Введение:
При математическом моделировании ряда технических устройств используются системы дифференциальных нелинейных уравнений. Такие модели используются не только в технике, они находят применение в экономике, химии, биологии, медицине, управлении.
Исследование функционирования таких устройств требуют решения указанных систем уравнений. Поскольку основная часть таких уравнений являются нелинейными и нестационарными, часто невозможно получить их аналитическое решение.
Возникает необходимость использовать численные методы, наиболее известным из которых является метод Рунге — Кутты [1]. Что касается Python, то в публикациях по численным методам, например [2,3], данных по применение Рунге — Кутты крайне мало, а по его модификации — методу Рунге-Кутта-Фельберга вообще нет.
В настоящее время, благодаря простому интерфейсу, наибольшее распространение в Python имеет функцию odeint из модуля scipy.integrate. Вторая функция ode из этого модуля реализует несколько методов, в том числе и упомянутый пятиранговый метод Рунге-Кутта-Фельберга, но, вследствие универсальности, имеет ограниченное быстродействие.
Целью настоящей публикации является сравнительный анализ перечисленных средств численного решения систем дифференциальных уравнений с модифицированным автором под Python методом Рунге-Кутта-Фельберга. В публикации так же приведены решения по краевым задачам для систем дифференциальных уравнений (СДУ).
Краткие теоретические и фактические данные по рассматриваемым методам и программным средствам для численного решения СДУ
Задача Коши
Для одного дифференциального уравнения n – го порядка, задача Коши состоит в нахождении функции, удовлетворяющей равенству:

и начальным условиям

Перед решением эта задача должна быть переписана в виде следующей СДУ
(1)
с начальными условиями

Модуль scipy.integrate
Модуль имеет две функции ode() и odeint(), предназначенные для решения систем обыкновенных дифференциальных уравнений (ОДУ) первого порядка с начальными условиями в одной точке (задача Коши). Функция ode() более универсальная, а функция odeint() (ODE integrator) имеет более простой интерфейс и хорошо решает большинство задач.
Функция odeint()
Функция odeint() имеет три обязательных аргумента и много опций. Она имеет следующий формат odeint(func, y0, t[,args=(), ...]) Аргумент func – это имя Python функции двух переменных, первой из которых является список y=[y1,y2,...,yn], а второй – имя независимой переменной.
Функция func должна возвращать список из n значений функций
при заданном значении независимого аргумента t. Фактически функция func(y,t) реализует вычисление правых частей системы (1).
Второй аргумент y0 функции odeint() является массивом (или списком) начальных значений
при t=t0.
Третий аргумент является массивом моментов времени, в которые вы хотите получить решение задачи. При этом первый элемент этого массива рассматривается как t0.
Функция odeint() возвращает массив размера len(t) x len(y0). Функция odeint() имеет много опций, управляющих ее работой. Опции rtol (относительная погрешность) и atol (абсолютная погрешность) определяют погрешность вычислений ei для каждого значения yi по формуле

Они могут быть векторами или скалярами. По умолчанию

Функция ode()
Вторая функция модуля scipy.integrate, которая предназначена для решения дифференциальных уравнений и систем, называется ode(). Она создает объект ОДУ (тип scipy.integrate._ode.ode). Имея ссылку на такой объект, для решения дифференциальных уравнений следует использовать его методы. Аналогично функции odeint(), функция ode(func) предполагает приведение задачи к системе дифференциальных уравнений вида (1) и использовании ее функции правых частей.
Отличие только в том, что функция правых частей func(t,y) первым аргументом принимает независимую переменную, а вторым – список значений искомых функций. Например, следующая последовательность инструкций создает объект ODE, представляющий задачу Коши.
Метод Рунге—Кутта
При построении численных алгоритмов будем считать, что решение этой дифференциальной задачи существует, оно единственно и обладает необходимыми свойствами гладкости.
При численном решении задачи Коши
(2)
(3)
по известному решению в точке t =0 необходимо найти из уравнения (3) решение при других t. При численном решении задачи (2),(3) будем использовать равномерную, для простоты, сетку по переменной t с шагом т > 0.
Приближенное решение задачи (2), (3) в точке
обозначим
. Метод сходится в точке
если
при
. Метод имеет р-й порядок точности, если
, р > 0 при
. Простейшая разностная схема для приближенного решения задачи (2),(3) есть
(4)
При
имеем явный метод и в этом случае разностная схема аппроксимирует уравнение (2) с первым порядком. Симметричная схема
в (4) имеет второй порядок аппроксимации. Эта схема относится к классу неявных — для определения приближенного решения на новом слое необходимо решать нелинейную задачу.
Явные схемы второго и более высокого порядка аппроксимации удобно строить, ориентируясь на метод предиктор-корректор. На этапе предиктора (предсказания) используется явная схема
(5)
а на этапе корректора (уточнения) — схема

