
Без понимания природы возникновения интеллекта и механизмов разумного поведения невозможно создание искусственного интеллекта. Можно бесконечно составлять сети нейроподобных элементов варьируя их количество, организацию, алгоритмы, но невозможно случайным образом повторить то над чем трудилась эволюция миллионы лет.
Природа деятельности живых организмов определяется их потребностями, связанными с необходимостью выживать, питаться, размножаться и сохранять энергию. И ни одно живое существо не действует вне внутренних мотивов формируемых потребностями. И невозможно представить разум лишенный внутренних мотивов и целей. Каждое движение наших глаз, произнесение слов, формирование мыслей есть результат работы механизмов ответственных за удовлетворение наших потребностей. Стремление создать абсолютный интеллект, не обусловленный никакими потребностями, приведет к получению бездействующего механизма или действующего подобно автомату.
Наш окружающий мир очень сложен и многообразен и создание рефлексов на все случаи жизни, которые бы позволили организму быть в этом мире успешным, не предоставляется возможным. Поэтому природа создала механизм, который позволяет формировать и отбирать рефлексы, которые приводят к желаемому результату – это эмоции, или эмоциональные механизмы.
Но какие же потребности могут быть у искусственного интеллекта, ведь ему незачем испытывать голод, за зарядом его батареи может последить человек, а чувство страха может спровоцировать на действия к самообороне, любовь и привязанность – эти чувства даже Человеку создали множество хлопот. Единственное, что действительно необходимо искусственному интеллекту это желание обучаться, любопытство и стремление к новому. Природа всех эмоций сходна и все перечисленные эмоции, возможно, воплотить в искусственном интеллекте.
В нашем существует множество различных областей и отделов, и можно сказать, что между этими отделами существуют определенные взаимосвязи, эти связи как бы более высокого уровня, нежели те которые присутствуют между нейронами. Эти отделы влияют друг на друга посредством химических сигналов, это более медленный тип информационного канала. К примеру, мы уже говорили о том, какие изменения происходят к коре под действием норадреналина, нейроны коры становятся более пластичными, норадреналин возникает в коре благодаря активации голубого пятна. Когда мы обсуждали модулирующий нейроэлемент, я приводил пример с чувством страха, которое может повысить чувствительность моторных нейронов, тем самым сделав нас более сильными и быстрыми. Каждая эмоция обусловлена своей областью в
Для большинства эмоций можно выделить два состояния: голод и насыщение. Жажда и утоление жажды, длительное напряжение мышц и расслабление, страх и чувство избегания опасности, боль и отступление боли, скука и эмоция новизны, отсутствие объекта привязанности и радость контакта с объектом привязанности – все это две части эмоциональных механизмов.
Что собой представляет голод?

Представьте некую область нейронов в нервной системе, в которой с увеличением потребности будет увеличиваться активность, чем выше потребность, тем чаше возникает активация этих клеток и тем большее количество их вовлекается в активность. И соответственно, при отсутствии потребность активности у этих клеток не будет. Можно назвать эти клетки — клетками требования, они как будто требуют выполнения действий необходимых для их успокоения.
Попробуйте задержать дыхание, и Вы почувствуете действие клеток требования дыхательного центра. С течением времени при задержке дыхания, сигналы от внутренних органов об увеличении углекислого газа будут приходить в нервный центр ответственный за дыхание, увеличивая в нем активность. Активность увеличивается настолько, что сдерживать дыхание посредством тормозящего действия коры вскоре будет невозможно. И этот нервный центр своей активностью вызовет необходимый рефлекс для вдоха. Для каждой потребности существуют свои нейроны требования, хотя в некоторых случаях работа групп этих клеток взаимосвязана.
У живого организма может быть множество потребностей и между этими потребностями существуют приоритеты, потребность самозащите всегда выше, чем потребность удовлетворения пищевого голода. И эти приоритеты природа расставила посредством максимального уровня активности для соответствующих клеток требования и взаимного подавления. Организм будет выполнять те рефлексы, которые связанны с удовлетворением клеток требования имеющие главенство в данный момент в его нервной системе.
Обратите внимание, что активность растёт и достигает пика до совершения действия, после происходит полное потухание. Фиксируется не совсем та активность которую я описываю, но даст некоторое представление о принципах работы системы. Если бы, электрод был помещен в центр пищевого голода и насыщения, то фиксировал бы источник этих активаций.
Эфир 02.12.2003 — но сохраняет актуальность.
Рассмотрим, как потребности и эмоции управляют поведением животного, и какие внутренние процессы при этом протекают.

