
Современный мир тяжело представить без беспроводных технологий. Многие устройства, будь то бытовые гаджеты или даже лабораторные приборы, используют данную технологию, что позволяет работать быстрее, эффективнее и удобнее. Для повышения качества передаваемых сигналов необходимо сделать их невосприимчивыми к потенциальным источникам помех. Группа ученых из Университета Тяньцзинь (Китай) разработали новое оптическое устройство, генерирующее два типа световых паттернов (скирмионов), которые сохраняют свою стабильность и форму даже при воздействии помех. Как именно создавалось это устройство, какие его свойства, и что оно может принести беспроводным технологиям будущего? Ответы на эти вопросы мы найдем в докладе ученых.
Основа исследования
Топологические текстуры, включая скирмионы, мероны и хопфионы, стали передовым направлением исследований благодаря своей внутренней стабильности, управляемой динамике и устойчивости к возмущениям, подчиняющимся законам сохранения, что делает их идеальными кандидатами для широкого спектра технологий хранения информации. Первоначально обнаруженные в магнетизме, эти концепции в последнее время привлекли огромное внимание в электромагнитной области, особенно в отношении распространяющихся в свободном пространстве топологических текстур, которые позволяют осуществлять динамическую передачу топологий на большие расстояния. Используя оптический спиновый угловой момент, векторные электрические поля, вектор Стокса, вектор потока энергии, вектор импульса и векторы псевдоспина, исследователи продемонстрировали богатое разнообразие топологических текстур, используя различные физические платформы, включая пространственные модуляторы света и метаповерхности, а также активно исследовали их потенциальные применения в визуализации, обработке информации и метрологии и т. д.
В частности, оптические скирмионы — топологически защищенные солитоноподобные полевые структуры — обладают замечательной стабильностью, что делает их перспективными кандидатами для надежного кодирования и обработки информации. Их особые текстуры также способствуют развитию передовых приложений в субволновой визуализации магнитных доменов и инженерии спиновых дефектов. Однако, несмотря на их значимость, предыдущие исследования в основном были сосредоточены на генерации скирмионов в эванесцентных волнах или статических векторных пучках, где пространственная протяженность и возможность настройки принципиально ограничены. Поэтому расширение генерации и управления скирмионами на свободное пространство является важным шагом на пути к изучению их более широкого потенциала применения, особенно в фотонных вычислениях и передаче информации на большие расстояния. Для полного использования их потенциала крайне важно создать платформу, которая может одновременно генерировать и динамически управлять текстурами скирмионов.
Эффективное решение предлагают тороидальные световые импульсы (TLP от toroidal light pulse) — пространственно-временные неразделимые одноцикловые электромагнитные импульсы с тороидальной топологией. В отличие от обычных поперечных волн, TLP обладают сильными продольными компонентами поля и трехмерной векторной структурой, что делает их идеальными носителями сложных топологических текстур. Их непараксиальная природа и присущая им тороидальная геометрия позволяют скирмионам распространяться в свободном пространстве в виде локализованных энергетических пакетов с сохранением топологической идентичности. Однако их экспериментальное получение и характеризация долгое время затруднялись сложной пространственно-временной структурой, сверхкороткой длительностью и топологическими ограничениями.
Недавние достижения позволили преодолеть эти проблемы с помощью метода метаповерхностей как в оптическом, так и в терагерцовом (ТГц) диапазонах. Параллельные прорывы произошли на полупроводниковых платформах, которые демонстрируют генерацию ТГц TLP посредством квантовой интерференции, вызванной специально подобранными двухцветными лазерными полями. Примечательно, что скирмионные текстуры свободного пространства также были реализованы с использованием специально разработанных осевых рупорных антенн в микроволновом диапазоне. Несмотря на эти достижения, предыдущие исследования в основном были сосредоточены на отдельных топологических структурах, таких как поперечно-магнитные (TM от transverse magnetic) или поперечно-электрические (TE от transverse electric) TLP, соответствующие электрическому скирмиону (E-скирмион) или магнитному скирмиону (H-скирмион), без рассмотрения динамического управления или переключения этих состояний в рамках интегрированной системы.