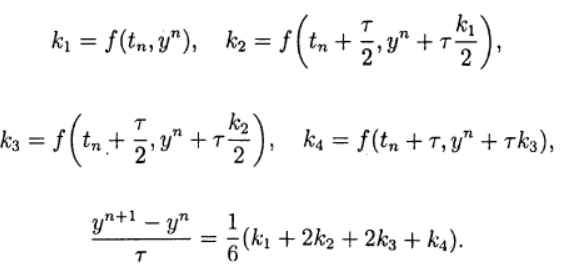
В одношаговых методах Рунге—Кутта идеи предиктора-корректора реализуются наиболее полно. Этот метод записывается в общем виде:
(6),
где

Формула (6) основана на s вычислениях функции f и называется s-стадийной. Если
при
имеем явный метод Рунге—Кутта. Если
при j>1 и
то
определяется неявно из уравнения:
(7)
О таком методе Рунге—Кутта говорят как о диагонально-неявном. Параметры
определяют вариант метода Рунге—Кутта. Используется следующее представление метода (таблица Бутчера)
Одним из наиболее распространенных является явный метод Рунге—Кутта четвертого порядка
(8)
Метод Рунге—Кутта— Фельберга
Привожу значение расчётных коэффициентов
метода
(9)
С учётом(9) общее решение имеет вид:
(10)
Это решение обеспечивает пятый порядок точности, остаётся его адаптировать к Python.
Вычислительный эксперимент по определению абсолютной погрешности численного решения нелинейного дифференциального уравнения
с использованием обеих функций def odein(),def oden() модуля scipy.integrate и адаптированного к Python методов Рунге—Кутта и Рунге—Кутта— Фельберга
from numpy import*
import matplotlib.pyplot as plt
from scipy.integrate import *
def odein():
#dy1/dt=y2
#dy2/dt=y1**2+1:
def f(y,t):
return y**2+1
t =arange(0,1,0.01)
y0 =0.0
y=odeint(f, y0,t)
y = array(y).flatten()
return y,t
def oden():
f = lambda t, y: y**2+1
ODE=ode(f)
ODE.set_integrator('dopri5')
ODE.set_initial_value(0, 0)
t=arange(0,1,0.01)
z=[]
t=arange(0,1,0.01)
for i in arange(0,1,0.01):
ODE.integrate(i)
q=ODE.y
z.append(q[0])
return z,t
def rungeKutta(f, to, yo, tEnd, tau):
def increment(f, t, y, tau):
if z==1:
k0 =tau* f(t,y)
k1 =tau* f(t+tau/2.,y+k0/2.)
k2 =tau* f(t+tau/2.,y+k1/2.)
k3 =tau* f(t+tau, y + k2)
return (k0 + 2.*k1 + 2.*k2 + k3) / 6.
elif z==0:
k1=tau*f(t,y)
k2=tau*f(t+(1/4)*tau,y+(1/4)*k1)
k3 =tau *f(t+(3/8)*tau,y+(3/32)*k1+(9/32)*k2)
k4=tau*f(t+(12/13)*tau,y+(1932/2197)*k1-(7200/2197)*k2+(7296/2197)*k3)
k5=tau*f(t+tau,y+(439/216)*k1-8*k2+(3680/513)*k3 -(845/4104)*k4)
k6=tau*f(t+(1/2)*tau,y-(8/27)*k1+2*k2-(3544/2565)*k3 +(1859/4104)*k4-(11/40)*k5)
return (16/135)*k1+(6656/12825)*k3+(28561/56430)*k4-(9/50)*k5+(2/55)*k6
t = []
y= []
t.append(to)
y.append(yo)
while to < tEnd:
tau = min(tau, tEnd - to)
yo = yo + increment(f, to, yo, tau)
to = to + tau
t.append(to)
y.append(yo)
return array(t), array(y)
def f(t, y):
f = zeros([1])
f[0] = y[0]**2+1
return f
to = 0.
tEnd = 1
yo = array([0.])
tau = 0.01
z=1
