Раз уж написали статью про «а вдруг Земля не плоская», пожалуй расскажу еще про одну теорию заговора

Мы живем в удивительное время и постоянно узнаем удивительные вещи. Что Земля плоская, что Нерон и Наполеон — один человек, что не только американцы не летали на Луну, а вообще никто никуда не летал, и даже что Антарктиды не существует. И вот все чаще мне приходится отвечать на вопрос: а правда ли, что на рубеже XVIII и XIX веков была ядерная война и такие войны были и раньше — археологи регулярно находят признаки древних ядерных катастроф, только об этом говорить не принято?
И прежде чем ответить на этот вопрос, давайте посмотрим, какие признаки развернутого военного конфликта с широким применением ядерного оружия сохранятся через триста и три тысячи лет.
Радиация
Это то, что первое приходит на ум. И «сильно радиоактивные останки людей и животных» — это любимый аргумент сторонников данной гипотезы. Действительно, древние кости часто бывают заметно, а иногда и довольно сильно радиоактивными. Может эта радиоактивность быть связанной с ядерной катастрофой? Нет и вот почему.
Во-первых, достаточно принести эти кости к гамма-спектрометру (или наоборот, принести гамма-спектрометр к ним), чтобы увидеть, что эта радиоактивность обусловлена дочерними продуктами урана-238 и тория-232.
Во-вторых — как известно, уровень радиации после взрыва довольно быстро убывает. В результате реакции деления образуется множество различных продуктов деления, количество которых внутри определенных диапазонов масс ядра (86-100 и 134-145) примерно одинаково — несколько процентов на каждый изотоп. Среди них есть те, что распадаются тут же, что живут секунды, минуты, часы… Есть те, период полураспада которых измеряется годами и десятилетиями. Есть и тысяче- и миллионолетние и даже стабильные. Но стабильные изотопы — это узенькая полоска на диаграмме N-Z, поэтому их выход ничтожен. И чем дальше от нее — тем изотоп распадается быстрее — а значит, и громче кричит о себе своим бета- и гамма-излучением. Но он и быстрее «остынет». Можно сказать, что в каждый момент времени интегральная радиоактивность продуктов взрыва определяется наиболее короткоживущими из сохранившихся в них нуклидов.
В течение периода времени, сравнимого с человеческой жизнью такие основные дозообразующие нуклиды — это цезий-137 и стронций-90, которые имеют период полураспада около 30 лет (28,9 лет у стронция-90 и 30,16 лет у цезия-137). Именно они на текущий момент дают «показания дозиметра» на улицах, например, Припяти.
А через триста лет их количество уменьшится в тысячу раз. И тот знаменитый чернобыльский ковш, в котором так любят фотографироваться безбашенные посетители ЧЗО, уже почти перестанет ими «фонить». На первый план вылезут другие изотопы, но общий уровень радиоактивности снизится в сотни раз. И станет таким низким, что обнаружить ее с помощью обследования радиометром станет непросто.
А радиоактивность костей, которым от тысяч до десятков миллионов лет, уж точно не связана с ядерными взрывами.
Значит ли это, что атомный взрыв, произошедший 300, 1000, 10000 лет назад, не оставил бы на настоящий момент никаких обнаружимых радиоактивных следов? Нет, не значит. Короткоживущие изотопы распались бы, но остались долгоживущие.
Во-первых, это трансурановые элементы. Период полураспада основных изотопов нептуния, плутония, америция вполне позволяет обнаружить эти нуклиды и через сотни тысяч лет. Их «фоновое» содержание, обусловленное активацией урана нейтронами спонтанного деления и космических лучей, ничтожно, так что они будут надежно маркировать цепную реакцию деления.
Есть долгоживущие нуклиды и среди продуктов деления. В относительно свежих — их увидеть сложно, потому что исходное количество их такое же, как у всех остальных, но из-за большего периода полураспада активность их значительно ниже. А после распада стронция-90 и цезия-137 они будут прекрасно видны.
Кстати, радиоактивные изотопы — это прекрасные «часы», и по их соотношению обычно можно определить: древнее ли их происхождение или же они привнесены за счет современного загрязнения пробы.
Так что ядерный взрыв в прошлом оставил бы радиоактивный след, который, если искать, обязательно обнаружится.
