
Прошло около полугода с момента выхода базовой модели ruDALL-E XL (1.3B), мы — команды Sber AI и SberDevices — получили много лайков и, как подобается таким разработкам, дизлайков. Всё хорошее отразилось в гигантском наплыве пользователей в первые недели релиза: порядка 800 тыс. уникальных пользователей (на текущий момент уже более 2 млн), – 1.2 тыс. ⭐ в репозитории и последующем изрядном списке фантастических файнтюнов (Emojich XL, Surrealist XL, генератор кроссовок, генератор покемонов). Но если читатель обратится к прошлой статье, то обязательно вспомнит, что в ней речь шла о двух версиях модели: XL (1.3B) и XXL (12B). На достигнутом мы не остановились, поэтому, сделав релиз текущего на тот момент чекпоинта XXL на SberCloud, продолжили заниматься сбором данных и дообучением модели. И вот, наконец, мы готовы вывести её в свет.
Оценить способности новой большой модели Kandinsky можно в:
-
мобильном приложении Салют и умных устройствах Sber по запросу: «Салют, включи художника»;
-
Telegram-каналe главного разработчика ruDALL-E.
Мы назвали нашу самую большую на данный момент генеративную модель в честь Василия Кандинского — и расскажем историю модели Kandinsky (уделив внимание наборам данных и метрикам качества) в нескольких разделах, вдохновлённых картинами этого русского художника, стоявшего у истоков абстракционизма. Ну и, конечно, не оставим вас без крутейших cherry-pick изображений от файнтюна модели Kandinsky. Вот тизер того, что вас ждет в конце статьи:

Кроме того, с момента последнего релиза 2 ноября 2021 года нам удалось доучить предыдущую модель, ruDALL-E XL, еще на 119 млн уникальных парах «изображение-текст». Чекпоинт этой версии модели можно скачать тут.
Картина 1: «Пёстрая жизнь», или Что нового произошло в мире генеративного AI

Буквально несколько лет назад, когда речь шла о временном промежутке около полугода, было не так просто сделать насыщенный обзор новых решений и архитектур, появившихся за столь короткий промежуток времени. Но вот в 2022 году такой проблемы просто не существует. Новые методы и модели публикуются настолько часто, что даже самый пытливый и интересующийся читатель многочисленных новостных каналов в области DL наверняка что-нибудь пропустит. Поэтому в этой части мы вовсе не претендуем на полноту обзора, а лишь хотим показать формирующиеся тренды в области генеративного AI.
Вышедшие модели можно условно разделить на две категории. Первые представляют собой мультимодальные мультизадачные архитектуры, которые призваны решать open-ended текстовые задачи (Flamingo, OFA). Данные архитектуры построены на базе сильных языковых моделей, умеют работать с разными входными модальностями (текст, изображения, видео) и решают такие задачи как Question Answering, Visual Question Answering, Visual Commonsense Reasoning и другие. По заверениям авторов, большинство монозадачных state-of-the-art моделей проигрывают им в качестве. Вторая категория моделей представляет в нашем случае куда больший интерес, потому что на выходе позволяет генерировать изображения. В этой группе наиболее значимые результаты принадлежат таким моделям как GLIDE, DALL-E 2 от OpenAI и свежайшей Imagen от Google. В основе указанных моделей лежит диффузионный процесс, который обещает стать новым трендом визуального генеративного AI: результаты генерации действительно впечатляют и порождают предсказания о трансформации профессий художника и дизайнера в ближайшем будущем.