t, yn = rungeKutta(f, to, yo, tEnd, tau)
y1n=[i[0] for i in yn]
plt.figure()
plt.title("Абсолютная погрешность численного решения(т.р.- u(t)=tan(t)) ДУn
du/dt=u**2+1 c u(0)=0 при t>0")
plt.plot(t,abs(array(y1n)-array(tan(t))),label='Метод Рунге—Кутта n
четвертого порядка - расчёт по алгоритму')
plt.xlabel('Время')
plt.ylabel('Абсолютная погрешность.')
plt.legend(loc='best')
plt.grid(True)
z=0
t, ym = rungeKutta(f, to, yo, tEnd, tau)
y1m=[i[0] for i in ym]
plt.figure()
plt.title("Абсолютная погрешность численного решения(т.р.- u(t)=tan(t)) ДУn
du/dt=u**2+1 c u(0)=0 при t>0")
plt.plot(t,abs(array(y1m)-array(tan(t))),label='Метод Рунге—Кутта— Фельберга n
пятого порядка - расчёт по алгоритму')
plt.xlabel('Время')
plt.ylabel('Абсолютная погрешность.')
plt.legend(loc='best')
plt.grid(True)
plt.figure()
plt.title("Абсолютная погрешность численного решения (т.р.- u(t)=tan(t)) ДУn
du/dt=u**2+1 c u(0)=0 при t>0")
y,t=odein()
plt.plot(t,abs(array(tan(t))-array(y)),label='Функция odein')
plt.xlabel('Время')
plt.ylabel('Абсолютная погрешность.')
plt.legend(loc='best')
plt.grid(True)
plt.figure()
plt.title("Абсолютная погрешность численного решения (т.р.- u(t)=tan(t)) ДУn
du/dt=u**2+1 c u(0)=0 при t>0")
z,t=oden()
plt.plot(t,abs(tan(t)-z),label='Функция ode метод Рунге—Кутта— Фельберга n
пятого порядка')
plt.xlabel('Время')
plt.ylabel('Абсолютная погрешность.')
plt.legend(loc='best')
plt.grid(True)
plt.show()
Получим:




Вывод:
Адаптированные к Python методы Рунге—Кутта и Рунге—Кутта— Фельберга имеют меньшую абсолютную, чем решение с применением функции odeint, но большую, чем с использованием функции edu. Необходимо провести исследование быстродействия.
Численный эксперимент по сравнению быстродействия численного решения СДУ при использовании функции ode с атрибутом dopri5 (метод Рунге – Кутты 5 порядка) и с использованием адаптированного к Python метода Рунге—Кутта— Фельберга
Сравнительный анализ проведём на примере модельной задачи, приведенной в [2]. Чтобы не повторять источник, приведу постановку и решение модельной задачи из [2].
Решим задачу Коши, описывающую движение тела, брошенного с начальной скоростью v0 под углом α к горизонту в предположении, что сопротивление воздуха пропорционально квадрату скорости. В векторной форме уравнение движения имеет вид

где
– радиус вектор движущегося тела,
– вектор скорости тела,
– коэффициент сопротивления, вектор
силы веса тела массы m, g – ускорение свободного падения.

