этой модели. На основе этого предположения показано, как компьютер может демонстрировать те способности, которые ранее приписывались исключительно мозгу. В частности, работать без заранее написанной программы, иметь сознание, свойства личности и свободу воли.

И мозг, и компьютер являются информационными системами, поскольку каждая из них выполняет функции приема, обработки, хранения и использования информации. Поэтому аналогия мозга и компьютера напрашивается сама собой несмотря на то, что физическое устройство их совершенно различно.

 Однако есть ряд обстоятельств, которые отличают мозг от компьютера в «лучшую» сторону. В лучшую в том смысле, что ряд возможностей мозга компьютер реализовать не может. И несмотря на то, что элементы, из которых устроен компьютер – полупроводниковые микросхемы – имеют несравненно большую скорость работы, чем нейроны головного мозга, а электронные каналы гораздо большую скорость передачи данных, чем нервные волокна, считается, что компьютер заведомо уступает мозгу по возможностям. Это выражается в сакраментальной фразе «Компьютер мыслить не может».

Рассмотрим главные аргументы, которые используются сторонниками этой точки зрения:

  1. Компьютер работает по программе, созданной человеком, а мозг мыслит без программы, свободно. Если для решения какой-либо задачи мозгу нужна программа действий, то он создает ее себе сам.

  2. Любая программа для компьютера обладает ограниченными возможностями адаптации. Грубо говоря, программу для игры в шахматы невозможно адаптировать для игры в шашки.

  3. Компьютер лишен сознания.

  4. У компьютера нет личности, а также эмоций: страха, совести, гордости и проч.

  5. Ответы компьютера всегда детерминированы, что исключает у него наличие свободы воли, т.к. результат выбора из двух альтернатив при одних и тех же начальных условиях каждый раз будет один и тот же.

В данной работе показывается, что основные слабости компьютера заключены не в нем, а в том подходе, который используется для описания информации, которую он обрабатывает и в том способе написания программ, который принят сейчас повсеместно и основан на объекто-ориентированном подходе — ООП. 

Как показали теоретические рассуждения, подкрепленные к тому же двумя реализациями, прошедшими промышленную эксплуатацию, существует иной подход к организации информации об окружающем мире. Этот подход, названный автором связе-ориентированным (сокращенно СО), позволяет стандартизовать информационные модели всех предметов и большинства действий. 

СО модель базируется на том, что любые данные о предмете происходят из его связей с другими предметами или действиями. 

СО модель реальности – это способ представления информации об окружающем мире в виде структуры, содержащей образы предметов и их взаимодействий друг с другом. И предметы, и взаимодействия являются информационными объектами этой модели, но главными информационными объектами здесь являются связи между ними. Все данные о предметах содержатся в виде атрибутов этих связей. 

Следует пояснить, почему данные об объектах находятся в их связях. Дело в том, что любая информация об объектах появляется в результате взаимодействия этого объекта с другими объектами. Крайним выражением этой мысли является утверждение, что объект, который ни с чем не взаимодействует и не может взаимодействовать – не существует. 

А результат взаимодействия – это связь между объектами.  Рассмотрим несколько примеров: 

Измерение – это сравнение объекта с эталоном, т.е. связь между объектом и эталоном. А результат этого измерения – это кратность этой связи, т.е. число, показывающее сколько экземпляров эталона (например, кг) эквивалентно этому объекту. 

Упорядочивание набора объектов, когда мы строим из них цепочку. Номер по порядку – это атрибут связи объекта с объектом — цепочкой. 

Переход от действия к действию осуществляется по связи «Следующий», а в этой связи содержится атрибут – «Достаточное условие перехода». И т.д.

Связь – это не объект, существующий в реальности, это чисто информационный объект, имеющий у тому же структуру, зависящую от способа хранения этой связи и от состава данных, включенных в нее. Данные могут быть, как термами, т.е. числами, ссылками или словами, так и функциями, например, условными выражениями.

Использование СО подхода к описанию информации позволяет полностью изменить технологию разработки и сопровождения программных приложений. Суть новой технологии заключается в том, что для нее сначала разрабатывается универсальный модуль – Application Control System (ACS) или Система Управления Приложениями. Ему на вход дается СО модель предметной среды, с которой некое приложение будет работать и СО модель этого самого приложения. И эта пара – ACS и СО модель приложения и предметной среды работает, как приложение. 

