Заинтересовал меня топик о многопоточности в Go: habrahabr.ru/post/195574/.
Внимательно перечитал автора и комментарии сообщества и решил, что тема все же раскрыта не полностью.
В дальнейшем, дабы не было непонимания, попрошу принять, что здесь и далее термин «поток» используется исключительно в значении «thread», а не в значении «stream». Спасибо.
Как и автор первого топика, я тоже очень люблю язык Go и использую его при первом же удобном случае.
Мне также импонирует стиль его многопоточности, и при любом удобном случае я применяю распараллеливание.
Например, организация работы с базой данных с использованием множества потоков до сих пор позволяла значительно увеличить скорость доступа и достигнуть приемлемых значений даже для одного процесса.
Но вот пример с каналами заставил задуматься.
На моей машине разница была не в 10-20 раз, но она была. И разница весьма существенная — в 2 потока задача выполнялась медленнее примерно в 2 раза.
Я переписал программу до удобного вида, добавил в нее нагрузочные циклы и пару ключей. И вот что из этого получилось.
/* channel_test01.go
* Tests how go-routines interact with channels
* Call: channel_test01 --help
* Pls, do not use name "channel_test", because this name always is used by go-pkg-system
*/
package main
import (
"fmt"
"time"
"flag"
"os"
"runtime"
)
// flag support for program
var MAXPROCS int
var LOAD_CYCLES int //internal burden cycle
var Usage = func() {
fmt.Fprintf(os.Stderr, "Usage channel_test01 [-maxprocs=NN] [-cycles=NN] n", os.Args[0])
}
func init() {
flag.IntVar(&MAXPROCS, "maxprocs", 1, "maxprocs for testing. From 1 to 256 ");
flag.IntVar(&LOAD_CYCLES, "cycles", 1000, "burden internal cycle for testing. From 1 to 1000000 and more ");
}
func main() {
flag.Parse();//get MAXPROCS and LOAD_CYCLES from flags
// runtime.GOMAXPROCS() returns previous max_procs
max_procs := runtime.GOMAXPROCS(MAXPROCS)
// second call to get real state
max_procs = runtime.GOMAXPROCS(MAXPROCS)
fmt.Println("MaxProcs = ", max_procs)
ch1 := make(chan int)
ch2 := make(chan float64)
go chan_filler(ch1, ch2)
go chan_extractor(ch1, ch2)
fmt.Println("Total:", <-ch2, <-ch2)
}
func chan_filler(ch1 chan int, ch2 chan float64) {
const CHANNEL_SIZE = 1000000
for i := 0; i < CHANNEL_SIZE; i++ {
for j := 0; j < LOAD_CYCLES; j++ {
i++
}
//thus we avoid optimizer influence
i = i - LOAD_CYCLES
ch1 <- i
}
ch1 <- -1
ch2 <- 0.0
}
func chan_extractor(ch1 chan int, ch2 chan float64) {
const PORTION_SIZE = 100000
total := 0.0
for {
t1 := time.Now().UnixNano()
for i := 0; i < PORTION_SIZE; i++ {
// burden cycle
for j := 0; j < LOAD_CYCLES; j++ {
i++
}
i = i - LOAD_CYCLES
m := <-ch1
if m == -1 {
ch2 <- total
}
}
t2 := time.Now().UnixNano()
dt := float64(t2 - t1)/1e9 //nanoseconds ==> seconds
total += dt
fmt.Println(dt)
}
}
Результаты
Машина: Intel, 4 ядра по 3ГГц, 4 ГБ RAM, linux-x86-64, kernel-3.11, golang-1.1.2
Максимальное достижимое значение runtime.MAXPROCS на моей машине равно 256. Можно задать и больше, но все равно будет выставлено 256. Значение по умолчанию = 1.
Число потоков, порождаемых программой (ps -C channel_test01 -L)
При -maxprocs=1: 3 потока.
При -maxprocs=2 и более: всегда 4 потока.
Иногда при длительных операциях появлялось еще 2 потока, которые оставались до конца работы процесса. Похоже на сборку мусора.
(Попробовал и на одном из виртуальных серверов, который показывает в /proc/cpuinfo наличие 24 ядер. На нем число потоков также было равно 4. Но часто был и пятый поток — весьма похоже на то, что жадная vds-ка не спешила выделять память, и сборщик мусора вылезал осмотреться).
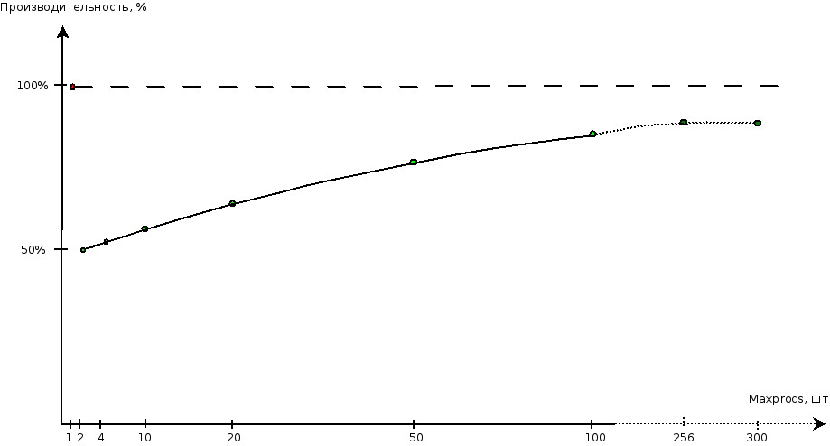
Зависимость скорости наполнения канала от количества потоков при cycles = 1000

Максимальная производительность развивается при MAXPROCS=1
Зависимость скорости наполнения канала от увеличения балластной нагрузки

Под нагрузкой многопоточность все же берет свое.
Выводы из графиков
При maxprocs=1 все работает в 1 поток, псевдо-многопоточность обеспечивается внутренним планировщиком голанга, который является весьма эффективным.
При maxprocs=2 и более появляется больше потоков, включается механизм взаимодействия между потоками. Возникают блокировки, и все становится медленнее, на спящих потоках — примерно в 2 раза.
При maxprocs=3..256 реальное число потоков в системе не растет, но часть потоков становится «псевдо-потоками», взаимодействие между которыми начинает попадать под управление внутреннего планировщика голанга. Это дает небольшой прирост скорости с каждым увеличением количества «псевдо-потоков».
С дальнейшим увеличением maxprocs (вплоть до своего максимального значения 256) все больше потоков становятся псевдо-потоками и попадают под управление внутреннего планировщика. Но часть потоков все равно остается независимыми системными потоками. На спящих потоках и быстрых вычислениях это нам обходится примерно в 10% производительности.
Вывод.
Изменение параметра runtime.MAXPROCS может принести как выигрыш, так и потерю в производительности. Это еще раз подтверждает общий принцип, что эффект от распараллеливания зависит от конкретной задачи и конкретного оборудования.
Автор: Forked