Особенность этой задачи состоит в том, что движение заканчивается в заранее неизвестный момент времени, когда тело падает на землю. Если обозначить
, то в координатной форме мы имеем систему уравнений:

К системе следует добавить начальные условия:
(h начальная высота),
. Положим
. Тогда соответствующая система ОДУ 1 – го порядка примет вид:

Для модельной задачи положим
. Опуская довольно обширное описание программы, приведу только листинг из комментариев к которому, думаю, будет ясен принцип её работы. В программу добавлен отсчёт времени работы для сравнительного анализа.
import numpy as np
import matplotlib.pyplot as plt
import time
start = time.time()
from scipy.integrate import ode
ts = [ ]
ys = [ ]
FlightTime, Distance, Height =0,0,0
y4old=0
def fout(t, y):# обработчик шага
global FlightTime, Distance, Height,y4old
ts.append(t)
ys.append(list(y.copy()))
y1, y2, y3, y4 = y
if y4*y4old<=0: # достигнута точка максимума
Height=y3
if y4<0 and y3<=0.0: # тело достигло поверхности
FlightTime=t
Distance=y1
return -1
y4old=y4
# функция правых частей системы ОДУ
def f(t, y, k): # имеется дополнительный аргумент k
g=9.81
y1, y2, y3, y4 = y
return [y2,-k*y2*np.sqrt(y2**2+y4**2), y4,-k*y4*np.sqrt(y2**2+y4**2)-g]
tmax=1.41 # максимально допустимый момент времени
alph=np.pi/4 # угол бросания тела
v0=10.0 # начальная скорость
K=[0.1,0.2,0.3,0.5] # анализируемые коэффициенты сопротивления
y0,t0=[0, v0*np.cos(alph), 0, v0*np.sin(alph)], 0 # начальные условия
ODE=ode(f)
ODE.set_integrator('dopri5', max_step=0.01)
ODE.set_solout(fout)
fig, ax = plt.subplots()
fig.set_facecolor('white')
for k in K: # перебор значений коэффициента сопротивления
ts, ys = [ ],[ ]
ODE.set_initial_value(y0, t0) # задание начальных значений
ODE.set_f_params(k) # передача дополнительного аргумента k # в функцию f(t,y,k) правых частей системы ОДУ
ODE.integrate(tmax) # решение ОДУ
print('Flight time = %.4f Distance = %.4f Height =%.4f '% (FlightTime,Distance,Height))
Y=np.array(ys)
plt.plot(Y[:,0],Y[:,2],linewidth=3,label='k=%.1f'% k)
stop = time.time()
plt.title("Результаты численного решения системы четырёх ОДУ n с использованием функци ode с атрибутом dopri5 ")
print ("Время на модельную задачу: %f"%(stop-start))
plt.grid(True)
plt.xlim(0,8)
plt.ylim(-0.1,2)
plt.legend(loc='best')
plt.show()
Получим:
Flight time = 1.2316 Distance = 5.9829 Height =1.8542
Flight time = 1.1016 Distance = 4.3830 Height =1.5088
Flight time = 1.0197 Distance = 3.5265 Height =1.2912
Flight time = 0.9068 Distance = 2.5842 Height =1.0240
Время на модельную задачу: 0.454787

