
Многие технологии сильно изменились с момента своего изобретения. Их совершенствование подпитывалось различными исследованиями и открытиями, каждое из которых находило новые способы реализации, будь то материалы, модели системы или новые алгоритмы. Визуально одним из самых ярких примеров являются вычислительные устройства. Когда-то они занимали целые комнаты и весили по несколько тонн, а сейчас у каждого из нас есть мобильный телефон, чья мощность в разы превышает те габаритные компьютеры. Но процесс минимизации устройств и их составляющих далек от завершения, ибо пока есть куда уменьшать, ученые будут изобретать новые способы чтобы этого достичь. Сегодня мы поговорим об исследовании, которое как раз может сильно повлиять на процесс минимизации, а точнее об опытном подтверждении теории одномерных электронов, которой уже без малого 56 лет. Поехали.
Предыстория исследования
В далеком 1950 году японский физик Синъитиро Томонага предложил новую на тот момент теоретическую модель, которая описывает взаимодействие электронов в одномерном проводнике. Далее, в 1963 году Хоакин Латтинжер внес некие правки в теорию. Дело в том, что в теории при определенных ограничениях взаимодействие второго порядка между электронами можно описать как бозонные взаимодействия. Латтинжер же переиначил теорию, учитывая Блоховские волны. Это показало, что ограничения, внедренные Томонага, не нужны для реализации модели.

Синъитиро Томонага (1953 год)
По своей сути данная модель является описанием поведения электронов с помощью двух квазичастиц. Они отличаются друг от друга тем, что у первой нулевой спин и заряд, как у электрона, а у второй — заряд 0, зато спин равен 1. При этом квазичастицы двигаются с разной скоростью. Также в теории утверждается, что воздействие на один лишь заряд или спин электрона может вызвать реакцию всех электронов.
Проверить данную теорию опытным путем крайне сложно, ибо ученым пока не удалось полностью взять под контроль взаимодействие электронов. Однако в данном исследовании они нашли выход из затруднительного положения, применив холодные атомы.
Более чем доходчиво суть холодных атомов раскрывает Алексей Акимов в ролике выше.
В данном исследовании была создана модель Ферми-газа из фирмионного 6Li, поскольку его отталкивающие s-волновые взаимодействия легко поддаются манипуляциям. Дабы изменить необходимый параметр — динамический структурный фактор S(q, ω) колебаний плотности («заряда») — была использована спектроскопия Брэгга.
Исследователи не отрицают, что подобный метод измерений уже применялся ранее, однако их метод имеет ряд важных особенностей. Во-первых, атомы были «пойманы» в оптическую ловушку, состоящую из трех взаимно ортогональных инфракрасных лазерных лучей, каждый из которых прошел через ретрорефлектор*, при этом поляризация каждого отраженного луча была повернута на 90° дабы образовать ловушку без решетки.
Ретрорефлектор* — устройство отражения луча обратно к его источнику с минимальным рассеиванием.
Пример ретрорефлектора
После этого было измерено число атомов — 1.4х105, а также их температура — 0.05 TF. В данном конкретном случае TF это температура Ферми каждого спинового состояния при учете, что нет никаких взаимодействий.
Далее глубина ловушки была увеличена, а поляризация отраженных лучей повернута таким образом, чтобы сформировать трехмерную решетку с глубиной VL = 7 Er, где
Er = h2/ (2mλ2) — энергия отдачи;
h — постоянная Планка*;
m — атомная масса
λ = 1,064 нм — длина волны света.
Дабы достичь желаемой глубины решетки (2.5 Er), производилась коррекция длины рассеяния. Для компенсации ограничивающей оболочки инфракрасных лучей был дополнительно применен вдоль каждой оси неотраженный луч 532 нм, который подвергся синей расстройке*.
Лазерная расстройка* — настройка луча на частоту, отличную от резонанса квантовой системы. Настройка лазера на частоту выше резонанса называется синей (blue-detuning).
Впоследствии, компенсирующий луч был постепенно отключен, как и вертикальный инфракрасный луч. Параллельно этому увеличивалась интенсивность двух оставшихся для формирования уже двумерной решетки (15 Еr). За счет этого двумерная решетка создала связку практически изолированных одномерных трубок. Их можно описать с помощью двух параметров: осевое гармоническое колебание — ωz = (2π)1.3 кГц и радиальное гармоническое колебание — ω⊥= (2π)198 кГц.
Проведение данных манипуляций привело к уменьшению общего числа атомов в проводимом опыте до N = 1.1х105.
В спектроскопии Брэгга задействовано два лазерных луча с векторами k1 и k2, а также разностью частот ω. Лучи проходят под углом θ относительно друг друга и пересекают атомы симметрично по отношению к линии, перпендикулярной оси трубки (z). Эти два луча приводят к стимулированному двухфотонному переходу, который провоцирует «наложение» основного состояния квантовой системы на частотное возбуждение ω и z-компонент импульса q = |k1 − k2| = 2k sin(θ/2), где k = |k1| = |k2|.
Угол между лучами был установлен θ/2 ~ 4.5°, что приводит к q/kF ≃ 0.2 для центральной трубки с числом атомов Nm = 60.
Как уже стало ясно, угол между лучами лазера определяет показатель q, который должен быть ниже Ферми-импульса. Об этом чуть позднее.

