
Современные технологии кажутся нам обыденными и привычными. Однако одни только мысли о подобных вещах лет 50 назад казались чем-то нереальным и футуристическим. В наши дни подобные эпитеты сохранили свою популярность, ибо ученые продолжают расширять границы нашего понимания мира.
Будущее информационных технологий зависит не только от совершенствования имеющихся составляющих этой неотъемлемой части жизни человека, но и от поиска новых материалов, техник, методик и прочего. Сегодня мы с вами будем разбираться в одном весьма любопытном исследовании магнитных скирмионов и антискирмионов. Что это, зачем оно и как может усовершенствовать ИТ в будущем? За ответами погрузимся в доклад ученых. Поехали.
Что такое магнитный скирмион?
Для начала стоит напомнить, что атомы магнитных материалов, обладающие собственным магнитным моментом электрона, ведут себя словно магниты, говоря простыми словами. При намагничивании вещества спины атомов выстраиваются определенным образом, что и делает это вещество магнитом.
В 2009 году исследователи обнаружили весьма увлекательную особенность отдельных атомов. Их спины закручивались в воронки (вихри). Подобная структура получила название скирмион, в честь британского физика Тони Скирме, который еще в далеком 1962 году описал математическую модель вихревых спинов.

Изображение а — скирмион «еж», b — спиралевидный скирмион.
Одной из важных для ИТ особенностью скирмионов является их топологическая устойчивость. Суть в том, что любое возмущение может изменить направление спинов, но закрученность останется прежней. Таким образом можно хранить информацию в двоичном виде: 0 — нет скирмиона, 1 — есть скирмион. А учитывая нанометровые размеры подобных структур, плотность хранения информации также может значительно возрасти.
Выходя из этой информации было предположено существование и антискирмионов, чей топологический заряд будет противоположным обычным скирмионам.
Двумерные спиновые структуры обладают нетривиальной топологией, которая отвечает за их определенный уровень устойчивости. Такие структуры характеризуются топологическим зарядом:

где m = m(r, t) это вектор направления магнитных моментов во времени и пространстве.
Скирмионы (q = 1) и антискирмионы (q = -1) обладают противоположными зарядами и могут возникать парами в случае, если возникает деформация однородного состояния (q = 0). Описание динамики скирмионов и антискирмионов возможно аппроксимировать, если считать ядро неподвижным, что уменьшает необходимое число переменных для описания их движения.
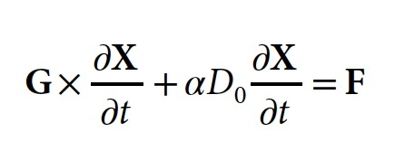
Формула, представленная ниже, описывает затухающее гиротропное движение положения ядра (Х) скирмионов и антискирмионов в ответ на приложенную силу (F):

G, равный -qG0z, это гировектор;
α — постоянная затухания;
D0 — структурный фактор.
Динамика в вышеуказанном уравнении неньютоновская, а следовательно гиротропный отклик зависит от q и диктует направление, в котором движется ядро.
База исследования
В своем исследовании ученые описывают динамику скирмионов и антискирмионов в ультратонких ферромагнитных пленках. Было обнаружено возникновение спин-орбитальных моментов, которые могут привести к появлению трохоидального движения и генерации пары скирмион-антискирмион. Подобная динамика вызвана деформацией ядра, которая в свою очередь приводит к времязависимой спиральности, управляющей движением ядра скирмиона и антискирмиона.