Таким образом разработка нового приложения будет происходить путем конструирования его СО модели. Эта работа может производиться непосредственно системным аналитиком без привлечения программистов. Также происходит и адаптация приложения – путем изменения его модели.  

Действие «Регистрация» изменяет значение связи со старого значения на новое.

Действие «Регистрация» изменяет значение связи со старого значения на новое.

В данном примере значение связи – это ее направление, т.е. объект, на который она указывает.

Рассмотрим пример кратной связи, образующейся между предметом и эталоном веса в результате действия «Взвешивание». Здесь Р – вещественное число – атрибут связи «Кратность», а вся связь представляет собой величину (веса), где численное значение Р неотделимо от единицы измерения – эталона – кг.

Компьютер, как мозг - 2

Кратность связи, хотя это просто число, выгодно отличается от просто числовой переменной. Дело в том, что она «прикреплена» к связи, отражающей действие или результат действия и таким образом осмыслена. Имеющаяся в примере величина Р не может трактоваться, как, например, стоимость предмета или его размер, т.к. она образуется при взвешивании, а значит является весом.

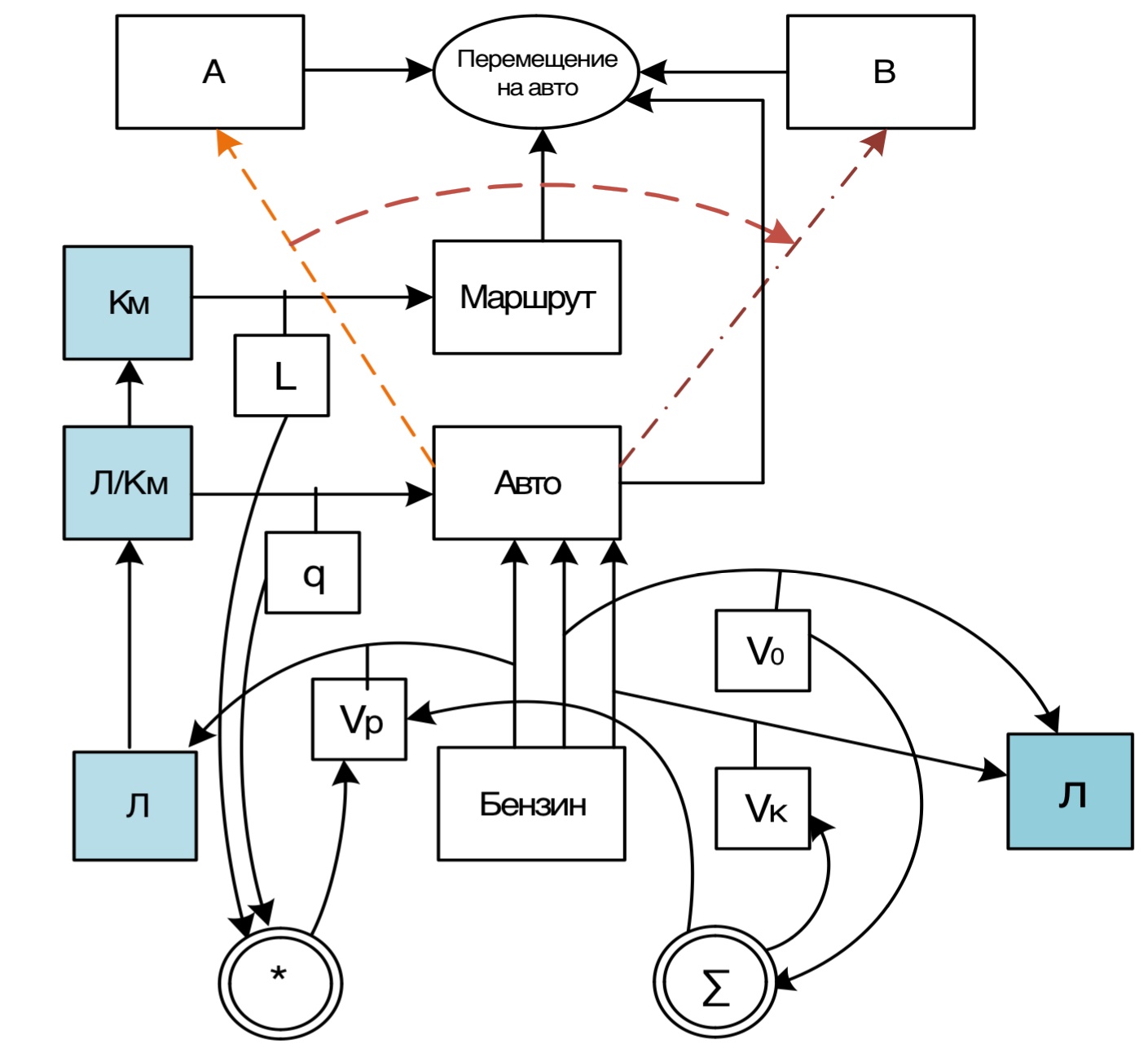
Рассмотрим пример, где есть и изменение направления связи, и изменение ее кратности. Это пример с перемещением автомобиля из одной точки в другую по маршруту длиной L с расчетом планируемых затрат бензина. Здесь q плановый расход бензина в л/км, V0 – начальное количество бензина, Vk – конечное количество бензина.