Изображение №1
Брэгговские лучи работают в течение 300 микросекунд, что меньше осевого периода примерно в 2 раза, но больше в сравнении с ω-1. Важный нюанс, поскольку за счет этого упрощается анализ и уменьшается импульсно-временное уширение.
Как только на испытуемый образец воздействует Брэгговский луч, отключаются лучи оптической ловушки. Спустя 150 микросекунд с помощью фазово-контрастной микроскопии получаются изображения. Эксперимент повторяется, но уже без воздействия Брэгговских лучей, для получения «эталонного» изображения.
На изображении а и b показана столбцовая плотность экспериментального варианта и «эталонного», соответственно. На с — разница между ними. d — график соотношения всех трех предыдущих показателей: а, b и с.
Исследователи указывают на то, что Брэгговский сигнал находился в режиме линейного отклика за счет изменений интенсивности его луча, вызванных изменением продолжительности воздействия. В таком режиме частота стимулированных Брэгговских переходов квадратично зависит от интенсивности лазерного излучения.

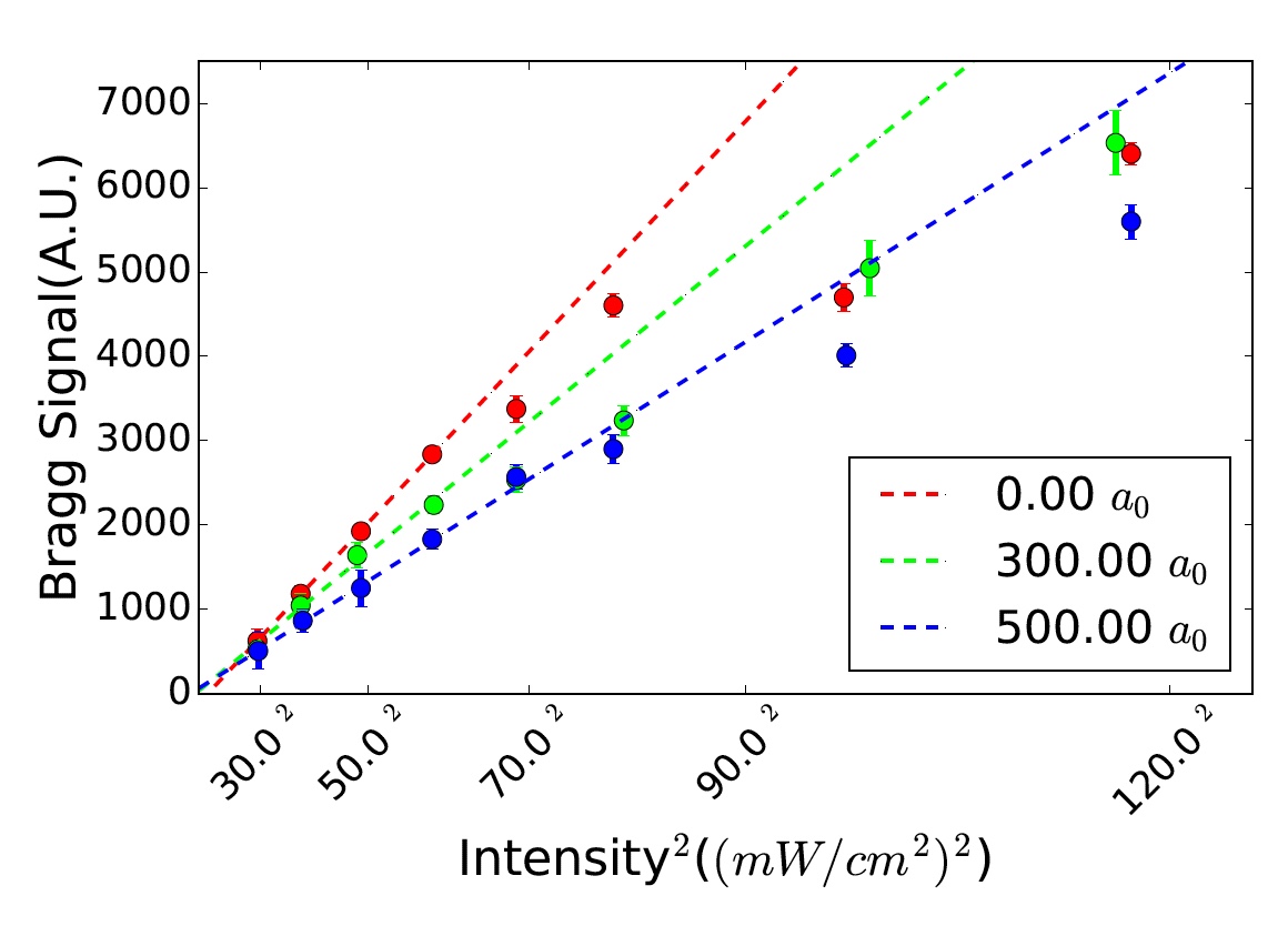
Изображение №2
Как видно из графика выше, при интенсивности излучения менее 55 мВт/см2 передача импульса находится в режиме линейного отклика во всем диапазоне силы взаимодействия, доступном в эксперименте.