Источник: https://twitter.com/hardmaru/status/1532757753797586944
В DALL-E 2 происходит «распаковка» эмбеддингов CLIP (не зря в статье авторы называют архитектуру «unCLIP»): текстовый эмбеддинг, полученный с помощью текстового энкодера предварительно обученной модели CLIP, скармливается модели-приору (авторегрессионной или диффузионной); на выходе получаются возможные картиночные эмбеддинги CLIP, соответствующие описанию, — остаётся только прогнать их через диффузионный декодер, чтобы получить финальное изображение. Авторы же Imagen в качестве текстового энкодера берут замороженную T5-XXL — сильную языковую модель — и последовательность эмбеддингов, полученных с её помощью, пропускают через каскад диффузионных моделей: разрешение изображения, восстановленного из текстовых эмбеддингов, во время этого процесса подрастает с 64x64 до 1024x1024. Архитектура этого каскада — улучшенная версия UNet, которую авторы назвали Efficient-UNet (она проще, быстрее сходится и более эффективна с точки зрения вычислительных ресурсов). Если верить авторам, Imagen обгоняет DALL-E 2 по FID на COCO 256x256 30k: 7,27 у Imagen vs 10,39 у DALL-E 2. Что сразу становится очевидным, так это то, что модель от Google лучше справляется с генерацией текста на изображении, не путается в цветах объектов и в принципе точнее понимает запрос, чем DALL-E 2 (явно T5-XXL демонстрирует свою мудрость).

Источник: https://cdn.openai.com/papers/dall-e-2.pdf
Картина 2: «Развитие», или Как появился наш самый большой нейрохудожник

Архитектура
С точки зрения архитектуры и генеративного подхода модель Kandinsky практически ничем не отличается от модели ruDALL-E XL, разве что добавлено больше слоёв и увеличена размерность скрытого пространства (детали можно увидеть в таблице) — модель совместима с кодовой базой ruDALL-E XL и так же использует в качестве энкодера и декодера изображений Sber-VQ-GAN, а YTTM — в качестве токенизатора текстовых последовательностей.
|
|
Params |
Layers |
Hidden Size |
Num Attention Heads |
Optimizer |
|
ruDALL-E XL |
1.3B |
24 |
2048 |
16 |
AdamW |
|
Kandinsky |
12B |
64 |
3840 |
60 |
AdamW-8bit-bnb + deepspeed zero3 |
Таким образом, модель Kandinsky всем уже хорошо знакома. В её основе лежит трансформер, который работает с последовательностью токенов, формируемой с помощью двух энкодеров: визуального и текстового. Общая идея состоит в том, чтобы вычислить эмбеддинг по входным данным с помощью энкодера, а затем с учётом известного выхода правильным образом декодировать этот эмбеддинг. Напомним кратко про использованные энкодеры:
-
Предварительно уменьшенные изображения с разрешением 256х256 поступают на вход автоэнкодера (SBER VQ-GAN), который учится сжимать изображение в матрицу токенов 32х32.
-
Токенизация текстового описания (всего у ruDALL-E 128 текстовых токенов) выполняется с помощью YTTM со словарем в 16384 токена.
Мы уже писали в прошлой статье на Хабре, что в 2021 г. столкнулись с проблемой расхождения модели Kandinsky в режиме FP16 из-за её глубины — на данный момент генерация доступна только в режиме FP32. Мы ценим вклад в развитие проекта и будем рады новым идеям в официальном репозитории.
Данные
Безусловно, нельзя обсуждать процесс обучения без описания данных, на которых он строится. Для первой и второй фаз обучения мы использовали разные наборы данных: на первом этапе использовалась та же выборка, что и для обучения модели ruDALL-E XL; основа второго этапа — русскоязычная часть датасета LAION-5B, которая включает в себя порядка 170 млн пар изображений и описаний к ним. И хотя качество исходных данных достаточно хорошее (авторы провели фильтрацию с помощью модели CLIP), мы разработали дополнительный набор фильтров, чтобы избавиться от изображений с водяными знаками, скриншотов презентаций, сайтов и прочих нежелательных данных. Фильтрацию проводили с помощью классификатора изображений с водяными знаками, который был обучен нами на открытых наборах данных, и модели ruCLIP. Также мы почистили текстовые описания изображений: убрали словосочетания, которые не несли смысловой нагрузки, но добавили бы модели трудностей в поиске закономерностей. В результате фильтрации мы получили датасет размером 119 млн. Примеры отфильтрованных изображений можно увидеть ниже.