Интересно, как образуется производная единица измерения, в данном примере – это л/км. Стрелка, направленная на л/км означает, что л идет в числитель, а стрелка, направленная от л/км означает, что км идет в знаменатель. По этому принципу можно построить любую производную единицу измерения.

Компьютер, как мозг - 3

Модель действия, изменяющая величины, т.е. кратности связей, объектов, участвующих в действии сложнее. Хотя, так или иначе алгоритм изменения величин сводится к арифметическим действиям сложения и умножения и может быть описана в виде цепочек связей, однако в общем случае такое описание является громоздким и неудобным. Поэтому следует использовать для вычислений традиционные алгебраические выражения или программные функции. Они описываются на модели условным двойным кружком, куда стрелками входят исходные аргументы, имеющиеся в модели, а результат – это исходящий указатель на кратную связь, являющуюся результатом вычислений.

СО модель позволяет построить маршрут, т.е. последовательность действий, которая приводит предметы к нужному состоянию, а также понять, какие действия в прошлом привели предметы в их текущее состояние. Наличие этих возможностей делает СО модель осмысленной, т.е. позволяющей видеть смыслы предметов и действий.

Этот маршрут аналогичен по устройству обычному бизнес-процессу. Он отличается только тем, что необходимые условия перехода к следующему шагу описаны в модели и обобщенное действие перехода автоматически их проверяет 

На самом деле описание СО моделирования сложнее того, что приведено здесь. Многие важные вещи упущены с целью упростить текст, т.к. он не является пособием по СО моделированию. В частности, ничего не сказано про классы, и механизм их наследования. А он весьма интересен, т.к. скопирован с механизма наследования генов и выгодно отличается от принятого в ООП.

Современная когнитивная наука, изучающая мышление мозга пришла к выводу, что мозг строит для себя поверх нейронной сети гиперсетевую структуру, названную Когнитом. Автором этой теории является директор института когнитивных исследований Л. Анохин. Эта гиперсетевая структура очень похожа на СО модель реальности. В этой структуре присутствуют образы внешних предметов и классы, которые ассоциируются с понятиями и имеют явную связь со словами, которыми эти понятия обозначаются.  Поскольку детальное изучение Когнитома – дела будущего, автор предположил, что СО модель и Когнитом – во многих аспектах одно и тоже. 

Это предположение позволяет делать интересные выводы о сходстве работы мозга и компьютера. В частности показать, что такие кажущиеся отличия мозга от компьютера, как работа под управлением индивидуальных программ, отсутствие у компьютера сознания, личности и свободы воли вполне могут компьютером эмулироваться. 

Обобщенные действия

Обобщенными действиями в информационной системе (ИС) называются такие действия, которые могут быть использованы для самых разных объектов без модификации кода действия. Это, например, действие изменения связи объекта. Этим действием можно моделировать множество реальных действий, сводящихся к изменению состояния объекта. Например, перемещение из точки в точку, перемещение по службе, изменение статуса объекта (был неисправен – стал исправен) и т.д. 

