
Прототип атомных часов CSIC образца 2004 года, источник. К сожалению, реальное устройство с управляющей электроникой оказалось гораздо массивнее
В своё время атомные часы сделали возможным создание спутниковых систем навигации вроде GPS, которые опираются на сверхточные синхронизированные часы.
Но сейчас перед человечеством стоит скорее обратная задача: мы хотим обеспечить точную навигацию по местности без GPS, и для этого нужны ещё более точные атомные часы, чем для работы GPS. Зная скорость и направление движения любого объекта, часы нового поколения обеспечат позиционирование с точностью до метра/сантиметра (в зависимости от их точности, а также точности других датчиков). В общем, главная задача теперь — решить проблему зависимости от спутниковой навигации, которая не всегда доступна.
▍ Как работают атомные часы
Первые атомные часы были созданы в 1949 году в Национальном бюро стандартов США, ныне Национальном институте стандартов и технологий (NIST). Это был абсолютно новый принцип измерения времени. Анахроничные механизмы прошлого измеряли астрономические явления, вращение Земли, использовали механические пружинки, шестерёнки и маятники. В отличие от них, атомные часы измеряют время по электромагнитным сигналам, излучаемым электронами вокруг атома. Когда электрон меняет энергетический уровень, он поглощает или излучает свет с частотой, одинаковой для всех атомов данного элемента.
Например, при переходе между двумя сверхтонкими уровнями цезия-133 возникает ровно 9 192 631 770 периодов электромагнитного излучения (колебаний частоты). Именно такое значение сейчас принято в системе СИ как определение «секунды».
Оптические атомные часы определяют время с помощью лазера, который настраивается на эту частоту и регистрирует колебания частоты при энергетических переходах. Это делает их невероятно точными по сравнению с предшественниками. Сейчас оптические часы — это перспективная и активная область исследований. Любопытно, что их изобретателем считается известный советский физик Владлен Летохов, который предложил идею в 1960-е.
Точность часов во многом обусловлена качеством лазера. Именно поэтому большие, громоздкие научные установки обеспечивают гораздо лучшую точность, чем портативные часы с коммерчески доступными лазерами массового производства.
Атомные часы также чрезвычайно полезны в космосе. Примером такого эксперимента являются атомные часы NASA Deep Space Atomic Clock, которые в 2019−2021 годах тестировали технологию на орбите. В будущем эти устройства могут найти применение в поиске тёмной материи, определении гравитационных аномалий, навигации и т. д.

Deep Space Atomic Clock, художественный рендер, источник: НАСА
Поскольку время является неотъемлемым свойством пространства, то максимально точные и надёжные атомные часы — это практически обязательный инструмент в космосе. Только он может обеспечить независимую автономную навигацию в дальнем космосе.

