Датчики: акселерометры, гироскопы, магнитометры
В основе любой ИНС — инерциальный измерительный модуль (IMU). Типичный IMU включает три взаимно перпендикулярных акселерометра и три гироскопа, иногда ещё три магнитометра (dewesoft.com). Акселерометры измеряют специфическую силу — разницу между истинным ускорением и ускорением свободного падения. Гироскопы измеряют угловую скорость. Магнитометры оценивают вектор магнитного поля Земли и позволяют корректировать курс. Такой 9‑осевой датчик иногда называют «AHRS» — системой ориентации и направления (attitude and heading reference system). В нашем проекте используется MEMS‑IMU с 6 степенями свободы и встроенным термодатчиком.
Координатные системы и ремённый алгоритм
Изначально инерциальные системы строились на гиростабилизированных платформах: набор гироскопов поддерживал устойчивое положение платформы, на которой устанавливались акселерометры. Это дорого и тяжело. Современные системы используют «ремённую» (strap‑down) схему: датчики жёстко закреплены на корпусе, а вычислитель в реальном времени пересчитывает измерения из «телесной» системы координат в «навигационную» (обычно связанная с Землёй или локальной плоскостью). Для этого используются кватернионы или матрицы направляющих косинусов. Главная задача — вычислить матрицу поворота из тела в навигационную систему, интегрируя угловые скорости гироскопов; затем ускорения, измеренные в корпусной системе, преобразовать в навигационную и интегрировать для получения скоростей и координат.
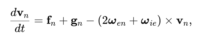
В учебнике под редакцией Чёрного и Кораблина подробно разбирается вывод уравнений движения для летательных аппаратов. Например, скорость в навигационной системе vnmathbf{v}_{n}vn связана с интегралом от специфической силы fnmathbf{f}_{n}fn и компенсацией вращения Земли и транспортных эффектов:

где ωieboldsymbol{omega}_{ie}ωie — вектор угловой скорости вращения Земли, ωenboldsymbol{omega}_{en}ωen — угловая скорость навигационной системы относительно Земли, gnmathbf{g}_{n}gn — вектор местного притяжения. В простых наземных приложениях мы часто пренебрегаем вращением Земли, но в авиации и при длительных полётах эти поправки важны. Наша разработка, ориентированная на частную авиацию, использует упрощённую модель плоской Земли, но учитывает изменение гравитации с высотой и широтой.
Откуда берётся дрейф
Инерциальная система автономна, но из‑за неидеальности датчиков её ошибки накапливаются. Малейшие смещения нулевого уровня акселерометров или гироскопов, шумы и квантование при интегрировании превращаются в существенно растущую ошибку. Как отмечает статья в Википедии, даже акселерометр с погрешностью 10 µg приводит к ошибке около 50 м за 17 минут. Поэтому ИНС обычно сочетают с внешними источниками измерений — радиовысотометрами, барометрами, GNSS и так далее.
Фильтр Калмана и метод наименьших квадратов
Чтобы уменьшать дрейф, навигационная система применяет алгоритмы оптимальной оценки. Наиболее известный — фильтр Калмана, придуманный в 1960 году Р. Калманом. Согласно технической статье компании VectorNav, фильтр Калмана обеспечивает оптимальную оценку состояния системы при наличии шумных измерений и неполного знания динамики (vectornav.com). Он похож на метод наименьших квадратов, но работает последовательно: модель состояния прогнозирует координаты и скорости, а затем, как только появляются новые измерения (например, от GPS), фильтр уточняет прогноз, учитывая доверительные интервалы (матрицы ковариации). В результате получается оценка с минимальной дисперсией, а также оценка собственных ошибок.
Фильтр Калмана особенно эффективен в навигации: он позволяет объединять данные с разных сенсоров, даже если они измеряют разные величины (скорости, ускорения, угловые скорости), и распределять веса между ними в зависимости от точности. В последующих частях я расскажу, как применял этот фильтр, а также другие методы — взвешенные средние и метод наименьших квадратов — и сравню их на примере имитаций.
Необходимость магнитометра и барометра
Хотя основную навигацию обеспечивают акселерометры и гироскопы, для устойчивого курса полезно использовать магнитометр. Он измеряет направление магнитного поля Земли и позволяет корректировать угловой дрейф по курсу. Некоторые системы используют барометр (датчик давления) для определения высоты и калибровки интегрированного по вертикали ускорения. В нашем первом прототипе магнитометр и барометр не устанавливались, чтобы упростить схему, но в следующих версиях эти датчики планируются.
В следующей части я перейду от абстрактной теории к «железу» и расскажу, как выбирались компоненты будущего навигатора.
Автор: exec77