Изображение №1
В рассматриваемом нами сегодня исследовании ученые представили первую экспериментальную демонстрацию переключаемой генерации E-скирмионов и H-скирмионов по требованию в распространяющихся в свободном пространстве одноцикловых THz TLP (схема выше). Это достижение стало возможным благодаря специально разработанной пространственно мультиплексированной нелинейной метаповерхности, которая избирательно возбуждается азимутально или радиально структурированными пучками накачки ближнего инфракрасного (NIR от near-infrared) диапазона, что обеспечивает переключение в реальном времени между топологиями TM и TE TLP. С помощью пространственно-временной характеризации была выявлена зависимая от распространения эволюция E-скирмионов и H-скирмионов в свободном пространстве, включая их детерминированную функцию изменения полярности. Кроме того, векторные накачки также перспективны благодаря своему выдающемуся свойству сохранять поляризационные и интенсивные структуры при распространении, что делает весь процесс передачи информации из оптического в ТГц стабильным к внешним воздействиям. Этот прорыв закладывает основу для беспроводных систем связи с топологическим кодированием и интегрированных платформ как для квантовых, так и для классических информационных приложений.
Результаты исследования
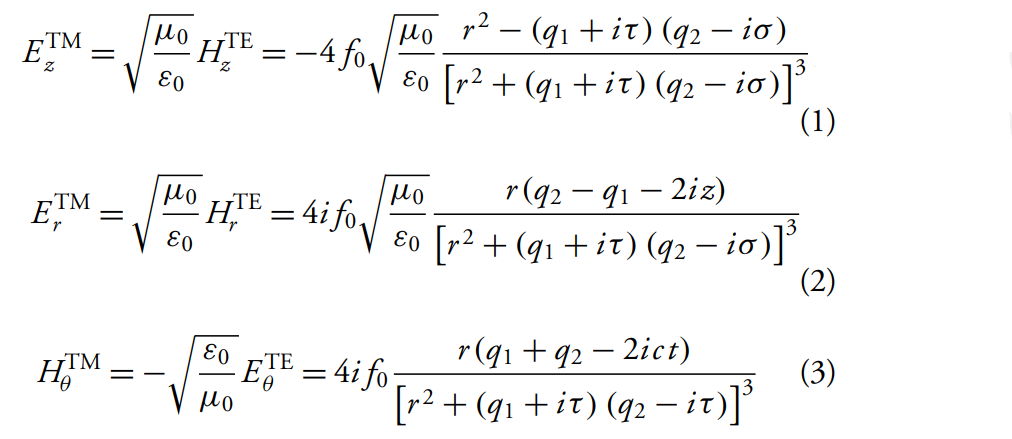
TLP также являются решениями уравнений Максвелла в свободном пространстве, которые демонстрируют пространственно-временную неразделимость и уникальную конфигурацию электрических и магнитных полей. Эти импульсы характеризуются непоперечными электромагнитными компонентами, которые тесно связаны с их пространственно-временной структурой, а также одноцикловой природой. TLP могут существовать как в ТМ, так и в ТЕ-режиме, причем каждый режим демонстрирует различные характеристики поля. Электрические и магнитные поля TM и TE-TLP описываются следующим образом:

где σ = z + ct, τ = z − ct, (r, z) представляет собой цилиндрическую координату, μ0 и ϵ0 представляют собой магнитную проницаемость и диэлектрическую проницаемость вакуума, t — время, f0 — константа нормировки, q1 и q2 обозначают эффективную длину волны и диапазон Рэлея соответственно.
На изображении №1 наглядно показано пространственное распределение этих полей в конфигурациях TM и TE, причем желтые и синие области представляют магнитное и электрическое поля соответственно. В режиме TM магнитное поле имеет азимутальную поляризацию, в то время как электрическое поле преимущественно радиальное и продольное. В отличие от этого, режим TE характеризуется азимутально поляризованным электрическим полем, причем магнитное поле ориентировано в основном в радиальном и продольном направлениях. Здесь переключение режимов осуществляется простым управлением поляризацией падающего пучка накачки. Первоначально y-поляризованный пучок накачки (y-pump) преобразуется в азимутально поляризованный пучок накачки (A-pump) с помощью вихревого полуволнового замедлителя (VHR от vortex half-wave retarder). Когда этот пучок возбуждает нелинейную метаповерхность, он испускает TM-поляризованный TLP, несущий распространяющийся E-скирмион. Вращая полуволновую пластину (HWP от half-wave plate), направление падения переключается на x-поляризованный пучок накачки (x-pump), который затем преобразуется в радиально поляризованный пучок накачки (R-pump) с помощью того же VHR. Этот пучок заставляет нелинейную метаповерхность испускать TE-поляризованный TLP, несущий распространяющийся H-скирмион.