Но может быть, и не искали, в голову не приходило?
Нет, искали — но с другими целями. Когда отбирают пробы накапливающихся в стратиграфической последовательности осадков (например, ила на дне озер или морей) и послойно изучают содержимое радионуклидов в них, всегда обнаруживают два характерных пика. Один — поглубже и побольше — это ядерные испытания в 60х-70х годах. Другой — поменьше и ближе к поверхности — Чернобыль. А с некоторой глубины радионуклиды исчезают совсем. Или не исчезают — но виновниками этого являются отнюдь не атомные бомбардировки, а обычные донные обитатели, например, полихеты. Они перелопачивают верхний слой ила, роют в нем норы и заносят на глубину поверхностный материал. И тогда мы обнаруживаем на глубине, соответствующей двумстам годам, цезий-137 и плутоний. Причем их соотношение характерно для современности — а если бы образцу было действительно 200 лет, то цезия было бы гораздо меньше.
То же касается и годовых колец деревьев. Дошли до конца сороковых годов — все, дальше никаких следов продуктов деления и трансурановых элементов.
Стекла плавления
Другим характерным следом ядерного взрыва являются продукты плавления того, что метеоритчики называют «породами мишени». Когда ЯО применяют против людей, «породами мишени» становятся не только земля и камень, но и кирпич, бетон, металл, кости людей и животных. В жаре ядерного взрыва они образуют расплав, богатый окисью кремния, который затем застывает в стекло.
Именно такими должны быть воронки от ядерных взрывов, а не теми, за которые обычно сторонники «ядерной войны 1812 года» выдают карстовые провалы. Где они, эти воронки с пластами стекла плавления? Их нет.
И тут мы вспоминаем (читать голосом диктора радио «Звезда»):
Среди руин попадаются разбросанные куски спёкшейся глины и зеленого стекла
(целые пласты!). По всей вероятности, песоки глина под воздействием высокой температуры вначале расплавились, а затем мгновенно затвердели. Такие же пласты зеленого стекла
появляются в пустыне штата Невада (США) всякий раз после ядерного взрыва. Анализ
образцов, проведенный в Римском университете и в лаборатории Национального совета
исследований Италии, показал: оплавление произошло при температуре 1400–1500 градусов. Такая температура в те времена могла быть получена в горне металлургической мастерской, но никак не на обширной открытой территории.
Это про Мохенджо-Даро. Неужели там и впрямь произошла атомная катастрофа?
Собираем данные дальше и находим:
Другой загадкой для исследователей остается очень высокий уровень радиации в районе взрыва. Еще в 1927 году археологи нашли 27 полностью сохранившихся человеческих скелетов. Даже сейчас уровень их радиационного фона близок к той дозе облучения, которую получили жители Хиросимы и Нагасаки
И вот на этом становится ясно: уж эта радиоактивность точно не «ядерного» происхождения. Почему — смотрите предыдущий раздел.
На самом деле, про Мохенджо-Даро все отлично расписал Станислав Ермаков в своей статье [Ермаков С. Э. «Ядерный кошмар» Мохенджо-Даро // Аномалия 2013. №2. С. 3-16], к которой и отсылаю читателя. Единственное — автор упоминает измерения радиационного фона на раскопках, но они лишь позволяют выявить вранье мифотворцев о якобы ужасающей радиации на этом месте. А для выявления или опровержения факта ядерного взрыва на этом месте они бесполезны А на самом деле, конечно же, надо было исследовать те самые найденные там оплавленные стекловидные корки на трансурановые элементы.
