
Стандартная модель имеет определённые пробелы. Да, она описывает электромагнитное, слабое и сильное взаимодействие всех элементарных частиц. Но она не включает в себя гравитацию. Не даёт ответа на вопрос, что такое тёмная материя. И самое главное — она не способна объяснить, почему у нынешних фундаментальных физических констант именно такие значения. Стандартная модель также не способна объяснить или предсказать зависимость фундаментальных физических физических постоянных от переменных факторов, таких как пространство и время.
Поэтому физики вполне логично задаются вопросом, менялись ли со временем фундаментальные постоянные. И если менялись, то каким образом. Поскольку теория не способна нормально объяснить значения постоянных и их изменение, то остаётся единственный научный метод — прямое измерение значения фундаментальных постоянных в разных точках пространства-времени.
Для ответа на этот вопрос хорошо подходит постоянная тонкой структуры (ПТС) — одна из фундаментальных физических постоянных. ПТС определяет размер величины (расщепления) энергетических уровней атома и, следовательно, образования тонкой структуры — набора узких и близких частот в его спектральных линиях. Расщепление происходит за счёт квантового эффекта, взаимодействия двух электронов атома в результате обмена между ними виртуальными фотонами.
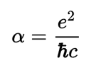
Постоянная тонкой структуры — это безразмерная величина, образованная комбинацией других фундаментальных констант.

Получается, что при измерении ПТС мы сразу определяем соотношение между собой нескольких фундаментальных констант: постоянной Планка, скорости света в вакууме, числа пи и элементарного электрического заряда.
Если измерения показывают, что ПТС была иной, значит, когда то в прошлом были другими одна или несколько следующих констант:
- постоянная Планка (из постоянной Дирака в вышеупомянутой формуле ПТС);
- скорость света в вакууме;
- число пи (из постоянной Дирака в вышеупомянутой формуле ПТС);
- элементарный электрический заряд.
На сегодняшний день точно известно, что соотношение данных констант равняется
7,2973525664(17)×10−3
(это рекомендованное значение ПТС на сегодняшний день).
Но что было в прошлом?
Некоторые предыдущие работы по исследованию космической эволюции постоянной тонкой структуры указывали на значительное изменение ПТС во времени. Например, на такую дельту:
∆α/α◦ = (−0,574 ± 0.102) × 10−5 для 0,2 ≤ z ≤ 3.7 (см. работу Murphy, M. T., Curran, S. J., & Webb, J. K. "Deep Searches for High Redshift Molecular Absorption", 2003, MNRAS, 342, 830).
За 15 лет проведены и другие измерения ПТС по спектральным линиям в далёких квазарах, которые находятся в прямой видимости.
Измерение спектра
Но если одна фундаментальная константа меняется со временем, то можно предположить, что могут меняться и другие фундаментальные константы. Исходя из эволюции Вселенной, они должны меняться и сейчас, если это постоянный процесс. Сразу возникают вопрос: какие именно фундаментальные константы меняются?
Более того, появляется много новых теорий, которые пытаются исправить Стандартную модель — объединить, наконец, её с гравитацией. И эти теории предусматривают изменение фундаментальных констант со временем.
Дополнительное исследование на эту тему провели астрофизики R. F. Carswell из Института астрономии при Кембриджском университете и S. M. Kotuš, M. T. Murphy из Центра астрофизики и суперкомпьютерных вычислений в Технологическом университете Суинберна. Их работа опубликована 8 октября 2016 года в журнале Monthly Notices of the Royal Astronomical Society (doi: 10.1093/mnras/stw2543).
Как и предшественники, они тоже измерили тонкие структуры в спектральных линиях далёкого квазара. Для измерения выбрали квазар (QSO) HE 0515−4414, от которого свет на пути к будущей Земле прошёл через галактику, удалённую от нас в пространстве-времени на 8,5 млрд световых лет. Это самый яркий квазар с красным смещением более z = 1 в южном полушарии звёздного неба.
Измерения показали, что постоянная тонкой структуры в галактике совпадает с земной. Это значит, что 8,5 млрд лет назад в нашей Вселенной электромагнетизм был примерно таким же, как сейчас.
Учёные считают, что некорректные данные предыдущих измерений спектра квазаров объясняются тем, что другие учёные использовали не очень точные методы, в том числе на спектрографе Ultraviolet and Visual Echelle Spectrograph на телескопе Very Large Telescope (VLT) в Европейской южной обсерватории. Авторы нового исследования нашли способ скорректировать показания этого спектрографа с помощью другого спектрографа. Они предположили, что наблюдаемая дельта скорости (красное смещение — сдвиг спектральных линий) объясняется именно разницей в физической скорости объектов, а не дельтой ПТС. Авторы уверены, что устранили систематическую ошибку во всех предыдущих исследованиях, которые показывали разницу в ПТС (этих исследований около десятка).
Данный эксперимент противоречит другим экспериментальным данным, зато подтверждает Стандартную модель и по прежнему не позволяет совместить силу гравитации с остальными видами взаимодействий в рамках единой теории. Но учёные наверняка продолжат эти попытки. Уже через несколько лет они смогут более точно измерить спектр квазаров на новых телескопах с более точными спектрографами.
Если предположить, что Стандартная модель устояла, у учёных всё равно нет ответа на вопрос, почему 8,5 млрд лет назад фундаментальные физические постоянные были такими же, как и сейчас.
Автор: alizar