Для реализации средствами Python численного решения СДУ без использования специальных модулей, мною была предложена и исследована следующая функция:
def increment(f, t, y, tau
k1=tau*f(t,y)
k2=tau*f(t+(1/4)*tau,y+(1/4)*k1)
k3 =tau *f(t+(3/8)*tau,y+(3/32)*k1+(9/32)*k2)
k4=tau*f(t+(12/13)*tau,y+(1932/2197)*k1-(7200/2197)*k2+(7296/2197)*k3)
k5=tau*f(t+tau,y+(439/216)*k1-8*k2+(3680/513)*k3 -(845/4104)*k4)
k6=tau*f(t+(1/2)*tau,y-(8/27)*k1+2*k2-(3544/2565)*k3 +(1859/4104)*k4-(11/40)*k5)
return (16/135)*k1+(6656/12825)*k3+(28561/56430)*k4-(9/50)*k5+(2/55)*k6
Функция increment(f, t, y, tau) обеспечивает пятый порядок численного метода решения. Остальные особенности программы можно посмотреть в следующем листинге:
from numpy import*
import matplotlib.pyplot as plt
import time
start = time.time()
def rungeKutta(f, to, yo, tEnd, tau):
def increment(f, t, y, tau):# поиск приближённого решения методом Рунге—Кутта—Фельберга.
k1=tau*f(t,y)
k2=tau*f(t+(1/4)*tau,y+(1/4)*k1)
k3 =tau *f(t+(3/8)*tau,y+(3/32)*k1+(9/32)*k2)
k4=tau*f(t+(12/13)*tau,y+(1932/2197)*k1-(7200/2197)*k2+(7296/2197)*k3)
k5=tau*f(t+tau,y+(439/216)*k1-8*k2+(3680/513)*k3 -(845/4104)*k4)
k6=tau*f(t+(1/2)*tau,y-(8/27)*k1+2*k2-(3544/2565)*k3 +(1859/4104)*k4-(11/40)*k5)
return (16/135)*k1+(6656/12825)*k3+(28561/56430)*k4-(9/50)*k5+(2/55)*k6
t = []#подготовка пустого списка t
y= []#подготовка пустого списка y
t.append(to)#внесение в список t начального значения to
y.append(yo)#внесение в список y начального значения yo
while to < tEnd:#внесение результатов расчёта в массивы t,y
tau = min(tau, tEnd - to)#определение минимального шага tau
yo = yo + increment(f, to, yo, tau) # расчёт значения в точке t0,y0 для задачи Коши
to = to + tau # приращение времени
t.append(to) # заполнение массива t
y.append(yo) # заполнение массива y
return array(t), array(y)
def f(t, y): # функция правых частей системы ОДУ
f = zeros([4])
f[0]=y[1]
f[1]=-k*y[1]*sqrt(y[1]**2+y[3]**2)
f[2]=y[3]
f[3]=-k*y[3]*sqrt(y[1]**2+y[3]**2) -g
if y[3]<0 and y[2]<=0.0: # тело достигло поверхности
return -1
return f
to = 0# начальный момент отсчёта времени
tEnd = 1.41# конечный момент отсчёта времени
alph=pi/4# угол бросания тела
v0=10.0 # начальная скорость
K=[0.1,0.2,0.3,0.5]# анализируемые коэффициенты сопротивления среды
g=9.81
yo = array([0.,v0*cos(alph),0.,v0*sin(alph)]) # начальные условия
tau =0.01# шаг
for i in K: # перебор значений коэффициента сопротивления среды
k=i
t, y = rungeKutta(f, to, yo, tEnd, tau)
y1=array([i[0] for i in y]) # извлечение переменных из массива y
y3=array([i[2] for i in y])
# визуализация сопротивление среды "к" и расчёт и визуализация s,h,t
plt.plot(y1,y3,linewidth=2,label='k=%.1f h=%.3f s=%.2f t=%s' % (k,max(y3),max(y1),round(t[list(y1).index(max(y1))],3)))
stop = time.time()
plt.title("Результаты численного решения системы четырёх ОДУ n с использованием адаптированного для Pythonn метода Рунге—Кутта—Фельберга ")
print ("Время на модельную задачу: %f"%(stop-start))
plt.xlabel('Высота h')
plt.ylabel('Расстояние s')
plt.legend(loc='best')
plt.xlim(0,8)
plt.ylim(-0.1,2)
plt.grid(True)
plt.show()
Получим:
Время на модельную задачу: 0.259927

Вывод
Предложенная программная реализация модельной задачи без использования специальных модулей имеет почти в двое большее быстродействие, чем с функцией ode, однако нельзя забывать, что ode имеет более высокую точность численного решения и возможности выбора метода решения.
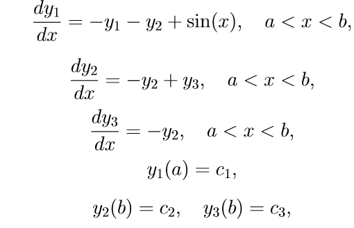
Решение краевой задачи с поточно разделёнными краевыми условиями
Приведем пример некоторой конкретной краевой задачи с поточно разделенными краевыми условиями:
(11)
Для решения задачи (11) используем следующий алгоритм:
1. Решаем первые три неоднородные уравнения системы (11) с начальными условиями

Введем обозначение для решения задачи Коши:

2. Решаем первые три однородные уравнения системы (11) с начальными условиями

Введем обозначение для решения задачи Коши:

3. Решаем первые три однородные уравнения системы (11) с начальными условиями

Введем обозначение для решения задачи Коши:

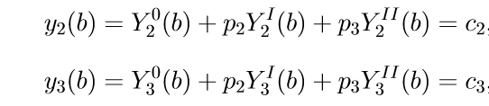
4. Общее решение краевой задачи (11) при помощи решений задач Коши записывается в виде линейной комбинации решений:

где p2, p3 — некоторые неизвестные параметры.
5. Для определения параметров p2, p3, используем краевые условия последних двух уравнений (11), то есть условия при x = b. Подставляя, получим систему линейных уравнений относительно неизвестных p2, p3:
(12)
Решая (12), получим соотношения для p2, p3.
По приведенному алгоритму с применением метода Рунге—Кутта—Фельберга получим следующую программу:
# Метод пристрелки
from numpy import*
import matplotlib.pyplot as plt
import matplotlib.font_manager as fm,os
import matplotlib.patches as mpatches
import matplotlib.lines as mlines
from scipy.integrate import odeint
from scipy import linalg
import time
start = time.time()
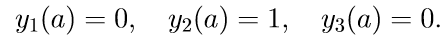
c1 = 1.0
c2 = 0.8
c3 = 0.5
a =0.0
b = 1.0
nn =100
initial_state_0 =array( [a, c1, 0.0, 0.0])
initial_state_I =array( [a, 0.0, 1.0, 0.0])
initial_state_II =array( [a, 0.0, 0.0, 1.0])
to = a
tEnd =b
N = int(nn)
tau=(b-a)/N
def rungeKutta(f, to, yo, tEnd, tau):
def increment(f, t, y, tau):
k1=tau*f(t,y)
k2=tau*f(t+(1/4)*tau,y+(1/4)*k1)
k3 =tau *f(t+(3/8)*tau,y+(3/32)*k1+(9/32)*k2)
k4=tau*f(t+(12/13)*tau,y+(1932/2197)*k1-(7200/2197)*k2+(7296/2197)*k3)
k5=tau*f(t+tau,y+(439/216)*k1-8*k2+(3680/513)*k3 -(845/4104)*k4)
k6=tau*f(t+(1/2)*tau,y-(8/27)*k1+2*k2-(3544/2565)*k3 +(1859/4104)*k4-(11/40)*k5)
return (16/135)*k1+(6656/12825)*k3+(28561/56430)*k4-(9/50)*k5+(2/55)*k6
t = []
y= []
t.append(to)
y.append(yo)
while to < tEnd:
tau = min(tau, tEnd - to)
yo = yo + increment(f, to, yo, tau)
to = to + tau
t.append(to)
y.append(yo)
return array(t), array(y)
def f(t, y):
global theta
f = zeros([4])
f[0] = 1
f[1] = -y [1]-y[2] +theta* sin(y[0])
f[2] = -y[2]+y[3]
f[3] = -y[2]
return f
# Решение НЕОДНОРОДНОЙ системы -- theta = 1
theta = 1.0
yo =initial_state_0
t, y = rungeKutta(f, to, yo, tEnd, tau)
y2=[i[2] for i in y]
y3=[i[3] for i in y]
# Извлечение требуемых для решения задачи значений
# Y20 = Y2(b), Y30 = Y3(b)
Y20 = y2[N-1]
Y30 = y3[N-1]
# Решение ОДНОРОДНОЙ системы -- theta = 0, задача I
theta = 0.0
yo= initial_state_I
t, y = rungeKutta(f, to, yo, tEnd, tau)
y2=[i[2] for i in y]
y3=[i[3] for i in y]
# Извлечение требуемых для решения задачи значений
# Y21= Y2(b), Y31 = Y3(b)
Y21= y2[N-1]
Y31 = y3[N-1]
# Решение ОДНОРОДНОЙ системы -- theta = 0, задача II
theta = 0.0
yo =initial_state_II
t, y = rungeKutta(f, to, yo, tEnd, tau)