Радиоуглеродная аномалия

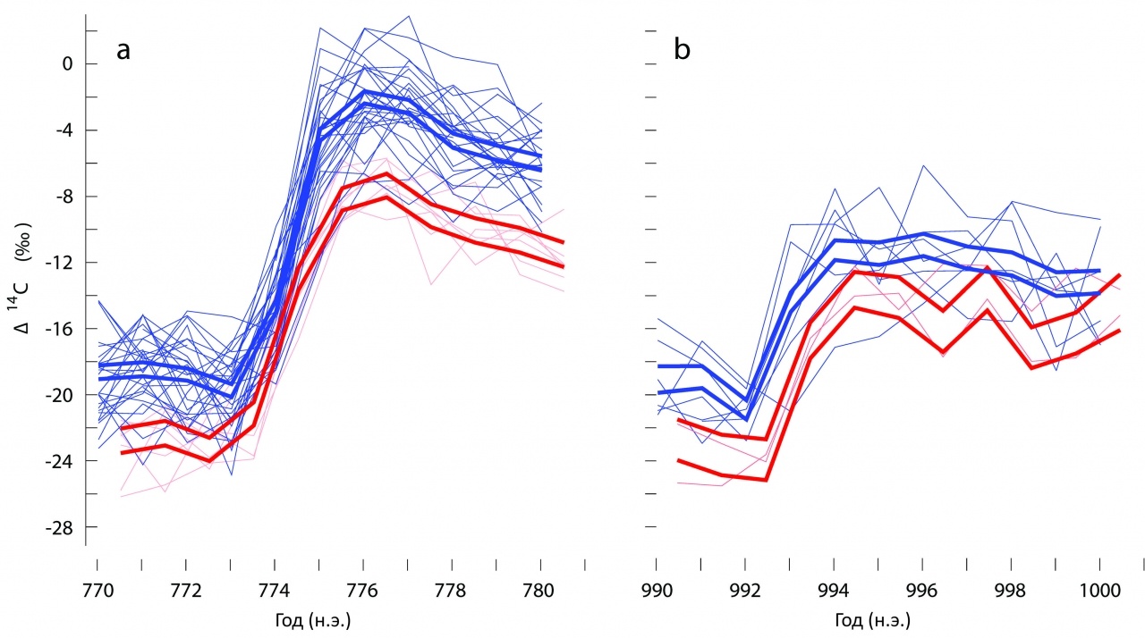
Известная картинка, иллюстрирующая так называемый «бомб-эффект» — результат облучения атмосферы нейтронами от многочисленных ядерных взрывов, при котором стабильный азот-14 превращается в радиоактивный углерод-14. Тот самый, который историки используют для определения возраста своих находок. Массовое применение ядерного оружия в прошлом привело бы к подобному «бомб-эффекту» в прошлом. И этот эффект не остался бы незамеченным.
Дело в том, что радиоуглеродный метод датирования не был бы столь точен без его калибровки. Одним из таких методов калибровки является дендрохронологический. Деревья, как известно, растут годовыми кольцами, и подсчет их является достоверным способом определения срока их жизни. Более того, в последовательности годовых колец записаны изменения условий, при которых росло дерево. И можно продолжить «летопись» одного дерева другим, более древним, если в какой-то период времени эти два дерева росли параллельно: последовательность широких и узких годовых колец за этот период у этих двух деревьев будет очень похожа. Так можно получить множество образцов древесины, возраст которых известен с точностью до года на протяжении нескольких тысяч лет! И по отклонениям содержания радиоуглерода с увеличением возраста от теоретической экспоненты распада углерода-14, связанным с изменениями интенсивности космического излучения можно скорректировать погрешности радиоуглеродного метода. Поэтому «бомб-эффект» не прошел бы мимо ученых: он был бы виден на этой кривой в виде хорошо заметного скачка.
И что самое интересное, есть такие скачки и их даже два: в 774 и 992 годах (найдены и другие, более слабые), их называют «события Мияке». Они, правда, гораздо (на несколько порядков) слабее, чем скачок середины XX века, но их особенность — они наблюдаются в образцах древесины по всему земному шару — и притом синхронно. И совпадают со скачкам бериллия-10 и хлора-36 — других космогенных радионуклидов, образующихся в верхней атмосфере под действием космического излучения — во льдах Гренландии и Антарктиды.

Но вряд ли они связаны с чем-то искусственным. Ученые объясняют их мощными солнечными вспышками, подобными Каррингтоновскому событию 1859 года, но еще более грандиозными. Но даже взрыв одной атомной бомбы типа хиросимской дал бы значительно большую радиоуглеродную аномалию.
* * *
Нет никаких оснований полагать, что до середины XX века на Земле вообще существовало ядерное оружие. Нет и никаких признаков его применения. Можно, конечно, сказать «все вы врете», что не обнаружено потому что не искали, а если и искали, то нашли и засекретили… Но так можно придумать и «доказать» все, что угодно. Что, впрочем, и делается такими любителями мировых заговоров.
Автор: jar_ohty