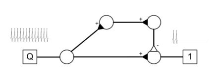
Для этого мы рассмотрим определенным образом настроенную систему в программе. В системе присутствуют две области A и B, эти области необходимы, чтобы мы могли логически разделить и изолировать группы нейроэлементов. Область A – это область ответственная за некую потребность, а область B имеет набор простых рефлексов. Три рефлекса с заголовками Q, W, E (a) активация которых приводит к трем действиям «1», «2», «3» соответственно (b), каждый рефлекс имеет представительства в области A ©, причем передача возбуждения между рефлексом и представительством имеет двусторонний характер. Подобная организация почерпнута из принципов организации нервной системы, но при этом сильно упрощенна. Области ответственные за эмоции и потребности локализованы в лимбической системе эти области тесно связанны с гиппокампом, который ответственен за временную память и имеет в себе представительства всех областей коры, в коре возможно формирование сложных рефлексов и практически имея доступ к гиппокампу, мы имеем доступ к множеству рефлексов коры.
Посредством раздражителя A мы можем активировать потребность (d), данный раздражитель может символизировать, к примеру, сигнал от внутренних органов об отсутствии необходимых питательных веществ, что приводит к возникновению чувства голода и активацией соответствующих клеток требования (e). Также может существовать ряд дополнительных раздражителей, которые оказывают лишь модулирующее действие на клетки требования, к примеру, аппетитные запахи еды могут увеличивать чувствительность клеток требования пищевого голода, что увеличит их активность. Но при абсолютном отсутствии голода запах еды не будет влиять на поведение животного.
Допустим, что при совершении действия «2» животным, это будет приводить к удовлетворению потребности и получению насыщения (f). За насыщение будет ответственен нейроэлемент (g), активность которого приводит к импринтингу в области A. В данном случае в области происходит изменение нейропластичности на одну секунду со значения 0 до 0,1 и обратно (h), а так же происходит снятие действий процессов привыкания для нейроэлементов. Когда мы разбирали тему памяти, то мы говорили о механизме эмоциональной памяти и это пример того как происходит использование этого механизма. Так же происходит подавление центра ответственного за активность клеток требования (i), но это происходит не моментально, а с некоторой задержкой, что бы была возможность формирования ассоциативных связей. Аналогом этих процессов, можно назвать активацию дофаминовых нейронов, медиатор дофамин является тормозным, он оказывает тормозящее действие в областях ответственных за голод. Также возможен выброс различных «гормонов счастья», которые влияют на пластичность некоторых областей в

Даже при активности нейроэлемента требования совершение действий не приводящих к насыщению не вызывают никаких существенных изменений в области A. Но при первой же запуске рефлекса приводящего к насыщению происходит формирование рефлекторной дуги соединяющей нейроэлемент требования и представительство рефлекса приводящего к нужным действиям. Тем самым формируется некоторый замкнутый контур: возникновение потребности приводит к активации нейроэлемента требования, что активирует рефлекс, формирующий действия, приводящие к активации центра насыщения. Чувство насыщения гасит активность в нейроэлементе требования, до появления потребности вновь. С каждым повторением сформированная рефлекторная дуга будет укрепляться, за счет увеличения силы синапсов. В данном случае установлено значение максимальной силы синапса 100, при пластичности 0,1 потребуется 10 повторений до достижения максимального значения устойчивости рефлекторного акта.
В случае если мы далее отменим условие: по действию «2» приводить к насыщению, то при возникновении потребности это действие будет настойчиво выполняться, сначала очень активно, но со временем процессы привыкания приведут к затуханию выполнения этого рефлекса, а процессы адаптации будут способствовать к периодическим возращению к действию «2». Каких либо механизмов стирания информации нет, и рефлекторная дуга будет сохраняться. Рефлекторная дуга может быть утеряна вследствие переобучения и участия нейроэлементов принадлежащих ей в других рефлекторных актах. В биологической системе возможна ситуация когда бесполезные действия будут подавляться потребностями связанными с сохранением энергии, причем по той же самой схеме, только потребность будет возникать всегда при выполнении каких либо действий, а насыщение при выполнении рефлексов подавляющих действие моторных нейронов, как результат бездействие. Только мы подумаем о выполнении действия «2» как возникает мысль: «Не стоит пытаться это бесполезно». И лучше когда потребности связанные с сохранением энергии были бы ниже в приоритете и силе других потребностей.

