Решая очередную задачу, частично связанную с расчётами гидравлического сопротивления, я в очередной раз столкнулся с проблемой "ступенчатости" функции при переходе от одного режима течения в другой. Как раз эти "ступеньки" часто сбивали мой алгоритм определения гидравлического сопротивления сложной разветвленной гидросистемы.
Для изучения проблемы я набросал небольшой пример в MathCad'е....
Соответственно рассчитал безразмерный коэффициент гидравлического сопротивления трению для пяти режимов (Ламинарный, Зона гладкостенного сопротивления Блазиуса,
Зона гладкостенного сопротивления Конакова, Зона доквадратичного сопротивления Альтшуля, Зона квадратичного сопротивления Шифринсона)
Ну и собственно наблюдаем типичную картину точек разрыва функции и её "непрерывность"...

1-3 диапазон
Конечно, задача сгладить данные переходы не является особенно сложной, но.... я вспомнил, что где-то видел формулу, которая ....
[1] Черникин А.В. Обобщение расчета коэффициента гидравлического сопротивления трубопроводов // Наука и технология углеводородов. М.: 1998. №1. С. 21–23.
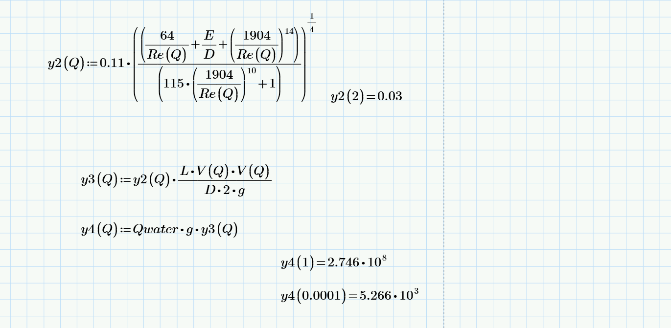
λ=0,11·[(68/Re+k/D+(1904/Re)^14)/(115·(1904/Re)^10+1)]^0,25
где: k – эквивалентная шероховатость внутренней стенки трубы (средняя высота выступов), м.
Вячеслав Леонидович выполнил проверочные расчеты и выявил, что вышеприведенная формула является наиболее универсальной в широком диапазоне чисел Рейнольдса! Значения, полученные по этой формуле чрезвычайно близки значениям
функции λ=64/Re для зоны ламинарного характера потока в диапазоне 10<Re<1500
функции λ=0,11·(68/Re+k/D)0,25 для зоны турбулентного характера потока при Re>4500;
в диапазоне 1500 < Re < 4500 согласно анализу присутствует переходная зона.
Проверяем на практике...

Результат приятно удивил....
Проблем с непрерывностью больше нет, остаются вопросы к отличию значений на втором диапазоне, но это ,я думаю, отдельная тема....
И вот, мой алгоритм заработал как нужно, что и требовалось) Надеюсь метод Черникина А.В. будет полезен для коллег)
Автор: maxgammer