Возможность создания обобщенных действий основана на том, что все предметные объекты имеют одинаковую структуру. Это пакет связей различных типов. Типов этих немного, и они заранее известны. Отличаются объекты только составом своих пакетов связи. Все эти пакеты описаны в СО модели данных, поэтому можно написать любое действие их обработки так, чтобы оно ориентировалось на описание этого пакета. Фактически от самого объекта остается только точка, к которой прикреплены эти связи.

Это не следует, конечно, понимать, что можно создать такое действие, которое заменит собой все возможные действия. Дело в том, что большинство реальных действий представляют собой цепочки из множества действий, т.е. фактически алгоритмы, и их придется разрабатывать заново, но бонус здесь в том, что однажды разработанный алгоритм, работающий со СО объектами, будет инвариантен по отношению к виду этих объектов. Обобщенное действие аналогично разработанной технологии в промышленном производстве. Если вы разработали технологию производства, например, стеклянной посуды, вы можете использовать ее без изменений для производства посуды самой разной формы и назначения. 

Есть еще одна прямая аналогия. Любая аналитическая функция: синусоида, экспонента, парабола описывает поведение системы, имеющей соответствующее внутреннее устройство независимо от того, какие материальные объекты она описывает. Например, экспонента одинаково хорошо описывает развитие взрыва и развитие колонии микробов. Также и обобщенная функция может быть использована для описания самых разных процессов в структурированной модели реальности.

Обобщенные действия, работающие с описанием объектов, позволяют реализовать в общем виде поддержку целостности базы данных, как при вводе данных, так, и что сложнее, при их последующем редактировании. В частности, если мы имеем составной объект, где данные одной его части зависят от других частей, автоматически блокируется  попытка удаления объекта, на который идет ссылка. И если числовое значение в объекте – есть сумма, расположенных ниже по иерархии объектов, и нижний объект редактируется, то автоматически пересчитывается сумма во всех объектах, расположенных выше. 

Использование обобщенных функций эффективно при разработке новых приложений. Действия, которые совершаются в ИС чаще всего одинаковы по их смыслу и отличаются только видом объектов, с которыми они работают и условиями, заданными на этих объектах. Особенно это относится к разработке интерфейсов и работе с базами данных, т.к. действия, которые при этом совершаются не отличаются разнообразием и легко могут быть выполнены обобщенными действиями.

Само-описанные системы.

Информационная система содержит множество объектов, необходимых для выполнения ее функций. Объекты хранения данных: диски, файлы, записи, индексы и т.д., объекты интерфейса: сеансы, окна, меню, поля, кнопки и т.д. Все эти объекты физически представляют собой поля хранения или отображения данных, но логически – это информационные объекты. Если мы в СО модель мира или говоря скромнее, модель предметной среды, информацию о которой мы обрабатываем, включим и информационную модель самого приложения, которое выполняет эту работу, то мы получим модель так называемого само-описанного приложения или само описанной системы. 

Смысл ее в том, что при наличии нескольких необходимых обобщенных действий, необходимых для работы ИС, мы можем заставить наше приложение работать на основе его собственного описания. Совокупность обобщенных функций и представляет собой в совокупности, упоминавшеюся раньше, Application Control System (ACS) или Систему Управления Приложениями. Сама по себе ACS не является приложением, т.к. она не содержит данных, необходимых для работы. Но если ей на вход дать модель конкретного само-описанного приложения, которое содержит эти данные, но не содержит функций необходимых для работы, то в совокупности они станут этим самым приложением, притом легко адаптируемым. 

Легкость адаптации проистекает из того, что, меняя модель системы, мы меняем ее саму, т.е. меняем состав объектов, с которыми она работает, меняем интерфейс и все, что угодно. Таким образом, мы получаем полностью адаптивную систему. Разработка приложения в такой среде сводится к созданию модели предметной среды плюс модель самого приложения. Очевидно, что конструирование модели из данных – процесс гораздо более наглядный и надежный, чем написание кода. К тому же можно сам этот процесс реализовать с помощью специального приложения – конструктора, который к тому же будет содержать набор сервисных программ, которые в процессе конструирования будут вести контроль за его правильностью. 

В результате полностью меняется вся технология разработки программных приложений. Вместо программистов их будут разрабатывать непосредственно системные аналитики. Это не только уменьшит трудоемкость и удешевит разработку, но и приведет к существенному снижению числа ошибок.