Другой вариант добавить условие, что и действие «1» будет приводить к насыщению. В данном случае недостаточно просто ввести новое условие необходимо, как и в самом начале продемонстрировать организму, что такая возможность есть, то есть обучить его. После нескольких актов обучения, при возникновении потребности возможно выполнение обоих действий, хотя у этих действий может возникнуть конкуренция при выполнении их одновременно. Чаще будет выполняться тот рефлекторный акт, рефлекторная дуга которого более устойчива, в которой имеются более сильные связи, в конечном итоге этот рефлекс будет полностью главенствовать. Проще говоря, организму легче выполнять те действия, которые ранее приводили к положительным результатам, конечно, ели на это не повлияют другие потребности.
Если, к примеру, выполнение действие «1» будет эффективнее для сохранения энергии, то даст ему преимущество перед действием «2».

Ну и конечно возможно полное переобучение даже при наличии максимально устойчивого рефлекса, если установить появление чувства насыщение только в ответ на действие «1». Это будет требовать также некоторого обучения. После которого еще некоторое время возможно выполнения действия «2» («по привычке»), но в конечном итоге организм будет выполнять только действие «1» при возникновении потребности.

Рассмотренный механизм работы эмоций и удовлетворения потребностей эффективен только при наличии неких заготовленных заранее рефлексов действий и учителя, которой в необходимый момент подведет к выполнению необходимых действий. На самом деле это вполне соответствует живой природе, но как обстоит дело в ситуации, когда организм пытается самостоятельно изучать окружающую среду. Это возможно благодаря очень важной для научения потребности в новой информации, потребности в новизне.
Как и для любой другой потребности, эмоциональный механизм потребности в новизне работает по сходным принципам, и соответственно нам необходимо выделить некий критерий новизны поступающей информации. Если некоторое длительное время организм не получает новую информацию, то должна возникнуть потребность и активироваться соответствующие ей клетки требования.
Потребность в получении новой информации эволюционно появляется относительно рано, и физиологи находят в нервной системе некоторые базовые нейронные сети для оценки новизны информации. К примеру, нейронная сеть, которая позволяет регистрировать резкие изменения уровня звука, такие сети необходимы для привлечения внимания организма к изменяемым аспектам окружающей среды.


Но сложно представить схему, которая может оценивать новизну информации на уровне абстрактного

В биологическом аналоге возможно наличие некого химического сигнала, о том, что нейрону приходится запускать программу изменения сил своих синапсов под влиянием внешних факторов.
Для того чтобы разобраться в том, что такое эмоция новизны хочу представить цитату из книги Бауэра Т. «Психическое развитие младенца»:
Младенец может включить свет, поворачивая голову влево. Большинство 2—3-месячных младенцев несколько раз включат свет за довольно короткий промежуток времени. Затем частота поворотов налево падает ниже того уровня, который служит критерием научения. Она не увеличится до тех пор, пока сохраняется устойчивая связь зажигания света с поворотом головы налево. Допустим, что экспериментатор меняет направление связи: свет зажигается при повороте головы вправо. Рано или поздно младенец повернет голову налево, и свет не зажжется. В этом случае следует большое количество поворотов влево, потом обнаружение правой схемы, показателем чего является непродолжительная высокая частота поворотов направо, которая затем уменьшается. Если ситуация не меняется, эта частота тоже останется низкой.
Если схема подкрепления вновь меняется, так что теперь для включения света необходимы сначала поворот головы налево, а потом поворот направо, то частота правых поворотов возрастет после первой попытки, когда свет не зажжется; частота левых поворотов тоже увеличится, и, наконец, младенец повернет голову налево, потом направо и включит свет. После краткого роста частоты поворотов налево — направо частота уменьшится и будет постоянной до тех пор, пока ситуация не изменится. Перемена программы подкрепления вызывает вспышку активности, которая прекращается после обнаружения правильной комбинации поворотов. Таким образом, ребенок осваивает довольно сложные последовательности движений: например, направо — направо — налево — налево. Рост активности наблюдается всякий раз со сменой ситуации. Исследования показывают, что эта активность не случайна. Младенец как бы перебирает ряд гипотез, испытывая последовательности движений, чтобы выяснить, которая из них эффективна в данный момент. Обнаружив правильную, он проверяет ее несколько раз и затем прекращает выраженную активность. Она опять увеличивается лишь в том случае, когда предыдущая последовательность перестает быть применимой. Из поведения младенцев достаточно ясно, что световой раздражитель не является мотивирующим фактором.Когда начинается проверка гипотез, младенец после первого успеха почти не глядит на источник света. Он бросает на него мимолетный взгляд для того, чтобы убедиться, зажегся он или нет. Убедившись, что свет зажегся, он может проявить признаки удовольствия, но при этом не обращает внимания на источник света, который явно не является причиной его удовлетворения.
Разберем внутренние механизмы поведения ребенка из описанного примера на примере с моделью:


Две области A и B, первая является областью ответственной за эмоцию новизны, вторая область это область в которой происходит оценка уровня новизны поступившей информации. Область B имеет четыре входных сигнала (a), допустим, что сигнал Q является неким внутренним или внешним мотивом поворота головы налево, этот мотивирующий сигнал активирует соответствующий рефлекс, приводящий к действию «1» (b), которое и будет, явятся актом поворота головы налево. Аналогичный раздражитель W, но уже для поворота головы направо. Раздражитель E может быть внутренним мотивом поворота головы сначала налево потом на право, в области примоторной коры формируется образы целых комбинаций движений, поэтому наличие данного представительства рефлекса вполне логично. И раздражитель R является результатом возникновения зрительного образа включения света. Рефлексы, связанные с двигательной системой имеют представительства как в области B (с) так и области A (e).
Комбинации раздражителей будут формировать новые рефлекторные дуги, новые пути распространения возбуждения, что будет указывать на высокий уровень новизны информации, а повторение одних и тех же комбинаций с каждым разом будет показывать все более низкий уровень новизны.
В данном примере применен более сложный алгоритм оценки новизны, который позволяет одну и ту же комбинацию оценивать по уровню новизны с падением на 10-20% при каждом повторе, но в основе так же разница в изменении вектора предпочитаемого распространения возбуждения. Значение уровня новизны на gif'ке можно увидеть справа верху над областью B.
При отсутствии информации с уровнем новизны выше 70% в области B в течение 10с наступает информационное голодание, возникает потребность в новизне (f). Эмоция новизны по отношению к другим потребностям весьма низкая, но потребность в её удовлетворении очень быстро возникает, т.е. потребность в новизне уступает в случаях необходимости в самосохранении, эмоции страха всегда сильнее, но потребность в новизне практически неутолима. К примеру, эта эмоция управляет саккадами наших глаз, в момент рассмотрения изображений, как только информация, передаваемая с рецепторов глаза, будет иметь низкий уровень новизны, происходит перемещение глаз. То насколько быстро происходит перемещение глаз по изображению, указывает на скорость циклов голод-насыщение для эмоции новизны. Конечно, уровень новизны для разных областей
Высокий уровень новизны (>70%) в области B, приводит к активации нейронной сети (h), которая на коротки промежуток времени увеличивает пластичность в области A и снимает эффект привыкания в ней (j), чтобы сформировались рефлекторные дуги, которые будут связанны с действами, приведшими к насыщению. Далее происходит подавление активности клеток требования (i).
Действия, которые приводили к насыщению потребности в новизне, будут повторяться, даже если они не будут приносить удовлетворение, но в данном случае возможно подавление действия влиянием других потребностей, к примеру, потребностью в сохранении энергии, или возникновению привыкания. Комбинации: поворот головы и включение света или поворот головы и отсутствия включения света будут оцениваться одинаково по уровню новизны при их смене.
При каждом насыщении будет происходить снижение действия привыкания в области ответственной за эмоцию новизны, что будет приводить к возникновению активности ранее заученных рефлексов. В процессе научения старые рефлексы будут вытисняться новыми.
В нервной системе существуют области ответственные за отдельные сокращения мышц – двигательная, или моторная кора, но и области в которых формируются целые комбинации этих движений – примоторная кора. Возможно, наличие области с более высоким абстрактным уровнем, в которой формируется некий образ: «повороты головой», связь с данным образом центра потребности в новизне, может привести к имитации поиска комбинаций включающих свет.
Дети часто задают вопросы типа: «Почему?» лишь потому, что центр их эмоции новизны связан с совершением данного действия, их опыт подсказывает им, что задав этот вопрос, есть вероятность получения новой информации и соответственно удовлетворению потребности новизны.
Потребность новизны очень важна для научения в овладении артикуляционным аппаратом и моторными навыками. Эти системы имеют обратную связь, действия моторики, двигательной активности немедленно отражаются в рецепторах органов зрения, осязания, вестибулярного аппарата, а действие артикуляционного аппарата отражается на рецепторах органа слуха. На первых этапах развития животного сочетание действия и восприятие результатов этого действия формирует новые рефлекторные дуги, что с учётом эмоционального механизма потребности в новизне приводит к желанию повторять эти действия, а так же комбинации сходных действий.