Изображение №2
Для генерации TLP были использованы нелинейные метаповерхности, построенные из золотых щелевых кольцевых резонаторов (SRR от split-ring resonator), которые обеспечивают гибкий механизм управления пространственно-временными поляризационными свойствами генерируемых ТГц TLP. На 2a показана элементарная ячейка нелинейной метаповерхности, включающая SRR, сформированный на слое ITO (оксид индия-олова) толщиной 8 нм, нанесенном на подложку из плавленого кварца. Геометрические параметры структуры составляют lx = 220 нм, ly = 212 нм, l = 110 нм, w = 79 нм, tgold = 40 нм, tITO = 8 нм, tglass = 0.7 мм и P = 420 нм соответственно.
Эти значения были унаследованы от предыдущей конструкции ученых, но с увеличенным периодом решетки. Это делается для подавления ближнеполевой связи между соседними SRR и, таким образом, минимизации потенциальных перекрестных помех между различными каналами генерации в последующей конструкции. Пленка ITO здесь используется для усиления генерации ТГц, одновременно облегчая уменьшение локальных зарядов во время электронно-лучевой литографии. Смоделированные спектры пропускания, зависящие от поляризации, показаны на 2b. При освещении x-поляризованным светом структура демонстрирует резонанс магнитного диполя с центром на длине волны 1350 нм. Когда луч накачки освещает SRR, он действует как нелинейный источник, излучающий ТГц-волны. В частности, как показано в механизме генерации на 2c, когда освещается x-накачка, электрическое поле приводит к перемещению заряда вдоль плеч и основания SRR, генерируя петлевой линейный ток (красный), который формирует отклик магнитного диполя. Это, в свою очередь, приводит к тому, что нелинейные токи (синие) текут в одном направлении вдоль обоих плеч, поскольку они параллельны или антипараллельны увеличению или уменьшению движения заряда, что приводит к синфазному излучению с y-поляризацией в дальнем поле. В отличие от этого, когда включается y-накачка, электрическое поле симметрично приводит к движению заряда только в двух плечах. В этом случае нелинейные токи текут в противоположных направлениях вдоль каждого плеча, вызывая нулевое излучение в дальнем поле за счет деструктивной интерференции.
Используя описанные выше характеристики поляризационно-селективной генерации ТГц-излучения в SRR, можно добиться точного контроля над потоком заряда путем размещения элементарных ячеек в заданных пространственных конфигурациях. Эта возможность закладывает основу для активного управления векторными токами в нанометровых пространственных масштабах и фемтосекундных временных масштабах, обеспечивая гибкий метод для настройки излучаемого ТГц-поля. На 2d и 2e показаны варианты расположения SRR для генерации TM и TE TLP соответственно. Для генерации TM TLP SRR расположены концентрически с радиально выровненными плечами (паттерн 1). NIR луч А-накачки индуцирует нелинейные токи вдоль радиальных плеч SRR, излучая TM TLP с радиально распределенным ТГц-электрическим полем.
Для генерации TE TLP плечи SRR расположены азимутально (паттерн 2). NIR луч с R-накачкой индуцирует нелинейные токи в азимутальном направлении, что приводит к возникновению TE TLP с азимутально распределенным электрическим полем ТГц-диапазона. Для реализации переключаемого излучения TM и TE ТГц TLP в одном устройстве используется пространственное мультиплексирование для интеграции паттернов 1 и 2 (2f). Для проверки конструкции был изготовлен образец размером 1 × 1 мм. Изображение центральной области, полученное с помощью сканирующего электронного микроскопа (SEM от scanning electron microscope), показано на 2g, где радиальное и угловое расположение SRR можно непосредственно различить по светло-голубым и светло-красным (ложные цвета) областям соответственно.

Изображение №3
Чтобы проверить, соответствуют ли динамические характеристики распространения излучаемых ТГц пучков желаемым пространственно-временным формам, ученые создали систему ТГц спектроскопии во временной области для измерения пространственно-временного распределения генерируемого в свободном пространстве ТГц поля от изготовленного образца. На 3a показана схема пространственно-временной эволюции поперечного TLP второго типа, распространяющегося вдоль направления +z, которая соответствует исследуемому случаю. Видно, что такой TLP имеет 1.5 цикла в фокусной точке (z = 0 мм), в то время как 1 цикл при z = ±q2/2. Помимо количества циклов, наблюдаются отчетливые фокусирующие и расходящиеся волновые фронты при z < 0 мм и z > 0 мм соответственно. Это изменение формы распределения поля объясняется зависящим от распространения фазовым членом Гуи.