Впрочем, работа программистов все-таки понадобиться для написания специальных алгоритмов расчета или действий, поддерживающих новые элементы интерфейса. Но эта работа будет носить в основном обобщенный характер. Написанный один раз код, можно будет использовать во всех других случаях, где встретится такой алгоритм или интерфейс.

Замечательно, что этот метод разработки не является чистой теорией, т.к. он уже был дважды апробирован для создания промышленно эксплуатировавших приложений и показал прекрасные результаты. Причем вторая реализация была многопользовательской системой медицинского страхования, включающая работу с договорами, финансовыми документами и диспетчерской по приему и отслеживанию выполнения заказов на медицинское обслуживание.

Сознание

Наличие у субъекта сознания является по непонятной автору причине трудно объяснимым фактом. Для выяснения природы этого феномена привлекаются самые сложные и экстравагантные теории, включая утверждение, что это проявление квантовых эффектов в работе мозга. На самом деле проблемой здесь является корректное определение того, что понимается под сознанием.

Чтобы найти адекватное определение этого феномена, можно идти двумя путями. Первый – понять, что происходит в мозгу, который обладает сознанием, второй – путь от противного. Понять, что происходит в мозгу, когда сознание отсутствует. 

Самый простой подход к понятию сознания, можно реализовать, если слово «сознание» заменить на слово «осознание». Проанализируем этот путь и покажем, что осознание и сознание, в сущности, одно и то же. Осознание означает, что наш разум понимает, ту предметную среду, в которой находится субъект, включая в эту предметную среду и самого себя, как элемент этой среды. 

Понимание означает, что все объекты окружающего мира распознаны и привязаны разумом к тем понятиям или классам, которые имеются в его гиперсетевой структуре мира (в когнитоме или в СО модели мира), и, следовательно, ему понятны и те действия, которые в этом мире могут происходить и влияние этих действий на него самого. И обратно, как можно повлиять на эти объекты самому субъекту.

Но это только одна сторона понимания, связанная с внешним восприятием. Вторая сторона связана с восприятием внутреннего мира субъекта – пониманием тех мыслей и образов, которые воспринимаются разумом через внутренние органы чувств: зрение и слух. Мысли воспринимаются, как слышимая изнутри речь, а образы – непосредственно, как картинки или видио. Все это сопровождается возникновением чувств и эмоций, сопровождающих эти мысли и образы и в общем виде является рефлексией *.

Разумеется, внешнее и внутренне восприятие тесно связаны и имеют общую цель оценки ситуации и поиска путей достижения целей субъекта.

Не следует смешивать понятие сознания с понятием личности или внутреннего Я. Это отдельное свойство разума, хотя, как будет показано ниже тесно связанное с сознанием. Сознание, понимаемое, как осознание присущее несомненно не только человеку, но и животным. Кто видел, как спит собака, знает, что время от времени она видит сны, пытается во сне лаять и даже имитирует бег.

Попробуем теперь подойти к пониманию сознания методом «от противного». Что означает отсутствие сознания? 

Во-первых, это то, что называется подсознанием или бессознательным мышлением. Факт его наличия давно доказан психологами. Бессознательное мышление позволяет организму восстанавливать себя во время сна, позволяет использовать долговременную память, вспоминая, то, что нужно спонтанно, без участия воли. Наконец, позволяют решать сложные задачи, которые оказались не под силу логическому мышлению. При этом решение выбрасывается из подсознания в сознание спонтанно, в виде внезапного озарения. 

Бессознательное мышление руководит нашими движениями, отработанными до автоматизма. Движение под управлением подсознания наиболее быстрое и точное и является признаком профессионализма. Такие движения мы совершаем при ходьбе. Такое движение нам демонстрируют спортсмены – игровики. Опытный водитель в критической ситуации отключает сознание и действует интуитивно. Профессиональный художник, в поиске выразительности не придумывает картинку, которую потом изображает, а выражает свои чувства сразу движением кисти с интуитивным выбором цвета. И т.д.

Чем же отличается для субъекта подсознательное мышление от сознательного? Видимо тем, что сам процесс мышления не наблюдаем рефлексивно разумом. Следовательно, наличие рефлексии мышления является непременным атрибутом сознания.

Во-вторых, существует состояние мозга, когда сознание полностью отключается. Это происходит во сне и при паталогической потере сознания при ударе, и различных заболеваниях. При этом не только отсутствует рефлексия, но и полностью теряется осознание окружающего мира, хотя органы чувств могут частично функционировать. Но не происходит процесс понимания окружающего. 