Установка атомных часов Deep Space Atomic Clock на спутник, НАСА
Очевидно, что изучение дальнего космоса человечеством возможно только с помощью автономных роботизированных систем. Нет смысла посылать людей в миссию продолжительностью тысячи или миллионы лет, потому что это на порядок осложняет конструкцию корабля.
Из этого следует, что контакты с кораблями инопланетных цивилизаций с большой вероятностью начнутся с контактов с роботизированными зондами-разведчиками.
▍ Новый конкурс на самые маленькие атомные часы
В прошлом году DARPA объявила конкурс на создание более точных атомных часов меньшего размера, и в него тут же включились коллективы физиков и инженеров из разных университетов и научных лабораторий.
Программа DARPA H6 предусматривает создание «сверхмалых, энергоэффективных, пригодных для эксплуатации часов, способных сохранять микросекундную точность в течение одной недели в рабочем диапазоне от −40 до +85 °C без GPS-синхронизации». На самом деле такая точность давно достижима в лабораторных машинах большого размера. Они не выходят из интервала 0,000001 с в течение десятков тысяч лет.
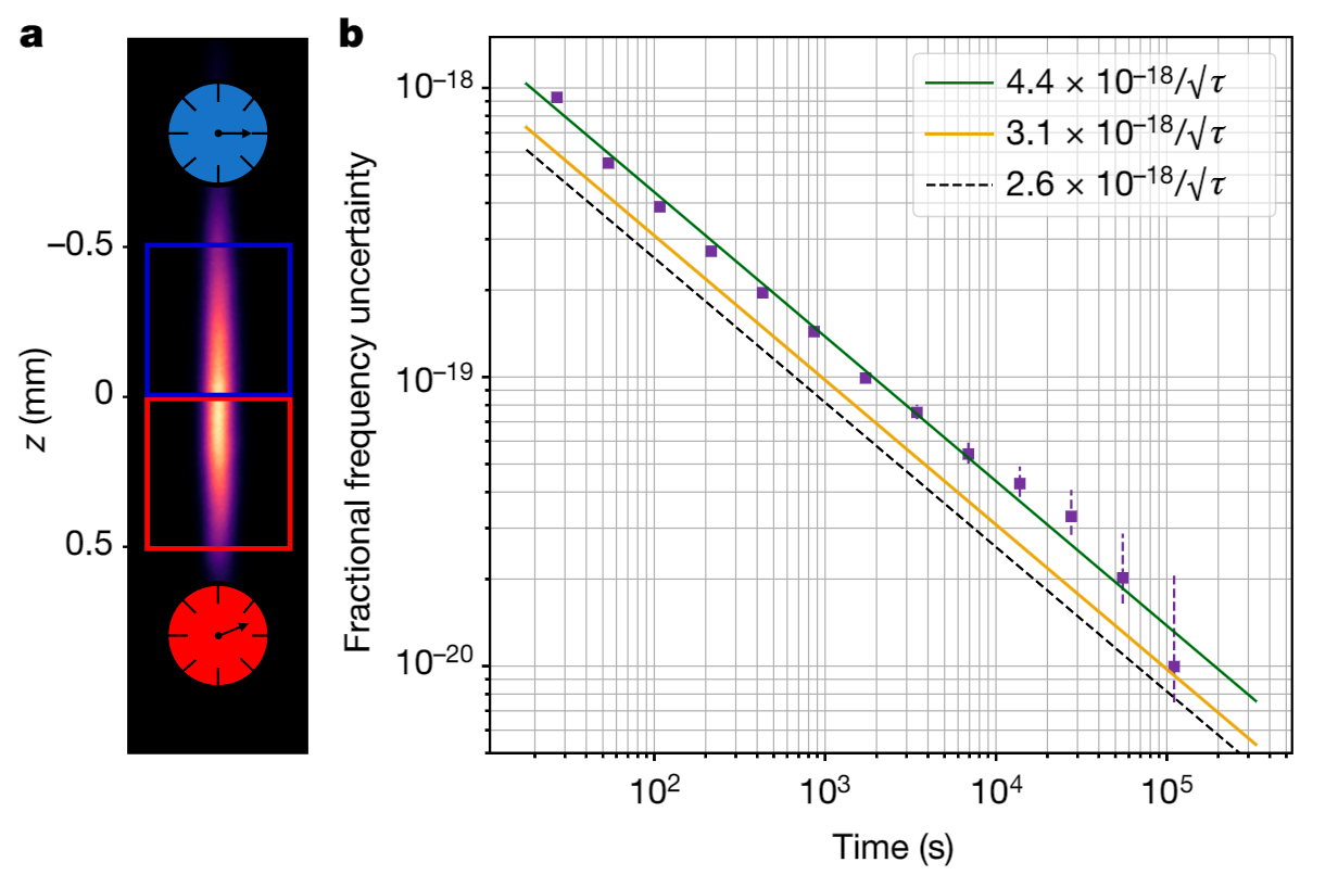
В прошлом году физики из Висконсинского университета в Мадисоне разработали сверхточные часы, которые теряют одну секунду каждые 300 млрд лет (в переводе на более стандартные величины). Это также первые в мире «мультиплексные» часы, совмещающие в себе шесть различных импульсных генераторов, что позволяет сравнивать их значения и замечать аномалии.
См. также новую научную статью этих авторов «Лабораторная проверка гравитационного красного смещения в миниатюрной сети часов» (12 августа 2023 г, Nature).

Гравитационное красное смещение в миниатюрной сети часов на оптической решётке, источник: Nature
По понятным причинам (качество лазера и др.) портативные устройства сильно уступают в точности лабораторному оборудованию, там таких показателей пока ни у кого нет.
В прежние века точный хронометр был важен для определения долготы в навигации, а сегодня серьёзной проблемой в PNT (позиционирование, навигация и синхронизация) является потеря сигнала GPS. Благодаря миниатюрным и экстремально точным атомным часам появляется возможность в некоторых PNT-приложениях отказаться от GPS на срок в несколько дней или недель.
Конкурс DARPA состоит из трёх этапов. На первом участники будут решать проблемы зависимости тактовой частоты от температуры и снижения SwaP (размер-вес-энергопотребление). На втором — проблемы надёжности часов, а также их работы в указанном диапазоне температур. На третьем участники продемонстрируют полностью интегрированные часы тактического класса, изготовят и поставят пять экземпляров таких часов.
▍ Прототип Sandia
В рамках первого этапа группа исследователей из Sandia National Laboratories анонсировала создание прототипа размером 10×2×2 мм, то есть всего 0,04 см³.