В качестве первого шага были измерены пространственно-временные и пространственно-спектральные распределения электрического поля излучаемого ТГц-импульса. На 3b–3f показаны измеренные трехмерные пространственно-временные распределения амплитуды |E| поперечных электрических полей TM TLP в пяти различных положениях по оси z от z = −2 до z = 2 мм с интервалом 1 мм при А-накачке. Очевидно, что все поперечные электрические поля ТГц-излучения демонстрируют характерные полые распределения. При z = 0 мм измеренный импульс имеет 1.5 циклов с симметричным во времени распределением и почти плоским волновым фронтом (3d). При z = +1 мм (−1 мм) импульс по-прежнему имеет 1.5 цикла, но его временной профиль становится асимметричным и демонстрирует расходящийся (фокусирующий) волновой фронт (3e или 3c). При z = +2 мм (−2 мм) импульс почти сводится к одному циклу, который демонстрирует большую временную асимметрию и более выраженный расходящийся (фокусирующий) волновой фронт (3f или 3b). Кроме того, общий пространственный размер импульса явно достигает минимума при z = 0 мм, что указывает на фокальную плоскость.
Для более наглядной визуализации пространственно-временного распределения различных компонент электрического поля, было получено поперечное распределение поля в плоскости y = 0. Рассчитанные и измеренные нормированные двумерные пространственно-временные распределения поперечного электрического поля (Ex) импульса в плоскости y = 0 мм показаны на 3g и 3h соответственно. Видно, что поле Ex демонстрирует явное противофазное поведение между областями x > 0 мм и x < 0 мм, в то время как длительность импульса соответствует 1.5 циклам. Следует отметить, что результаты расчетов получены из решений уравнений Максвелла для TM TLP, где q1 установлено равным 70 мкм и q2 равным 60 q1.
Видно, что измеренное поле Ex хорошо согласуется с теоретическим предсказанием. Кроме того, распределения Ex и Ey для TM TLP в плоскостях x = 0 и y = 0 также согласуются с теорией. Для дальнейшей проверки пространственно-временной неразделимости было извлечено среднее распределение интенсивности на разных радиусах и частотах из преобразования Фурье результата, показанного на 3d. Этот процесс дает двумерное распределение интенсивности ТГц-излучения, как показано на 3j. Соответствующее расчетное распределение, полученное с использованием оптимально подобранных параметров q1 и q2, показано на 3i. На вставках синие линии и полые синие точки представляют положения максимумов интенсивности расчетных и измеренных ТГц-импульсов на каждой частоте соответственно, которые находятся в тесном соответствии.
Для количественной оценки сходства между сгенерированным импульсом и идеально рассчитанным TLP был использован метод, основанный на томографии состояния, недавно предложенный для характеристики пространственно-спектральной неразделимости в электромагнитных волнах. Для идеального TLP матрица томографии идеально диагональна, что указывает на идеальное перекрытие и неразделимость пространственных и спектральных состояний, что приводит к точности F = 1.00 (3k). Для измеренного ТГц-импульса матрица томографии почти диагональна, что дает высокую точность F = 0.86 (3l). Все вышеперечисленные результаты хорошо показывают, что сгенерированный ТГц-импульс воспроизводит основные характеристики идеального ТГц-TLP, демонстрируя эффективность исследуемого нелинейного метода управления током с использованием нелинейной метаповерхности при генерации реального ТГц-TLP.
Далее были дополнительно измерены соответствующие результаты образца при R-накачке на z = 0 мм и сравнение их с расчетами, выполненными с использованием оптимально подобранных параметров TE TLP, где q1 установлено равным 65 мкм, а q2 — 60q1 (3m−3r). Четко видно, что они также хорошо согласуются друг с другом. Точность пространственно-спектральной неразделимости измеренного ТГц-импульса составляет F = 0.99. Все наблюдаемые особенности как в пространственно-временном, так и в пространственно-спектральном распределении также согласуются с пространственно-временной неразделимостью TE TLP. Примечательно, что нарушения в пространственно-спектральном распределении вблизи 1.2 ТГц объясняются поглощением водяного пара. Это ограничение можно уменьшить, используя камеру сушки. В целом, это устройство наглядно демонстрирует потенциал для генерации высококачественных переключаемых TM- и TE-терагерцовых TLP-лазеров путем простого изменения векторных характеристик накачки.