Все вышеописанное приводит нас к мысли, что сознание и есть осознание, как окружающей субъекта реальности, так и его собственных мыслей и чувств.

Сознание собственных мыслей и образов может не только ориентироваться во внешнем мире, но и ориентироваться в воображаемых альтернативных мирах. Это могут быть, как ситуации, основанные на реальных воспоминаниях субъекта, так и полностью придуманные или виртуальные миры. Причем это могут быть, как миры, в принципе возможные, так и полностью фантастические, где и предметы, и действия отличаются от всего того, что видел субъект в реальном мире.

Эта творческая деятельность мозга присуща не только сознанию, но и подсознанию. Подсознательные фантазии проявляются в виде снов. Природа снов, причина появления именно таких снов и их влияние на психику субъекта подробно изучена специалистами по психоанализу, начиная с З. Фрейда. Желающие могут познакомиться с его трудами самостоятельно.

Личность

Осознание собственной личности является еще одним из трудно понимаемых феноменов в деятельности разума. Попробуем разобраться с ним, используя понятие СО модели реальности, существующей в мозгу в виде когнитома. 

Как уже было сказано, одним из объектов внешнего мира, существующим в виде модели в гиперсетевой структуре когнитома, является модель самого субъекта. Эту модель можно условно разделить на две части: модель физического тела и модель ментальную и или мыслительную. Физическая модель содержит описание всех частей тела субъекта, их возможных движений и сенсоров, дающих мозгу ощущение о положении частей тела в пространстве, напряжении мышц, тактильных ощущений от кожи и внутренних органов. Короче всего, что необходимо для организации и управления движением тела. 

Физическая модель является основой для формирования представления мозга о собственной физической личности, т.к. именно с ее помощью осуществляется обратная связь между сигналом, переданным мышцам, заставляющих их двигаться и ощущениями, показывающим мозгу, что это движение действительно произошло. Наличие этой обратной связи и формирует отличие модели собственного тела от моделей всех других тел, наблюдаемых сознанием в окружающем мире. Т.е. формирует представление о собственной личности.

Приведу пару примеров в подтверждении этой мысли. Автору как-то пришлось стать пациентом, которому дали, так называемый, спинальный наркоз. Это укол в нижний отдел позвоночника, полностью парализующий всю нижнюю часть тела и при этом сохраняющий сознание. Пациент при этом полностью теряет ощущение и контроль над своими ногами. Их перекладывают, устраивают, но они кажутся при это чем-то посторонним, совершенно не относящимися к телу пациента. Это показывает, что наличие обратной связи является необходимым условием восприятия тела и его частей, как составляющих физическую личность пациента.

Другой пример еще более разительный. Известен опыт, когда мозг заставляют поверить, что видимый субъектом искусственный объект, имеющий форму руки, является его собственной рукой. Этот опыт основан на типичной для мозга привычке сводить в единое целое несколько видов сенсорных ощущений. В данном случае тактильных и зрительных. Настоящая рука испытуемого прикрыта салфеткой и ее под салфеткой слегка поглаживают. А искусственная рука лежит рядом, она видна испытуемому и ее тоже поглаживают. Через некоторое время зрительное ощущение и тактильное у мозга сливаются, и он начинает воспринимать искусственную руку, как собственную. После этого в искусственную руку внезапно втыкают нож, и испытуемый с криком отдергивает собственную руку, будучи уверен, что удар попал в нее. 

Вторая часть модели – ментальная. Она поддерживает ощущение субъекта во времени и в его жизненных обстоятельствах. Прежде всего вокруг нее концентрируются все воспоминания субъекта о прошлом, как отдаленном, так и ближайшем. Благодаря этой модели субъект понимает, где он находится, кто он такой и что его окружает. Потеря, даже временная этих сведений тяжело переживается субъектом и носит название когнитивный диссонанс. Однако обратная связь ментальной личности устанавливается труднее, чем физической.

Например, субъект может, оставшись ночевать в непривычном месте, обнаружить внезапно проснувшись, что там, где он обычно вставал с пастели находится стенка. Это может вызвать у него короткий приступ паники, пока он не откроет глаза и не разберется, что спит не у себя дома. 

