По материалам доклада на конференции.
В мобильной сети 4G (LTE) – основной сети мобильного доступа в интернет (сети 5G у нас пока нет) – максимальная скорость, определяемая стандартом и заявляемая операторами, составляет 300 Мбит/с. Однако получить такую скорость на телефоне (компьютере) практически невозможно. Средняя скорость по официальной статистике – 25 Мбит/с, но ее получают не все и не всегда. Сплошь и рядом скорость опускается до единиц мегабит и даже ниже 1 Мбит/с. Разберемся, почему это происходит.
В аналоговых сетях мобильной связи первого поколения качество связи определялась в первую очередь чувствительностью приемника мобильного терминала и уровнем шума в канале связи, точнее – отношением сигнал/шум. В цифровых сетях мобильной связи (поколения 2G и далее) эти характеристики по-прежнему остаются базовыми и используются в разработке стандартов и аппаратуры связи при выборе видов модуляции, спектральной эффективности, битовой скорости передачи данных, выборе способов помехоустойчивого кодирования для обнаружения и исправления ошибок. В сетях второго и третьего поколения основную часть трафика составляла передача голоса. Ошибки, возникающие в цифровом канале связи, приводили к ухудшению качества связи, но никак не влияли на скорость связи. Дальность связи (размер зоны покрытия сети) определялась границей приемлемости качества передачи голоса.
К настоящему времени развитие радиосвязи пришло к следующему:
-
все системы связи являются цифровыми
-
практически все системы связи включены в интернет и на транспортном уровне модели OSI используют протокол TCP
-
теория электрической связи рассматривает процессы передачи сигналов на физическом уровне OSI (модуляция, спектральная эффективность, битовая скорость) и канальном уровне (обнаружение и исправление ошибок, возникающих на физическом уровне). Конечной задачей этих уровней является обеспечение требуемой скорости передачи сигнальных блоков, состоящих из нескольких бит, с требуемой вероятностью битовой ошибки
-
начиная с третьего уровня OSI и выше – это сфера IT. На четвертом уровне протокол TCP обеспечивает гарантированную доставку IP-пакетов
-
выбор разработчиками решений по построению канала связи (вид модуляции, способ помехоустойчивого кодирования, скорость кодирования, уровень избыточности) никак не согласуется с параметрами протокола TCP (размер пакета, время ожидания квитанции, уровень избыточности, возникающей из-за дублирования пакетов) и в итоге – с получаемой скоростью передачи информации на прикладном уровне.
В сетях 4G и 5G основной объем трафика приходится на передачу данных и голос тоже передается как пакетные данные в IP-сетях. Изменились методы модуляции, способы обработки и помехоустойчивого кодирования. Однако мало изменился размер блока, используемого для передачи данных на физическом и канальном уровнях, – он по-прежнему составляет от нескольких бит до нескольких десятков бит. К блокам этого размера применяется помехоустойчивое кодирование и по вероятности остаточной ошибки после декодирования определяется качество канала связи. Обычно считается допустимой вероятность ошибки менее 0,0001 и хорошим считается канал с вероятностью ошибки 0,00001. Эта оценка выносится с точки зрения теории электрической связи для применяемых в радиоканале методов мультиплексирования, модуляции, помехоустойчивого кодирования. Вероятность ошибки 0,0001 примерно соответствует границе зоны покрытия сети 4G. При этом скорость передачи данных получается в сотни раз меньше заявляемой стандартом и операторами 4G скорости 300 Мбит/с и вполне может быть менее 1 Мбит/с. Здесь и далее речь идет о скорости передачи данных, определяемой качеством канала, а не количеством активных абонентов, и измеряться она должна в часы наименьшей нагрузки.
Такое падение скорости объясняется различным подходом к вопросу качества передачи данных в сетях связи и в IP-сетях – если в сетях связи допустима пусть очень малая, но ненулевая вероятность ошибки, то в IP-сетях протокол TCP обеспечивает гарантированную доставку, и пакет данных доставляется либо без ошибок, либо фиксируется обрыв связи. В мобильных сетях пакет данных протокола TCP обычно имеет размер 11680 бит. Это означает, что при вероятности ошибки в цифровом канале связи 0,0001 каждый передаваемый пакет поступит с ошибкой хотя бы в одном бите. Одиночные ошибки устраняются используемыми корректирующими кодами, но двукратные и более ошибки передаются протоколу TCP, который обеспечивает гарантированную доставку путем дублирования пакетов. При повторной передаче возникает аналогичное количество ошибок. Благодаря случайному характеру ошибок отдельные пакеты будут приняты правильно и пройдут дальше в сеть, но это приводит к снижению скорости передачи информации у пользователя в десятки и сотни раз. Зависимость относительной скорости передачи данных от вероятности ошибки при размере пакета TCP 11680 бит:
В сетях 5G и 6G существует тенденция увеличения размера пакета, поэтому ошибки, пропущенные кодеком помехоустойчивого кодирования, будут приводить к большему снижению скорости.