Изображение №4
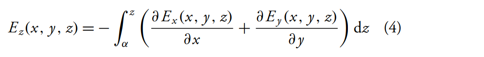
E-скирмионы и H-скирмионы являются сопутствующими продуктами TM и TE TLP, которые гарантируют стабильность распространения TLP. Их переключаемость естественным образом следует за переключаемостью мод TLP. Для экспериментального наблюдения их свойств распространения в пространстве-времени необходимо получить пространственно-временные распределения как компонент электрического поля (Ex, Ey, Ez), так и компонент магнитного поля (Hx, Hy, Hz). Такие всесторонние измерения позволяют реконструировать полное пространственно-временное векторное поле, что имеет решающее значение для визуализации и анализа скирмионных текстур. Для характеристики E-скирмиона в TMTLP были извлечены измеренные пространственно-временные распределения Ex и Ey при z = 0. Компонент Ez затем можно получить с помощью преобразования, основанного на законе Гаусса:

где выбирается точка, в которой поле равно нулю.
На 4a показано рассчитанное распространение компоненты Ez во времени в плоскости y = 0, где Ez переходит от отрицательных значений к положительным. Дальнейший анализ распределения электрического поля различных поляризованных компонент в плоскости x − y в две разные точки времени (t1 и t2) показан на рисунках 4d и 4e. Наблюдается, что компоненты Ex и Ey в момент времени t2 почти полностью повторяют характеристики компонентов в момент времени t1, в то время как распределение компоненты Ez претерпевает изменение. Идеальные распределения электрического поля, рассчитанные с использованием уравнений 1 и 2, показаны на вставках и демонстрируют хорошее соответствие экспериментальным результатам.
Анализируя компоненты Ex, Ey и Ez, можно восстановить трехмерную векторную конфигурацию электрического поля скирмиона (4b и 4c). Скирмионные текстуры в моменты времени t1 и t2 эволюционируют в процессе распространения, сохраняя при этом спиральность типа Нееля в разных поперечных плоскостях. В момент времени t1 электрический вектор скирмиона направлен вниз в центре и постепенно вверх на периферии, тогда как в момент времени t2 соответствующие направления меняются на противоположные.
Топологические характеристики скирмионной конфигурации можно количественно оценить с помощью скирмионного числа Nsk, которое измеряет сходство с идеальным скирмионом и служит индикатором качества пучка. Как глобальный топологический инвариант, скирмионное число зависит от того, как все единичное векторное поле обвивается вокруг ориентационной сферы. Хотя наблюдаются небольшие отклонения в локальных направлениях поля по сравнению с идеальными, они в основном возникают из-за конечной пространственной дискретизации и ограниченного отношения сигнал-шум измерительной системы. Однако они не влияют на общий способ обвивания векторного поля. Вычисленные здесь скирмионные числа достигают −0.990 при t1 и 0.992 при t2. Оба значения близки к 1, удовлетворяя условию почти целого скирмионного числа. Этот результат подтверждает наличие четко определенных скирмионных текстур в сгенерированном TM TLP.
При переключении на TE TLP нелинейная метаповерхность излучает азимутальное электрическое поле (Eθ), тогда как магнитное поле включает как радиальную, так и продольную компоненты (Hr и Hz), образуя тем самым магнитный скирмион. Для подтверждения экспериментально наблюдаемого H-скирмиона необходимо получить распределения компонент магнитного поля Hx, Hy и Hz. Эти компоненты можно рассчитать из измеренного электрического поля, используя закон Фарадея в свободном пространстве. Рассчитанное поле Hz, распространяющееся во времени с использованием измеренных двумерных пространственно-временных распределений Ex и Ey от TE TLP, показано на 4f.
Компонента Hz также меняет свое направление со временем. В моменты времени t3 и t4 рассчитанные распределения Hx, Hy и Hz в плоскости x − y представлены на 4i и 4j. Аналогично E-скирмиону, Hx и Hy практически одинаковы, в то время как направление Hz меняется со временем. Вставка в правом нижнем углу на 4i и 4j показывает идеальное распределение компонент магнитного поля (Hx, Hy, Hz), рассчитанное по уравнениям 1 и 2, где наблюдается отличное соответствие с измеренными результатами.