А вот примеры фильтрации текстовых описаний, выполненной с помощью набора регулярных выражений:
|
Оригинальное описание |
Исправленное описание |
|
Подвесной уличный светильник Oasis Light 88170/3 Bl чёрный |
подвесной уличный светильник чёрный |
|
Курортный спа-отель Golden Palace — фото 4 |
курортный спа-отель |
|
Купить Стол обеденный Coleart Tavoli 07218 |
стол обеденный |
|
Учебный альбом из 25 листов. Арт. 5-8692-025. |
учебный альбом из 25 листов |
|
Светодиодные настольные часы DS-3618L купить в минске |
светодиодные настольные часы |
|
«»Воздушные шары «»8 марта«» — фото 5«» |
воздушные шары 8 марта |
|
Старые исторические здания в Майнце, Германии стоковое изображение |
старые исторические здания в майнце, германии |
|
динозавр стоковая фотография rf |
динозавр фотография rf |
А что же за данные мы брали для файнтьюнов? Если говорить про ключевой тюн большой модели (cherry-pick генерации которого мы покажем дальше, терпение), то процесс обучения выполнялся на субъективно отобранных 400 изображениях картин — хотелось немного изменить визуальный стиль генераций, сохранив при этом знание модели о мире аналогично тому, как это описано в статье про Emojich XL.
Процесс обучения
На первом этапе модель Kandinsky обучалась командой SberDevices на протяжении двух месяцев на платформе SberCloud ML Space, и этот процесс занял 20 352 GPU-V100 дней. В рамках этой фазы обучения использовался датасет без фильтрации, состоящий из 60 млн пар изображений и текстовых описаний к ним; впоследствии он был сокращён до 28 млн пар. В состав данных вошли такие известные датасеты, как ConceptualCaptions, YFCC100m (описания были переведены на русский язык системой машинного перевода), русская Википедия и другие. Первый этап обучения продолжался в течение 250 тыс. итераций.
После этого командой Sber AI была выполнена вторая фаза обучения модели на новых отфильтрованных данных (7 680 GPU-A100 дней). В состав обучающего датасета на этот раз вошли исключительно нативные русскоязычные данные (без автоматического перевода с других языков): русская часть датасета LAION-5B, VIST, Flickr8k, Flickr30k, Wiki-ru, CelebA и др. Из датасетов были исключены изображения с водяными знаками, а также выполнен реранкинг пар с помощью модели ruCLIP. В общей сложности набор данных для второй фазы обучения составил 119 млн пар, обучение длилось 60 тыс. итераций.
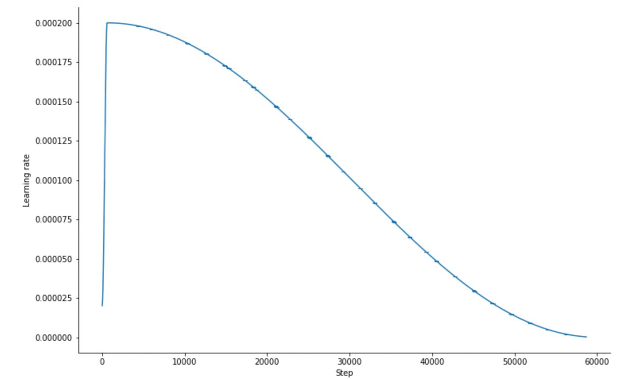
В ходе обеих фаз обучения использовался динамически меняющийся learning rate (на рисунке показан график изменения LR для второй фазы).

