
На протяжении столетий ученые из разных уголков мира создавали самые разные теории, объясняющие те или иные процессы, явления и феномены. Некоторые из этих теорий были подтверждены или опровергнуты на практике буквально сразу после их высказывания. Другие же оставались на бумаге многие годы, ибо на момент их появления технологии не позволяли провести практические опыты. Сегодня мы познакомимся с исследованием, в котором ученые из Франкфуртского университета имени Гете (Германия) попытались понять, что есть «давление света» на самом деле, подтвердив в процессе теорию 90-летней давности. В чем именно заключалась теория, какие методики были использованы в опытах, и что нового мы узнали о фотонах? Ответы на эти вопросы ожидают нас в докладе ученых. Поехали.
Историческая справка
Давление света (или давление электромагнитного излучения) это механическое давление, оказываемое на любую поверхность в результате обмена импульсом между объектом и электромагнитным полем.
Первооткрывателем этого понятия является Иоганн Кеплер (1571-1630). В 1619 году, наблюдая за кометой, он отметил, что ее хвост всегда направлен в сторону от Солнца.
Спустя более двухсот лет в 1862 году Джеймс Максвелл (1831-1879) предположил, что свет как электромагнитное излучение обладает свойствами импульса и, следовательно, оказывает давление на любую поверхность, с которой контактирует. Экспериментально это было подтверждено лишь в 1900 году Петром Лебедевым.
Практические опыты с целью изучения давления света крайне сложны. Связано это с тем, что силы, создаваемые световым давлением, крайне малы. Однако в космических масштабах (буквально) суммарный эффект этих малозаметных сил может оказывать большое кумулятивное воздействие на объект в течение длительных периодов времени. Например, если бы во время подготовительных расчетов перед запуском космического аппарата программы «Викинг» не учитывалось давление света, то аппарат пролетел бы орбиту Марса на расстоянии 15 000 км.

Иоганн Кеплер, Петр Лебедев и Арнольд Зоммерфельд.
Если суммировать все воедино, то мы получим следующее: частицы света (фотоны) ударяются об атомы тела и передают ему часть своего импульса, а тело от этого становится быстрее.
Пока все логично. Однако не все так просто. Ранее проводились опыты, в которых фотоны определенной длины волны выбивали из атомов отдельные электроны. Импульс этих электронов был больше, чем у фотона, который с ним взаимодействовал. Это невозможно, скажете вы, ибо есть второй закон Ньютона, в котором говорится, что на любое действие имеется противоположное равное противодействие (утрированно говоря). Тем не менее, в 1930 году немецкий ученый Арнольд Зоммерфельд предположил, что дополнительный импульс выброшенного электрона происходит из атома, который он покинул. Получается, что движение атома должно быть направлено в сторону источника фотонов, т.е. к свету. Теория весьма смелая, но в те годы подтвердить ее на практике было нереально ввиду отсутствия необходимых технологий.
И вот 90 лет спустя наши современники смогли впервые в мире воочию понаблюдать этой таинственный процесс.
Основа исследования
Авторы труда напоминают, что вектор электрического поля электромагнитной волны ориентирован перпендикулярно оси распространения света. Поскольку это поле управляет фотоионизацией*, стоит предположить, что его направление будет осью симметрии для угловых распределений фотоэлектронов и фотоионов.
Фотоионизация* — ионизация молекулы/атома непосредственно при абсорбции фотонов, энергия которых равна или больше энергии ионизации.
Фотоэффект — процесс взаимодействия электромагнитного излучения и вещества, когда энергия фотонов передается электронам вещества.
Фотоэлектрон — электроны, вытесняемые из вещества, когда на него воздействует электромагнитное излучение.
Фотоион — катион (положительно заряженный ион), полученный в результате фотоионизации.
Однако при высоких энергиях фотонов Eγ и соответствующих высоких фотонных импульсах kγ эта симметрия нарушается, а импульсные распределения фрагментов реакции асимметричны относительно направления распространения света.
Зоммерфельд в своих изысканиях понял, что средний прямой импульс электронов, превышающий импульс фотона (⟨kex⟩ > kγ), влечет за собой то, что средний импульс фотоиона должен быть противоположным для учета сохранения импульса.
Стоит также отметить, что так называемые недипольные эффекты, возникающие из-за ненулевого импульса фотона, также оказывают существенное влияние на однофотонную ионизация. Кроме того, более высокие мультипольные компоненты взаимодействия света и вещества не только изменяют угловое распределение фотоэлектронов, но также открывают дополнительные пути ионизации, которые запрещены диполями.