Из этих компонент магнитного поля восстанавливается текстура H-скирмиона, как показано на 4g и 4h. В момент времени t3 Hz меняет свое направление, переходя от направления вниз в центре к направлению вверх от центра. В момент времени t4 магнитный вектор меняет направление с направления вверх в центре на направление вниз от центра. Поскольку Hx и Hy остаются неизменными, H-скирмион сохраняет свою конфигурацию типа Нееля. Вычисленные числа скирмионов составляют −0.991 при t3 и 0.994 при t4, что также близко к 1, подтверждая наличие хороших H-скирмионных текстур в сгенерированном TE TLP. Все вышеперечисленные результаты очень хорошо подтверждают эффективность исследуемого метода в генерации переключаемых E-скирмионов и H-скирмионов.
Для более детального ознакомления с нюансами исследования рекомендую заглянуть в доклад ученых и дополнительные материалы к нему.
Эпилог
В рассмотренном нами сегодня труде ученые создали и описали новое оптическое устройство, способное генерировать две различные вихреобразные формы света: электрическую и магнитную. Эти структурированные световые паттерны, известные как скирмионы, исключительно стабильны и остаются неизменными даже при воздействии помех. Эта устойчивость делает их привлекательными кандидатами для кодирования информации в будущих беспроводных системах связи.
Как отмечают ученые, устройство не только генерирует более одного вихревого паттерна в распространяющихся в свободном пространстве терагерцовых импульсах, но также может использоваться для переключения по требованию между двумя режимами с помощью той же интегрированной платформы. Такая управляемость необходима для реальных приложений, где надежный выбор и воспроизведение желаемого состояния имеют решающее значение для практического кодирования информации.
Ученые использовали нелинейную метаповерхность для первой экспериментальной демонстрации скирмионов, которые могут активно переключаться между электрической и магнитной конфигурациями внутри тороидальных терагерцовых световых импульсов. Метаповерхности — это чрезвычайно тонкие материалы, сформированные на наномасштабе, что позволяет им манипулировать светом способами, недоступными для обычных оптических компонентов.
Тороидальный вихрь света, образующий кольцо, в котором электромагнитное поле изгибается само на себя, принимая стабильную форму кольца, является крайне привлекательной структурой. Эти вихри предлагают дополнительные способы кодирования информации, но большинство существующих систем могут создавать только один тип паттерна и обычно не обладают возможностью переключения между режимами.
Для решения этой проблемы ученые разработали интегрированное устройство, способное переключаться между электрическими и магнитными тороидальными вихревыми паттернами в терагерцовых импульсах в свободном пространстве. Подход основан на специально разработанной нелинейной метаповерхности, изготовленной из точно расположенных металлических наноструктур. Когда на метаповерхность попадают фемтосекундные лазерные импульсы ближнего инфракрасного диапазона с различными поляризационными паттернами, устройство генерирует различные терагерцовые тороидальные импульсы. В зависимости от поляризации, образующийся вихрь несёт либо электрическую, либо магнитную скирмионную текстуру. Другими словами, один световой паттерн активирует электрическую моду, а другой — магнитную.
Результаты исследования уже весьма впечатляющие, но предстоит еще немало работы. В дальнейшем команда планирует усовершенствовать технологию для приложений, ориентированных на связь. Будущая работа будет сосредоточена на улучшении долговременной стабильности, повторяемости и эффективности, а также на уменьшении размеров и повышении надежности системы. Они также стремятся расширить подход за пределы двух режимов, добавив дополнительные управляемые состояния, что позволит осуществлять более сложное и гибкое кодирование информации.
Немного рекламы
Спасибо, что остаетесь с нами. Вам нравятся наши статьи? Хотите видеть больше интересных материалов? Поддержите нас, оформив заказ или порекомендовав знакомым, облачные VPS для разработчиков от $4.99, уникальный аналог entry-level серверов, который был придуман нами для Вас: Вся правда о VPS (KVM) E5-2697 v3 (6 Cores) 10GB DDR4 480GB SSD 1Gbps от $19 или как правильно делить сервер? (доступны варианты с RAID1 и RAID10, до 24 ядер и до 40GB DDR4).
Dell R730xd в 2 раза дешевле в дата-центре Maincubes Tier IV в Амстердаме? Только у нас 2 х Intel TetraDeca-Core Xeon 2x E5-2697v3 2.6GHz 14C 64GB DDR4 4x960GB SSD 1Gbps 100 ТВ от $199 в Нидерландах! Dell R420 - 2x E5-2430 2.2Ghz 6C 128GB DDR3 2x960GB SSD 1Gbps 100TB - от $99! Читайте о том Как построить инфраструктуру корп. класса c применением серверов Dell R730xd Е5-2650 v4 стоимостью 9000 евро за копейки?
Автор: Dmytro_Kikot