Игольчатые зонды подают ток силой 2 мА на зелёный лазерный диод из нитрида индия-галлия (InGaN), который Sandia разрабатывает для квантовых датчиков нового поколения. Под таким током диод выдаёт почти 1 мВт монохроматичного излучения с длиной волны 894 нм
Нитрид индия-галлия (InGaN) представляет собой полупроводниковый материал, состоящий из смеси нитрида галлия (GaN) и нитрида индия (InN). Его ширину запрещённой зоны можно регулировать, изменяя количество индия в сплаве. Отношение In/Ga обычно от 0,02/0,98 до 0,3/0,7.
InGaN используется как светоизлучающий слой в современных синих и зелёных светодиодах.
Новый лазерный атомный осциллятор Sandia генерирует устойчивый тактовый импульс в результате излучения лазера через облако атомов цезия.
При этом очень важно, что он хорошо работает в автономном режиме, а для управления периодическими импульсами генератора не требуется внешнее электронное оборудование. Дело в том, что в существующих устройствах вспомогательная аппаратура занимает большую часть места. Например, в портативных часах CSAC (см. ниже) физическая генерация импульсов происходит на площади в объёме миллиметров (на КДПВ). Всё остальное — управляющая электроника.

Испытания прототипа часов в лаборатории Sandia Microsystems Engineering, Science and Applications, источник
Первоначальное финансирование по программе DARPA рассчитано на два года с возможностью дополнительного финансирования по достижении контрольных показателей по размерам и производительности.
У Sandia давний опыт разработки атомных часов. В начале 2000-х они участвовали в создании Chip Scale Atomic Clock (CSAC) размером около 17 см³, что можно сравнить с коробком спичек стандартного размера (15 см³). На тот момент CSAC стали самыми маленькими атомными часами в мире, и они до сих пор остаются самыми маленькими часами в открытом доступе (которые можно купить на рынке примерно за $2537−8061, в зависимости от объёма партии и модели чипа, но отправлять такое в РФ запрещено, даже доступ на сайт может быть закрыт для российских IP-адресов).

Модель CSAC-SA45S с объёмом корпуса 17 см³ и весом 35 г
Так что с миниатюрными атомными часами история в каком-то смысле повторяется: новый конкурс от DARPA — и Sandia снова здесь.
По условиям DARPA, новые портативные атомные часы должны быть меньшего размера, чем показанные на фотографии, потреблять меньше энергии и быть примерно в 30 раз точнее. Плюс есть повышенные требования к диапазону температур и вибропрочности.
P. S. Пара точнейших атомных часов, разнесённых по высоте на несколько миллиметров друг от друга, показывает разный результат, поскольку пространство-время деформируется в гравитационном поле, как и предсказал Эйнштейн. В частности, на расстоянии 1 мм между верхом и низом оптической решётки из 100 000 атомов стронция в определённой структуре за 92 ч фиксируется расхождение во времени 0,0000000000000000001 с из-за гравитационной разницы.

Гравитационное красное смещение и разница показаний синхронных часов на расстоянии 1 мм, источник: Nature
Аналогичные результаты получили коллеги из Висконсинского университета в Мадисоне в вышеупомянутой научной статье от августа 2023 г. На иллюстрации демонстрируется разница во времени в зависимости от высоты (z). Конкретно в этом эксперименте по показаниям часов учёные определили вертикальное расстояние между ними (в двойных стрелках). Все величины в сантиметрах, для самых нижних (пятых) часов принята нулевая высота:

P. P. S. Пока учёные исследуют свойства новых материалов для миниатюризации, энтузиасты уже сделали первые в мире наручные атомные часы.

P. P. P. S. Если вы видели где-то в продаже наручные «атомные часы», то это наверняка подделка, поскольку квантовых сенсоров такого размера пока не существует. Скорее всего, это обычные кварцевые часы на 60 Гц, которые просто периодически синхронизируются с источником сигнала. А уже он получает данные с настоящих атомных часов.

Показания 450 атомных часов из 80 стран усредняются для вычисления «скоординированного универсального времени» (Coordinated Universal Time, UTC), источник
Настоящие же наручные атомные часы появятся в продаже, вероятно, через несколько лет после окончания конкурса DARPA. По крайней мере, если сенсоры Sandia размером 10×2×2 мм пойдут в тираж и будут интегрированы в мобильное устройство с низким энергопотреблением, то можно рассчитывать на изготовление наручных часов потребительского класса ценой примерно в несколько тысяч долларов.
Автор: Анатолий Ализар