Пример трохоидального движения (удлиненная циклоида)
С помощью симуляций атомных спинов, предиктивного моделирования с редукцией переменных и алгоритмов машинного обучения была вычислена динамическая фазовая диаграмма, которая предсказывает как спин-орбитальные моменты могут контролировать тип движения, а также приводить к формированию скирмионных решеток путем внедрения антискирмионов.
Симуляции динамики атомных спинов

Изображение №1
В основе исследования была подложка из нормального металла и слоя ферромагнитного переходного металла (изображение 1а). Примером подобного вещества является сплав PdFe/Ir(111), в котором стойкий антисимметричный обмен в монослое железа (Fe) вызван межфазовой связью с сильным спин-орбитальным взаимодействием в подложке из иридия (Ir). Это позволяет отдельным скирмионам существовать в метастабильном состоянии.
Также было выявлено, что антискирмионные состояния тоже могут быть метастабильными, когда учитываются фрустрированные обменные взаимодействия в тонких пленках или объемном образце.
На изображении 1b видно, что обычное и антисимметричное обменное взаимодействия обладают шестикратной симметрией, что связано с поверхностью иридия. Если снизить мощность антисимметричного обменного взаимодействия, то можно достичь состояния равновесия для скирмионов (1с) и антискирмионов (1d).
Исследователи отмечают, что внутриплоскостный ток должен проходить сквозь ферромагнитный металл и подложку из нормального металла. Однако в данном случае большая часть тока проходит только через подложку из иридия, поскольку удельное сопротивление слоя значительно выше именно для ультратонких ферромагнетиков.
1е представляет гексагональную структуру решетки и направление векторов антисимметричного обменного взаимодействия, что использовались для поддержания антискирмионального состояния.
1f это состояние равновесия скирмиона с антисимметричным обменным взаимодействием, а изображение 1g показывает состояние равновесия антискирмиона с антисимметричным обменным взаимодействием.
Спиновая динамика и формирование пары скирмион-антискирмион

Изображение №2
На изображении 2а показаны изменения средней скорости〈v〉скирмионов и антискирмионов как функция спин-орбитального момента, где βFL = βDL. Для антискирмионов было определено три режима распространения: линейное движение при малом токе, отклоненное движение при среднем токе и трохоидальное движение при большом токе.
Стоит отметить, что скорость антискирмионов не увеличивается параллельно спин-орбитальному моменту, как это происходит у скирмионов.
Расчеты поведения скирмионов дали возможность сделать предположение касательно траектории движения антискирмионов, что показано на изображении 2b. Три варианта траектории для трех режимов. Стрелки указывают направление вектора движения.
Современный абстракционизм на изображении 2с это фазовая диаграмма различного поведения при разных значениях и соотношениях βFL (сила полеобразного крутящего момента) и βDL (сила «затухающего» крутящего момента). Благодаря алгоритмам машинного обучения были выделены три основные типа траекторий (линейная, отклоненная и трохоидальная), которые охватывают широкий диапазон скоростей и направлений распространения.
Трохоидальная и отклоненная траектории возникают ввиду деформации ядра антискирмиона. Именно трохоидальная траектория возникает при очень широком диапазоне значений спин-орбитального момента.

Изображение 3а
Деформация ядра характеризуется появлением динамической переменной ψ(t), которая обозначает спиральность скирмиона и антискирмиона (изображение 3а, где q=1 это скирмионы, а q=-1 это антискирмионы).
Переменная ψ для скирмионов описывает непрерывный переход между состояниями Блоха и Нееля противоположной хиральности, а для антискирмионов — вращение осей Блоха и Нееля.
В системе, созданной исследователями, деформация ядра обусловлена спин-орбитальным моментом, что приводит к наклону в намагниченности в плоскости пленки, который характеризуется амплитудой η и азимутом ϕt.
Для внешних спинов наклон одинаков все время, но внутри ядра антискирмиона он меняется в зависимости от ψ.
Было обнаружено, что при малом βFL и большом βDL возникает новое динамическое состояние, приводящее к формированию пары скирмион-антискирмион. Когда антискирмион проходит по своей трохоидальной траектории, он сопровождается сильной деформацией (удлинение ядра). Это видно на изображении 4а (конкретно на t = 3 пс). Далее это удлинение, являющееся парой скирмион-антискирмион, отделяется от самого ядра.