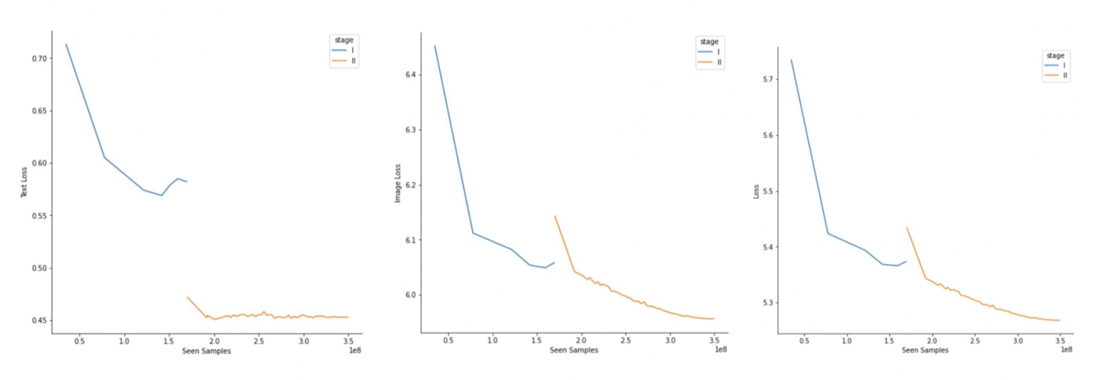
Ниже представлены графики изменения текстовой, визуальной и общей функций потерь для первой (синий) и второй (оранжевый) фаз обучения на валидационной выборке. В качестве такой выборки мы использовали часть MS-COCO validation set, которая состояла из 422 пар. Каждая пара была проверена вручную: описание переведено на русский язык автоматическим переводчиком и скорректировано при необходимости.

Анализируя данные горизонтальной оси, можно заметить, что первая фаза обучения включала в себя около 3,5 эпох, а вторая — 1,5 эпохи. При первом взгляде на графики возникает естественный вопрос по поводу разрыва между первой и второй фазами. На самом деле, этому есть несколько объяснений: изменение кодовой базы для тренировки модели (ушли от подхода Megatron model-parallel), изменение количества карт в обучении (что, соответственно, привело к сбросу всех состояний оптимизатора deepspeed zero3 после первой фазы), а также совершенно новые данные для обучения.
Картина 3: «Отпечатки рук художника», или Проводим эксперименты и судим о результатах

Качественная оценка
Известно, что Василий Кандинский на определённом этапе творческого пути стал разделять свои произведения на три типа (и такая разметка, надо думать, очень помогла искусствоведам): «импрессии», «импровизации» и «композиции». Главным критерием такой классификации, если не вдаваться в подробности, можно назвать связь изображённого с непосредственно воспринимаемой реальностью: чем тоньше и слабее эта связь, тем больше работа отдаляется от «импрессии», приближаясь к «композиции», которая представляет собой чистую абстракцию. Мы позволили себе ещё более вольно трактовать эти типы (да простят нас искусствоведы) — и оценили, как модель справляется с генерацией реалистичных изображений («импрессий»); фантазийных образов, совмещающих в себе несколько концептов («импровизаций»); геометрических форм и пространственных структур («композиций»).
Следуя душеспасительным советам, согласно которым сравнивать себя нужно в первую очередь с «собой вчерашним», мы сравнили генерации моделей ruDALL-E XL и Kandinsky, полученные по текстовым описаниям из статьи про первую версию модели ruDALL-E. Что мы заметили: большая модель весьма хорошо справляется с созданием реалистичных изображений, качественно передавая различные текстуры (шерсть лисы, горная порода, гладкая поверхность металла, бархатная обивка кресла), тени (под автомобилем, под диваном) и отражения (закатное небо на озерной глади, окружающая зелень на поверхности стекла автомобиля). И хотя некоторые детали всё так же порой страдают (на морду оленя, например, лучше смотреть издалека и без очков), в большинстве случаев общая форма и отдельные элементы соответствуют желаемым объектам (те же «улиточные» олени больше не появляются, если их не звать намеренно). Что касается «импровизаций», комбинирующих в себе неожиданные образы, то здесь ситуация улучшилась, по сравнению с первой моделью: сгенерированная кошка действительно умудряется одновременно сочетать в себе признаки как кошки, так и облака («воздушная», «тающая» белая шерсть); кот оказывается если и не на Луне, то всё же на небесном теле — и может похвастаться адекватной формой. А Ждун сумел избавиться от созависимых отношений с авокадо.