В данном исследовании эксперименты по однофотонной ионизации были выполнены в двух вариантах:
- высокоэнергетический (300–1775 эВ) на PETRA III (DESY/Немецкий электронный синхротрон) с применением света с циркулярной поляризацией;
- низкоэнергетический (12–40 кэВ) на ID31 (European Synchrotron Radiation Facility) с применением света с линейной поляризацией.
Для измерений состояния заряда и трехмерного вектора импульса фотоионов был использован метод спектроскопии COLTRIMS (Cold Target Recoil Ion Momentum Spectroscopy).
Пучок фотонов проходил под прямым углом со сверхзвуковой газовой струей He (низкоэнергетический эксперимент) или N2 (высокоэнергетический эксперимент).
Фотонный пучок был пересечен под прямым углом сверхзвуковой газовой струей He (низкоэнергетический эксперимент) или N2 (высокоэнергетический эксперимент). Ионы направлялись электрическим полем к чувствительному ко времени и положению детектору с отсчетом положения линии задержки*.
Линия задержки* — устройство задержки электрических и электромагнитных сигналов на заданный промежуток времен.
Начальные импульсы после фотоионизации были получены от времени полета ионов и положения точки контакта. В экспериментах с N2 рассматривалась исключительно ионизация K-оболочки (электронная оболочка атома первого уровня) с последующим распадом Оже*.
Эффект Оже* — выход электрона из атомной оболочки ввиду безызлучательного перехода в атоме при снятии возбуждения.
В таком случае возникает два однозарядных иона, которые совпадают с оже-электроном. Из этих трех векторов импульса был рассчитан импульс иона N2+ в момент после фотоэлектронной эмиссии.
Чтобы получить доступ к ионным импульсам в абсолютном масштабе, важно точно знать местоположение ионов с нулевым импульсом на нашем детекторе. Для данных высоких энергий эта нулевая точка получается из ионов, которые создаются комптоновским рассеянием*.
Комптоновское рассеяние* — некогерентное (фотоны до и после рассеяния не интерферируют) рассеяние фотонов на свободных электронах.
В этом случае импульс фотона передается электрону, и поэтому ион остается с распределением импульса, центрированным в начальной точке.

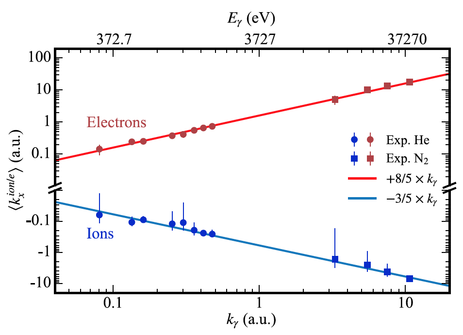
Изображение №1
На графике выше суммированы результаты исследования. Синим цветом показано измеренное среднее значение импульса иона в направлении распространения света ⟨kionx⟩ как функция энергии фотона (верхняя шкала) или импульса фотона (нижняя шкала). Точки (низкие энергии фотонов) соответствуют однократной ионизации He, а квадраты (высокие энергии фотонов) — ионизации K-оболочки N2.
Отрицательные значения соответствуют обратному излучению, то есть в противоположную сторону от направления распространения фотона. Красным цветом обозначено среднее значение импульса фотоэлектрона ⟨kex⟩, полученное за счет измеренного импульса иона с учетом сохранения импульса.
Красная и синяя линии демонстрируют прогнозируемые данные в соответствии со следующими формулами:

где Ip — потенциал ионизации; с — скорость света.
Из вышеописанных данных следует, что это является прямым практическим доказательством теории касательно обратно направленной эмиссии ионов при фотоионизации.

Изображение №2
Изображение выше демонстрирует нам распределение фотоионного импульса для фотоионизации He, где использовались фотоны с циркулярной поляризацией в 300, 600, 1125 и 1775 эВ. Горизонтальная ось — составляющая импульса, параллельная kγ, а вертикальная ось это импульс, перпендикулярный оси фотона. Красным отмечены концентрические кольца, центр которых расположен там же, где и начальная точка импульсного пространства. Радиус колец равен соответствующим фотоэлектронным импульсам ke = √ 2(Eγ — Ip).