Изображение №4
На изображении 4b показана плотность топологического заряда этого процесса. Однако существование пары не постоянно. С течением времени пара начинает распадаться, поскольку спин-орбитальные моменты «заставляют» двигаться скирмион и антискирмион в разном направлении. Скирмион движется по линейной траектории от точки образования пары. Антискирмион начинает движение по трохоидальной траектории, что приводит к формированию новой пары (изображение 4с). Этот процесс повторяется снова и снова, а это говорит о том, что можно из единого антискирмиона создавать далеко не одну единственную пару, а множество новых пар.
Антисимметричное обменное взаимодействие
Ранее мы уже узнали, что отклоненная и трохоидальная траектории были обнаружены только у антискирмионов. Это связано с тем, что барьер внутренней энергии (при равном антисимметричном обменном взаимодействии, далее АОВ) скирмиона значительно выше, чему у антискирмиона. То есть асимметрия между противоположными топологическими зарядами зависит от АОВ, а не от самого заряда.

Динамика скирмионов и антискирмионов в отсутствии АОВ
Важность АОВ нагляднее и проще показать, если его нет в системе. В таком случае скирмионы и антискирмионы продолжат сохранять метастабильное состояние ввиду фрустрированного обменного взаимодействия, что приводит к состоянию равновесия (a и b на изображении выше). Получается, что в системе нет взаимодействия между скирмионом и антискирмионом, что приводит к разрушению состояний Блоха и Нееля. Как следствие, показанный на изображении а профиль является единственным способом реализовать метастабильное состояние скирмиона, изображение b — метастабильное состояние антискирмиона.
На изображении с мы видим, что возникает круговое движение с противоположным направлением для противоположных топологических зарядов.
Как вывод, возникновение пар скирмион-антискирмион без антисимметричного обменного взаимодействия невозможно.
Эпилог
Данное исследование, по словам ученых, показало богатую динамику, возможную при разных спин-орбитальных моментах в ультратонких ферромагнитных пленках. Самыми важными моментами своей работы они называют описание процесса возникновения пары (реверс вихревого ядра) и сопоставление скирмионов и других явлений микромагнетизма.
Данный труд однозначно станет базой для последующих исследований, целью которых будет реализации возможности выбирать необходимую ориентацию поверхности или интерфейса для их адаптации под определенные динамические свойства. Это станет новым витком в материаловедении, учитывая, что ранее больше внимания уделялось лишь количественному определению и контролю линейных траекторий движения для памяти и логических приложений на базе скирмионов.
Это исследование демонстрирует возможность существования сразу нескольких разных динамик при различных метастабильных состояниях внутри единой материальной системы.
Как следствие, подобные разработки могут стать базой для создания новых типов устройств хранения и обработки информации, что повлечет за собой самую что ни на есть революцию в мире информационных технологий.
Спасибо, что остаётесь с нами. Вам нравятся наши статьи? Хотите видеть больше интересных материалов? Поддержите нас оформив заказ или порекомендовав знакомым, 30% скидка для пользователей Хабра на уникальный аналог entry-level серверов, который был придуман нами для Вас: Вся правда о VPS (KVM) E5-2650 v4 (6 Cores) 10GB DDR4 240GB SSD 1Gbps от $20 или как правильно делить сервер? (доступны варианты с RAID1 и RAID10, до 24 ядер и до 40GB DDR4).
3 месяца бесплатно при оплате новых Dell R630 на срок от полугода — 2 х Intel Deca-Core Xeon E5-2630 v4 / 128GB DDR4 / 4х1TB HDD или 2х240GB SSD / 1Gbps 10 TB — от $99,33 месяц, только до конца августа, заказать можно тут.
Dell R730xd в 2 раза дешевле? Только у нас 2 х Intel Dodeca-Core Xeon E5-2650v4 128GB DDR4 6x480GB SSD 1Gbps 100 ТВ от $249 в Нидерландах и США! Читайте о том Как построить инфраструктуру корп. класса c применением серверов Dell R730xd Е5-2650 v4 стоимостью 9000 евро за копейки?
Автор: Dmytro_Kikot