Примером может быть детский лепет, который активно начинается примерно с шестимесячного возраста младенца. Запускается эта стадия развития ребёнка посредством активации безусловных рефлексов провоцирующих произнесение звуков, но поддерживается за счёт эмоции новизны, заставляя ребёнка произносить одни и те же звуки или играть ими.
Стремление к активным играм, взаимодействию с предметами и т.д. позволяет животному и человеку не только удовлетворять потребность в новизне, но и учит управлять своим тело и сформировать его образ.
Механизмы удовлетворения потребностей являются универсальными достаточно выделить внутренние критерии голода и насыщения. К примеру, рассмотрим эмоцию привязанности. Существуют различные виды привязанностей: взаимная привязанность матери и ребёнка, привязанность к супругу, родственнику и т.д. Данная эмоция выражается в стремлении быть рядом с объектом привязанности или иметь его в поле зрения. В случае утраты объекта привязанности может возникнуть тревожное или стрессовое состояние, а если объект привязанности возвращается, то проявляется радость и другие признаки получения удовольствия. Исследования и опыты австралийского этолога Конрада Лоренца демонстрируют механизмы эмоции привязанности. Например, исследуя поведение утят, Лоренц установил, что вылупившейся из яйца малыш первым делом осуществляет поиск «образа матери».
Единственное, что должен был делать претендент на роль матери – это двигаться. Если перед только вылупившимся утятами появляется двигающийся объект, утята начинают следовать за ним. Процесс записи в памяти образа объекта привязанности называется импринтингом. По прошествии одного дня с небольшим, после рождения импринт матери у утят завершается. После этого они уже полностью игнорируют даже свою настоящую мать. И охотней следуют за «суррогатной матерью».
В определенные ключевые моменты жизнедеятельности организма происходит маркирование клеток активных образов и предположительно это происходит с помощью медиатора окситоцина. Окситоцин называют гормоном доверия и привязанности, он выделяется при успешных социальных контактов и взаимодействиях, при кормлении грудью, взаимном груминге и занятии сексом. Нервная система запоминает те нейроны, которые активны в момент повышения уровня окситоцина.
Критерием голода для эмоции привязанности может быть низкий уровень активности «помеченных» нейронов, а критерий насыщения – это активность данных нейронов. По описанной схеме удовлетворения потребностей нервной системой будут запоминаться, и выполняться те действия, которые приводят к состоянию насыщения потребности. Желание любоваться лицом возлюбленных, плачь ребенка и хватание при расставании с матерью, проявление материнской нежности и заботы, скорбь по утрате родственной связи или потери домашнего питомца – все это результат работы центров
Представленная модель эмоционального механизма позволяет говорить об качественных характеристиках отдельных эмоций. Изменяя скорость или меру насыщения, скорость наступления голода, общий максимальный уровень активности клеток требования по отношению к другим эмоциональным центрам можно формировать характер смоделированной нервной системы.
Уровень любопытства, сила привязанностей, смелость, жадность, исполнительность, лень, жизнерадостность эти и многие другие качества характера обусловлены изначальными настройками центров удовлетворения потребностей.
Перед разработчиками программ с искусственным интеллектом будет стоять не только технические задачи, но и задачи связанные с психическими качествами программы, это хорошо проиллюстрировано в фильме «Ева: Искусственный разум» (2011г.).

Понимание природы эмоций поможет «запрограммировать» искусственный разум к исполнению трех законов робототехники, это будут не просто какие-то инструкции, а исполнение этих законов будет приносить реальную радость и счастье для искусственного разума.
Оглавление
1. Симулятор нервной системы. Часть 1. Простой сумматор
2. Симулятор нервной системы. Часть 2. Модулируемый нейроэлемент
3. Симулятор нервной системы. Часть 3. Ассоциативный нейроэлемент
4. Память, консолидация памяти и бабушкины нейроны
5. Моделирование эмоций или электронное чувство новизны
6. Удивительный мозжечок
7. Структура и стартовые настройки
Автор: aigame