y2=[i[2] for i in y]
y3=[i[3] for i in y]
# Извлечение требуемых для решения задачи значений
# Y211= Y2(b), Y311 = Y3(b)
Y211= y2[N-1]
Y311 = y3[N-1]
# Формирование системы линейных
# АЛГЕБРАИЧЕСКИХ уравнений для определния p2, p3
b1 = c2 - Y20
b2 = c3 - Y30
A = array([[Y21, Y211], [Y31, Y311]])
bb = array([[b1], [b2]])
# Решение системы
p2, p3 = linalg.solve(A, bb)
# Окончательное решение краевой
# НЕОДНОРОДНОЙ задачи, theta = 1
theta = 1.0
yo = array([a, c1, p2, p3])
t, y = rungeKutta(f, to, yo, tEnd, tau)
y0=[i[0] for i in y]
y1=[i[1] for i in y]
y2=[i[2] for i in y]
y3=[i[3] for i in y]
# Проверка
print('y0[0]=', y0[0])
print('y1[0]=', y1[0])
print('y2[0]=', y2[0])
print('y3[0]=', y3[0])
print('y0[N-1]=', y0[N-1])
print('y1[N-1]=', y1[N-1])
print('y2[N-1]=', y2[N-1])
print('y3[N-1]=', y3[N-1])
j = N
xx = y0[:j]
yy1 = y1[:j]
yy2 = y2[:j]
yy3 = y3[:j]
stop = time.time()
print ("Время на модельную задачу: %f"%(stop-start))
plt.subplot(2, 1, 1)
plt.plot([a], [c1], 'ro')
plt.plot([b], [c2], 'go')
plt.plot([b], [c3], 'bo')
plt.plot(xx, yy1, color='r') #Построение графика
plt.plot(xx, yy2, color='g') #Построение графика
plt.plot(xx, yy3, color='b') #Построение графика
plt.xlabel(r'$x$') #Метка по оси x в формате TeX
plt.ylabel(r'$y_k(x)$') #Метка по оси y в формате TeX
plt.title(r'Метод пристрелки ', color='blue')
plt.grid(True) #Сетка
patch_y1 = mpatches.Patch(color='red',
label='$y_1$')
patch_y2 = mpatches.Patch(color='green',
label='$y_2$')
patch_y3 = mpatches.Patch(color='blue',
label='$y_3$')
plt.legend(handles=[patch_y1, patch_y2, patch_y3])
ymin, ymax = plt.ylim()
xmin, xmax = plt.xlim()
plt.subplot(2, 1, 2)
font = {'family': 'serif',
'color': 'blue',
'weight': 'normal',
'size': 12,
}
plt.text(0.2, 0.8, r'$frac{dy_1}{dx}= - y_1 - y_2 + sin(x),$',
fontdict=font)
plt.text(0.2, 0.6,r'$frac{dy_2}{dx}= - y_1 + y_3,$',
fontdict=font)
plt.text(0.2, 0.4, r'$frac{dy_3}{dx}= - y_2 - y_2,$',
fontdict=font)
plt.text(0.2, 0.2, r'$y_1(a)=c_1, '
r'quad y_2(b)=c_2, quad y_3(b)=c_3.$',
fontdict=font)
plt.subplots_adjust(left=0.15)
plt.show()
Получим:
y0[0]= 0.0
y1[0]= 1.0
y2[0]= 0.7156448588231397
y3[0]= 1.324566562303714
y0[N-1]= 0.9900000000000007
y1[N-1]= 0.1747719838716767
y2[N-1]= 0.8
y3[N-1]= 0.5000000000000001
Время на модельную задачу: 0.070878

Вывод
Разработанная мною программа отличается от приведенной в [3] меньшей погрешностью, что подтверждает приведенный в начале статьи сравнительный анализ функции odeint с реализованным на Python метода Рунге—Кутта—Фельберга.
Ссылки:
3. Н.М. Полякова, Е.В. Ширяева Python 3. Создание графического интерфейса пользователя (на примере решения методом пристрелки краевой задачи для линейных обыкновенных дифференциальных уравнений). Ростов-на-Дону 2017.
Автор: Scorobey