Руки и ноги у субъекта всегда находятся на том же месте, что нельзя сказать о воспоминаниях. По разным причинам память о прошлых событиях может быть у него искажена или даже полностью вытеснена. Это создает у него ошибочное ощущение о своей личности и ее роли в прошлом. Практически это деформирует, искажает личность, а установить обратную связь, чтобы ее исправить бывает трудно. С этим связано, в частности, возникновение неврозов, как результат вытесненных из сознания, но существующих в подсознании памяти о негативных событиях прошлого. Исправление этих ситуаций задача психоаналитика, который путем специальных практик заставляет пациента вспомнить вытесненные переживания и изжить их в текущей период жизни. В результате исчезает причина невроза и с ней и сам невроз.

Интересный опыт в изучении ментальной личности дают патологии, при которых у пациента оказываются в мозгу две и более не связанных между собой личности, каждая со своим набором воспоминаний, привычек и душевных качеств. Причем пациент, находящийся во власти одной личности, не имеет представления о других. 

Были примеры, когда одна личность была весьма чопорной дамой со строгими правилам, а другая вела весьма легкомысленный образ жизни, имея множество сомнительных приключений.

Этот пример со многими личностями убедительно показывает, что личность – это фрагмент памяти, иначе, ментальная модель субъекта, а вовсе не некий материальный или сакральный объект, типа души.

Теперь рассмотрим еще один феномен, связанный с личностью – это феномен внутреннего Я. Иногда нам кажется, что все наши ощущения и мысли находятся под наблюдением некого внутреннего Я – этакого человечка, который не действует и не мыслит, а только наблюдает за мыслями и действиями субъекта изнутри. Происхождение этого феномена можно объяснить следующим образом. Как мы уже говорили, мышление человека сопровождается рефлексией – наблюдением за собственными мыслями и анализом таковых. Понятно, что оба эти процесса – и мышление и наблюдение за ним совершается одним и тем же мозгом, что создает для него определенную сложность. 

В самом деле – и объект наблюдения и наблюдающий субъект – это одно и то же. Для упрощения ситуации мозг создает образ отдельного субъекта, внутреннего Я, которому и поручается управление рефлексией. Таким образом разрывается замкнутый круг. Одна часть мозга мыслит, а наблюдает за этим та часть, которую мозг выделил под внутреннее Я. Таким образом внутреннее Я – это фиктивная или виртуальная личность, созданная мозгом для управления рефлексией.

Свобода воли

Свобода воли — это еще одно свойство нашего разума, которое используется для доказательства того, что наш мозг – это никоим образом не компьютер. В самом деле алгоритм работы компьютера принципиально однозначный. Т.е. при неизменных начальных условиях выполненный расчет всегда придет к тому же самому результату. Следовательно, если мозг — это компьютер, то он при неизменных начальных условиях также должен давать одинаковый результат, определяемый только алгоритмом и начальными условиями. 

Идея этого детерминизма была очень распространена в XIX веке в результате достижений в области анализа решений уравнений механики. Лаплас сформулировал принцип детерминизма следующим образом «Мы можем рассматривать настоящее состояние Вселенной как следствие его прошлого и причину его будущего». Как известно, решение уравнений механики при одинаковых начальных условиях всегда дают результат одинаковый и единственный. Это привело мыслителей того времени к идее, что весь наш мир детерминирован и что, решения, принимаемые человеком, однозначно зависят от начальных условий, а значит они не зависят от него самого, ни от его воли, ни от его совести. Вывод из этого был сделан весьма опасный – значит для человека не существует ни греха, ни раскаянья, раз его решения от него не зависят.

Против этого мировоззрения выступила прежде всего церковь, а также многие другие философы. Кроме того, возникновение в ХХ веке таких теорий, как квантовая механика с ее принципом неопределенности, теория хаоса и изучение термодинамики необратимых процессов, привели ученых к выводу, что механистические теории не дают полного представления о процессах, протекающих в мире. И теория детерминизма была опровергнута.

Мы постараемся показать, как свобода воли при принятии разумом решения может сочетаться с компьютерным подходом к человеческому мышлению

Прежде всего нам необходимо ограничить область исследования. Дело в том, что данная работа посвящена в основном изучению логического мышления. А принятие решения очень часто основано не на логике, а на эмоциях. Хотя в нашем подходе к алгоритму принятия решения эмоция будет использована, но беда в том, что иногда решения принимаются исключительно на основе эмоций и разум здесь просто скромно отдыхает. Вот такие случаи мы не будем здесь анализировать.