События ионизации не накапливаются на этих кольцах, а смещаются вперед в направлении распространения фотонов. Это наиболее четко видно на внешнем кольце, соответствующем энергии фотона 1775 эВ. При этом синие кольца смещаются вперед фотонным импульсом 1775 эВ фотона.
Следовательно, измеренные распределения импульса иона непосредственно показывают, что импульс фотона в основном поглощается ионом, что является следствием сохранения импульса.
В каждом отдельном событии ионизации импульс фотона передается центру масс системы, который почти совпадает с ионом. Соответствующее импульсное распределение электрона показывает окружность того же радиуса, но не смещенную вперед.
Помимо смещения вперед кольца в импульсном пространстве ионов, распределение импульсов на этом кольце также изменяется в зависимости от энергии фотона. Это распределение больше отклоняется в обратное полушарие при увеличении Eγ.
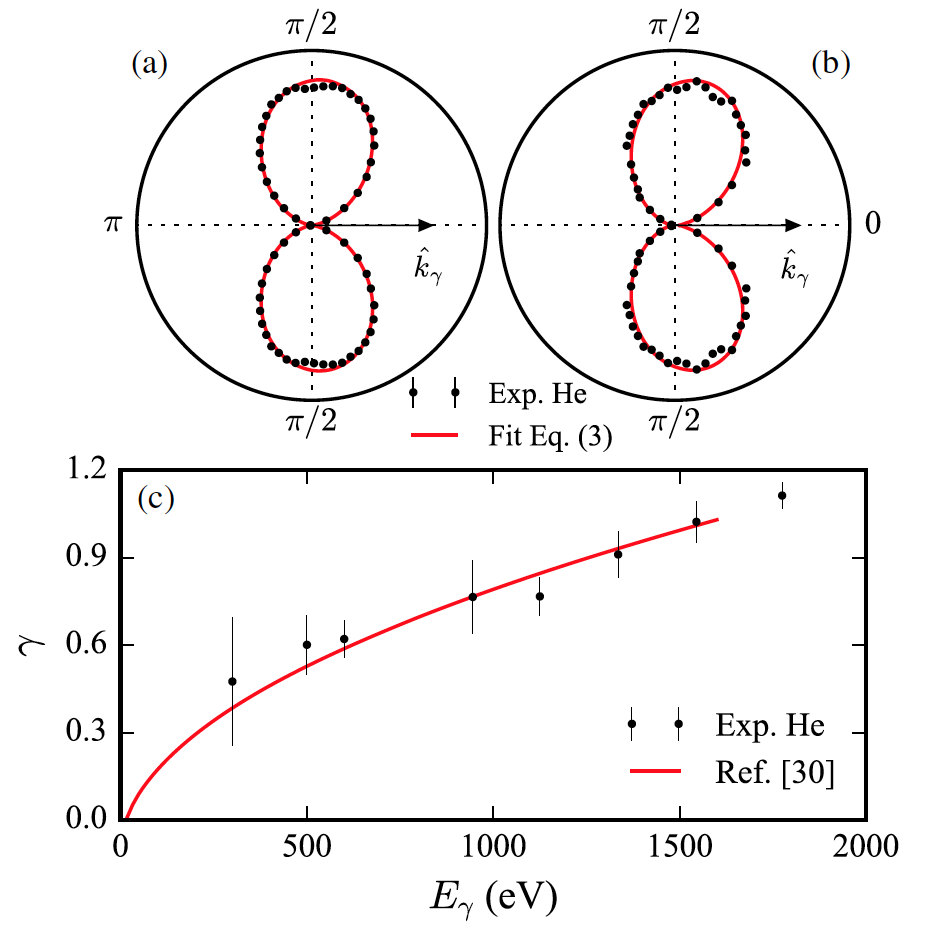
Сохранение импульса требует, чтобы конечный импульс измеряемого иона равнялся импульсу фотона за вычетом импульса фотоэлектрона. Таким образом, распределение ионов на смещенной сфере в импульсном пространстве и угловое распределение фотоэлектронов в лабораторной системе отсчета являются прямыми зеркальными отражениями друг друга (изображение №3).

Изображение №3
Они имеют приблизительную дипольную форму, поскольку начальное состояние является He(1s), и, таким образом, главная составляющая углового момента (момента импульса) в конечном состоянии представляет собой диполь. Кроме того, эта дипольная форма отклонена вперед.