Теперь посмотрим, как модель справляется с геометрическими формами и пространственными структурами (тем, что мы договорились называть «композициями»). Начнём с простого запроса «квадратные синие часы»:

Здесь результат очень хороший, особенно если учитывать, что это случайная генерация без ранжирования по CLIP score: модель уловила форму — и практически все генерации получились соответствующими запросу (а на некоторых ещё и все цифры расставлены по порядку!). Увеличиваем количество углов — и подаём такой запрос: «Зелёные часы в виде шестиугольника».

В этом случае, конечно, меньше подходящих вариантов: считать углы непросто, иногда выходит больше, а иногда и вовсе не хочется заморачиваться — и получается привычный круг. Но верные генерации, тем не менее, в итоге успешно рождаются.
Что касается взаимного пространственного расположения объектов, то здесь у ruDALL-E те же проблемы, с которыми пока не смогли справиться ни DALL-E 2, ни Imagen: на сгенерированных изображениях объекты не всегда располагаются в соответствии с запросом — особенно, если этот порядок не соответствует привычным паттернам, как, например, в случае с фразой «A horse riding an astronaut» («Лошадь, скачущая на космонавте»). Этот запрос был даже включен в бенчмарк DrawBench — набор затравок, который создатели модели Imagen предлагают использовать для оценки text2image моделей.

Источник верхнего изображения: https://arxiv.org/pdf/2205.11487.pdf
Мы также решили «вписать себя в историю» и дополнить кочующую из статьи в статью (от Make-A-Scene до DALL-E 2 — или, как её называют авторы в статье, unCLIP) таблицу с изображениями, сгенерированными различными моделями по избранным описаниям из MS-COCO. Результаты модели Kandinsky мы разместили рядом с её ближайшим родственником — моделью DALL-E от Open AI (модели, следующие в таблице за ней, относятся к семейству диффузионных моделей — другому типу архитектуры; разве что Make-A-Scene — всё тот же авторегрессионный трансформер, но генерирующий изображения не только на основе текста, но и сегментационной маски). Получившиеся картинки выглядят весьма достойно даже в сравнении с нынешними state-of-the-art диффузионными моделями и значительно выигрывают в качестве, реалистичности и детализированности у DALL-E.

Количественная оценка
Самое время перейти к объективным метрикам и показать какие-нибудь красивые числа. Для адекватной оценки условной генерации изображений нужно учитывать как минимум два аспекта: эстетические качества и реалистичность получившегося изображения и его соответствие исходному запросу. Базовый набор метрик в этом случае — FID и CLIP score, а каноничный датасет — MS-COCO validation set (30 тыс. изображений). Мы взяли этот датасет с описаниями, автоматически переведёнными на русский, – и получили такой результат:
|
FID |
|
|
ruDALL-E XL |
18.6 |
|
Kandinsky |
15.4💥 |
|
minDALL-E |
24.6 |
|
CogView |
27.1 |
|
DALL-E |
27.5 |
|
Diffusion-based approaches |
|
|
GLIDE |
12.24 |
|
DALL-E 2 |
10.39 |
|
Imagen |
7.27 |
Как видим, Kandinsky показывает лучшее значение метрики FID среди моделей с аналогичной архитектурой.
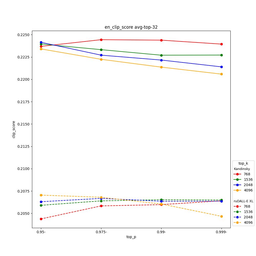
Hа графиках ниже показаны значения CLIP score, полученные на валидационном сете MS-COCO для изображений, сгенерированных моделями Kandinsky и ruDALL-E XL. Была использована английская модель CLIP с самой большим визуальным энкодером под капотом — ViT-L/14@336px (для генерации брались русскоязычные описания, а для сравнения — англоязычные), средние значения рассчитывались на 32 изображениях, сгенерированных при каждой комбинации параметров семплирования top_p и top_k. Как видим, в случае с Kandinsky для параметра top_k=768 значения метрики CLIP Score имеют заметное преимущество при top_p ≥ 0.975. Если же сравнивать модели друг с другом, то становится очевидно, что Kandinsky выигрывает у ruDALL-E XL по метрике CLIP Score, а значит, генерирует изображения, более соответствующие описанию.