При проектировании существующих и будущих сетей связи (5G и 6G) в них закладываются технические решения для достижения требуемых скоростей связи (гигабитовые скорости в сетях 5G и терабитовые – в сетях 6G). Большое число статей посвящено сравнительному анализу помехоустойчивости используемых и перспективных технологий радиосвязи, но в большинстве из них вероятность ошибок, возникающих в канале связи, (коэффициент битовой ошибки) рассматривается в диапазоне 0,0001 и более. Зависимость вероятности ошибки от отношения сигнал/шум для сотовых сетей:

Паспортная скорость передачи данных в сетях 4G обеспечивается при хорошем качестве канала (при отношении сигнал/шум S/N=20дБ вероятность ошибки 0,01 для 64QAM) в радиусе 100 м от базовой станции. При увеличении расстояния в 3 раза напряженность поля снижается на 10 дБ, в этом случае S/N=10дБ, вероятность ошибки 0,12-0,15. Помехоустойчивые коды, применяемые на канальном уровне, с избыточностью, как правило, не более 2, плохо справляются с таким уровнем ошибок. Широко распространенные коды, от кода Рида-Соломона до LDPC, выдают в таком канале большое число ошибок при декодировании, которые исправляет протокол TCP путем многократного дублирования IP-пакетов. Если в сети 4G вместо 300 Мбит/с абонент получает реальную скорость 3 Мбит/с, это значит, что в среднем каждый IP-пакет повторяется 100 раз, т.е. вводится 100-кратная избыточность.
При заявляемом радиусе действия базовой станции 4G 1 км зона скоростной связи радиусом 300 м имеет площадь, составляющую 9% площади покрытия базовой станции. Таким образом, реальная скорость передачи данных на 91% территории сети мобильной связи соответствует скорости предыдущего поколения, т.е. существует территориальное цифровое неравенство.
Для решения этой проблемы необходимо при выборе сетевых технологий рассматривать влияние на скорость передачи данных протоколом TCP закладываемых методов обработки сигналов на физическом и канальном уровнях OSI .
Примером такого метода является голографическое кодирование, которое обеспечивает при 10-кратной избыточности уровень ошибки декодирования 0,000001 при вероятности ошибки на входе 0,2, а при 32-кратной избыточности полное устранение ошибок при вероятности входной ошибки 0,33. При этом на уровне протокола TCP вообще не возникает необходимости дублирования пакетов.
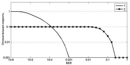
На рисунке ниже приведены зависимости отношения скорости передачи данных к скорости, определяемой стандартом связи, от вероятности ошибки в канале связи (BER) для двух вариантов организации канала связи: при отсутствии дополнительного кодирования и при использовании голографического кодирования.
Из рисунка видно, что относительная скорость, равная 1, т.е. паспортная скорость стандарта связи, достигается только при вероятности ошибки менее 0,00001, а при увеличении вероятности ошибки до 0,001 скорость снижается в 1000 раз (линия 1). Использование же кодирования позволяет сохранить скорость в 10 раз меньше максимальной до вероятности ошибки 0,05 (линия 2).
Таким образом, внедрение чисто программного решения – голографического кодека, подключаемого только в каналах с низким качеством связи, позволит повысить скорость передачи связи на большей части зоны покрытия сети.
Для того, чтобы не уменьшать скорость связи в каналах, где она выше средней, необходимо включать дополнительное кодирование только в тех каналах, где скорость падает более, чем в 10 раз. Тогда график зависимости скорости от количества ошибок примет вид:
Автоматический выбор схемы кодирования (для голосовых каналов) отработан еще в сетях GSM.
Пример. При 2-кратной избыточности за счет кодирования LDPC, используемого в сетях 4G, плюс 100-кратной избыточности TCP, возникающей за счет повторения пакетов при вероятности ошибки 0,0001, скорость передачи данных составляет 1,5 Мбит/с. При замене LDPC-кода голографическим кодом с 10 кратной избыточностью на 91% территории покрытия скорость передачи возрастет за счет отсутствия TCP-дублирования в (2*100)/10=20 раз.
Кроме повышения скорости, получаемой абонентом, будут получены эффекты, полезные для оператора связи:
-
загрузка каналов упадет в 10 раз
-
освобождение каналов позволит обойтись без дополнительного частотного ресурса и базовых станций
-
в 100 раз упадет объем бесплатного трафика в сети.
Автор: ALT0105