По заявлению авторов исследования, в профильной литературе можно встретить много вариантов объяснения передачи импульса фотона, некоторые из которых далеки от истины. Чаще всего утверждается, что поглощенный фотон передает выбрасываемому электрону собственный импульс. Из этого утверждения следует, что этот «удар» отвечает за смещение вперед углового распределения электронов, как показано на изображении выше.
Чтобы было проще понять все нюансы, ученые предлагают вспомнить, как именно происходит передача импульса фотона при взаимодействии с электромагнитным полем. Для простоты примера была выбрана фотоионизация 1s-электрона атома водорода.
За пределами электрического дипольного приближения электромагнитная волна ионизирующей плоскости с волновым вектором |kγ| = kγ = Eγ/c (импульс фотона) «впечатывает» локальный фазовый фактор eikγ·r в элемент матрицы перехода.
Вводя координату RH для центра масс атома и координату r′ для электрона 1s по отношению к RH, абсолютная координата электрона 1s в лабораторной системе отсчета может быть переписана как r = RH + r′. Таким образом, соответствующая фаза может быть выражена следующим образом: eikγ·r = eikγ·RH eikγ·r′.
Эта фаза, представленная полем, модифицирует элемент матрицы перехода: первый фактор из уравнения выше входит в элемент матрицы перехода ⟨π|eikγ·RH |π 0⟩ между переходными состояниями атомного центра масс, которые описываются плоскими волнами (2π)−3/2 eiπ·RH с импульсом π. Эта амплитуда порождает закон сохранения импульса π = π0+kγ. Таким образом, поглощение фотона атомом привносит в его центр массы импульс kγ.
Второй фазовый фактор eikγ·r′ из уравнения отвечает за мультипольные правки за пределами электрического дипольного приближения.
Выше порога ионизации в каждом событии ионизации ион получает импульс фотона и, кроме того, отдачу от фотоэлектрона. Дополнительная передача углового момента орбиты от фотона приводит к смещению вперед углового распределения электрона. Этот направленный вперед средний импульс электрона уравновешивается обратно направленной передачей импульса иону.
По результатам исследования видно, что для s-начальных состояний обратный импульс иона масштабируется -(3/5)kγ, подтверждая теорию, описанную Зоммерфельдом.
Для более детального ознакомления с нюансами исследования рекомендую заглянуть в доклад ученых.
Эпилог
Выведение формул и формирование теорий нельзя назвать простым занятием, но поиски доказательств или опровержений этих теорий порой еще сложнее.
В данном труде ученые смогли доказать правоту теории, которая была сформулирована еще в тридцатых годах прошлого века. Авторы исследования смогли не только измерить импульс иона, но и определить его происхождение. Родителем этого импульса является так называемая «отдача» выброшенного электрона.
Если фотон имеет низкую энергию, то при теоретическом моделировании его импульсом можно пренебрегать, говорят ученые. Однако при высоких энергиях фотона подобное пренебрежение приводит к значительным неточностям. Экспериментальные данные позволили определить порог, когда импульс фотона больше нельзя не учитывать.
В дальнейшем ученые намерены продолжить начатую работу, поскольку совершенные открытия открывают двери перед более детальным рассмотрением процессов, происходящих в момент распределения энергии между двумя или более фотонами.
Благодарю за внимание, оставайтесь любопытствующими и хорошей всем рабочей недели, ребята.
Немного рекламы
Спасибо, что остаётесь с нами. Вам нравятся наши статьи? Хотите видеть больше интересных материалов? Поддержите нас, оформив заказ или порекомендовав знакомым, облачные VPS для разработчиков от $4.99, уникальный аналог entry-level серверов, который был придуман нами для Вас: Вся правда о VPS (KVM) E5-2697 v3 (6 Cores) 10GB DDR4 480GB SSD 1Gbps от $19 или как правильно делить сервер? (доступны варианты с RAID1 и RAID10, до 24 ядер и до 40GB DDR4).
Dell R730xd в 2 раза дешевле в дата-центре Equinix Tier IV в Амстердаме? Только у нас 2 х Intel TetraDeca-Core Xeon 2x E5-2697v3 2.6GHz 14C 64GB DDR4 4x960GB SSD 1Gbps 100 ТВ от $199 в Нидерландах! Dell R420 — 2x E5-2430 2.2Ghz 6C 128GB DDR3 2x960GB SSD 1Gbps 100TB — от $99! Читайте о том Как построить инфраструктуру корп. класса c применением серверов Dell R730xd Е5-2650 v4 стоимостью 9000 евро за копейки?
Автор: Dmytro_Kikot