Объективные количественные показатели (FID, IS, SSIM и др.), используемые для оценки генеративных моделей, конечно, просты в подсчёте, позволяют сравнивать модели друг с другом и измерять качество получившихся изображений — однако в ограниченной степени и не всегда в согласии с тем, как воспринимают и оценивают изображения люди. По этой причине, пока поиск идеальной объективной метрики всё ещё идёт, авторы новых генеративных архитектур продолжают включать в статьи раздел «Human evaluation». Кратко расскажем далее, как происходит этот процесс.
Оценка сгенерированных изображений людьми выполнялась по протоколу, аналогичному тому, который был применён в случае с DALL-E, GLIDE, DALL-E 2 и др.: вниманию разметчиков были представлены пары изображений (одно из пары получено с помощью модели ruDALL-E XL, другое сгенерировано моделью Kandinsky) и вопрос «Какая картинка реалистичнее?». Также предоставлялся исходный текстовый запрос для того, чтобы можно было оценить, какое изображение больше соответствует описанию (и соответствует ли ему в принципе).
Для генерации была использована уже упоминавшаяся подвыборка из валидационной части MS-COCO (422 описания), каждая пара изображений была оценена 3-5 людьми. Как видно из графика, модель Kandinsky выигрывает у предшественника и с точки зрения реалистичности генерируемых изображений, и с точки зрения их соответствия текстовому запросу (и хотя изображения не всегда подходят к запросам — столбец None на графике, — показатель соответствия более, чем в 70% случаев для обеих моделей, весьма высок).

Картина 4: «Лирическое», или Заключение

Мы не случайно назвали наши text2image модели в честь художников-абстракционистов, и не зря иллюстрации к разделам этой статьи были сгенерированы по названиям картин Кандинского (кстати, советуем сравнить с оригиналами): нам кажется, что художникам и дизайнерам не стоит бояться, а стоит сделать генеративные модели своими помощниками и вдохновителями — будущее явно за творческим тандемом человека и AI.
Многие из исследователей в области визуальной генерации пока не предоставляют доступа к весам своих моделей, что во многом замедляет процесс тестирования новых задач и анализа потенциальных областей их применения. Мы, команды Sber AI и SberDevices, сразу знали, что пойдём по другому пути — будем и дальше максимально сохранять открытость наших разработок и тем самым быстрее оценивать сильные и слабые стороны моделей. Отдельно хотим поблагодарить сообщество, всех разработчиков, кто присылал свои пулл-реквесты, делал файнтюны и предлагал идеи: благодаря вам мы двигаем генеративные сети вперёд!
Мы делаем нейроискусство Kandinsky доступным:
-
запросы к модели можно подавать в режиме реального времени с помощью виртуальных ассистентов Салют («Салют, включи художника»);
-
в чате Discord можно делиться результатами генерации и подбирать лучшие запросы в формате общей очереди;
-
наш репозиторий с последними файнтюнами;
-
Telegram-канал главного разработчика ruDALL-E.
Коллектив авторов: Алексей Шоненков, Олег Шляжко, Дарья Бакшандаева, Игорь Павлов, Андрей Кузнецов, Денис Димитров, Татьяна Шаврина, Сергей Марков, Александр Николич, Анастасия Мальцева, Виталий Горбачев, Алена Феногенова, Михаил Барг, Алексей Кондрашин
Картина 5, из запасников: «Маленькие миры», или Галерея генераций













Автор: Дарья