Попутно заметим, что ситуации, когда выбор субъекта определяется его волевым решением в действительности довольно редки. Чаще всего мы, даже располагая свободой воли, поступаем под давлением внешних обстоятельств, не особенно даже задумываясь над этим. Однако в редких, но важных случаях, мы всерьез размышляем над выбором того, как нам поступить. И вот тут и важно есть ли у нас свобода воли или нет.

Собственно принятие логического решения в общем виде сводится к операции условного перехода. Пусть у нас есть некоторая цель, заданная на СО модели предметной среды. Скажем эта цель – выполнение некоторого действия. Чтобы его выполнить, мы должны удовлетворить достаточным условиям выполнения этого действия, а для этого необходимо выполнить множество других действий. В конечном итоге все сводиться к преодолению некоторого маршрута, который позволяет эти действия совершить и получить требуемые условия. Допустим, что маршрутов таких несколько.  Выбор между ними осуществляется в точках ветвления.

 Рассмотрим одну такую точку ветвления. Принятие решения – это выбор между двумя различными путями дальнейших действий. Он сводится к анализу некоторого условного выражения, в котором содержатся начальные условия. Назовем его, допустим U. Пусть, если U>0, то мы идем вправо, если U<0, то влево. Само U – это или алгебраическое выражение или вычислимая функция. Очевидно, что такой алгоритм детерминирован и никакой свободой воли он не обладает. 

Но человек – существо сомневающееся. Если результат вычисления U окажется немного больше нуля, он может попытать счастья снова и вернутся в исходную точку и заново пересчитать U. А за это время начальные условия могут измениться и U окажется меньше нуля. Тогда уверенность в результате и вовсе пропадает и человек может попробовать выполнить расчет снова. Таким образом мы видим, что принятие решения — это не акт, а процесс, причем циклический. Вот тут, чтобы вырваться из этого цикла может понадобиться воля. Воля – это некий параметр, который произвольно добавляется к результату вычисления U и сразу приводит к окончательному решению, не взирая на нюансы начальных условий  

Интересно обсудить его происхождение. Допустим один путь предполагает более быстрое достижение результата, но другой содержит меньше рисков. Прежде всего воля определяется степенью желания субъекта достичь цели. Но на желание накладывается эмоции (страх, восторг), специфика темперамента (взрывной, спокойный, нетерпеливый, уравновешенный), моральные ограничения, влияющие на применение тех или иных методов достижения цели, личный опыт и привычки и т.д. Причем все величины этих факторов могут «плавать» в процессе циклического обдумывания принятия решения и какой из них окажется сильнее в тот момент, когда субъект все-таки решение примет предсказать нельзя. Можно сказать точно одно – исходные внешние (начальные) условия совершенно не обязательно будут главными параметрами при принятии решения.

Результат принятия решения при таком подходе будет лишен детерминистического давления внешних обстоятельств, а будет в зависимости от личности субъекта, причем, как от воспитанной в нем нравственности, так и от его сиюминутного эмоционального настроения. А это и есть свобода воли субъекта.

Итак, можно сказать, что свобода воли – это возможность принятия решения, хотя, и ориентируясь на внешние обстоятельства, но под влиянием специфики своей личности вообще и своего эмоционального состояния в данный момент, в частности. Причем внутренний мир субъекта может доминировать над внешними обстоятельствами. 

Что можно сказать в заключении. Мы показали, что при правильном подходе к описанию исходной информации и правильном подходе к разработке приложений компьютер может работать, как универсальная система практически без дополнительного кодирования. 

Кроме того, если верно, что когнитом в мозгу подобен структурированию описанию реальности, как в СО системе, то он вполне может демонстрировать эффекты сознания, личности и свободы воли. Тем более это может демонстрировать компьютер, работающий на основе само-описанных программ и СО модели реальности.

*Рефлексия — это процесс обдумывания и анализа собственных мыслей, чувств и поведения.

Автор: Vladimir231

Источник

* - обязательные к заполнению поля


https://ajax.googleapis.com/ajax/libs/jquery/3.4.1/jquery.min.js