Изображение №3
На графике выше представлено соотношение Брэгговского сигнала и частоты, где каждая точка соответствует 20-30 экспериментальным попыткам для каждого значения ω и константного q.

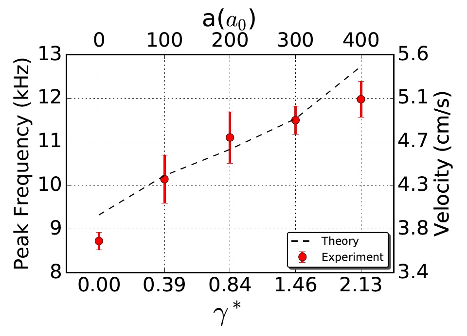
Изображение №4
На графике выше продемонстрированы результаты измерения значения ω. При увеличении силы взаимодействия до 400a0, увеличивается и значение частоты. При дальнейшем увеличении, свыше 400, наблюдался нагрев и потеря атомов, что скорее всего связано с трехкомпонентной рекомбинацией из-за нестабильной верхней ветви при переходе из трехмерной решетки в двумерную.
Для проведения дальнейших измерений было решено рассчитать структурный фактор при температуре 200 нК и сравнить данные результаты с предыдущими в эксперименте. В таком расчете единственный параметр, который поддается манипуляциям, это масштабирование возбуждения. Пиковые показатели возбуждения показаны на графике 4 в виде красных точек. А вот пунктирной линией показаны теоретические результаты. Очевидно, что экспериментальные результаты теоретические практически совпадают. Данные результаты являются первым доказательством опытной демонстрации изменений скорости коллективного возбуждения в одномерном Ферми-газе в ответ на взаимодействие.
Для ознакомления с подробностями сего исследования настоятельно рекомендую заглянуть сюда (доклад ученых).
Эпилог
Ученым удалось успешно провести измерения динамической реакции внутри одномерной двухкомпонентной фермиональной системы посредством применения Брэгговской спектроскопии. Этот эксперимент смог на практике подтвердить правдивость теории Томонага — Латтинжера.
Ученые уверены, что способность манипулировать силой взаимодействия посредством резонанса Фешбаха откроет двери для будущих исследований, которые смогут перейти границы, описанные в теории Томонаги — Латтинжера.
Сей труд крайне сложно назвать легким, ибо он сопряжен со множеством проблем в проведении эксперимента и в самих измерениях его результатов. Однако желание познать что-то новое, как и важность чего-то нового для развития техносферы Земли несоизмеримо велика. Ознакамливаясь с подобными исследованиями, понимаешь насколько сложен мир, нас окружающий. Долгие века мы пытаемся его понять, упростить и подчинить, но с каждым новым открытием появляется куча новых вопросов, усложняющих то, что мы якобы упростили.
Спасибо, что остаётесь с нами. Вам нравятся наши статьи? Хотите видеть больше интересных материалов? Поддержите нас оформив заказ или порекомендовав знакомым, 30% скидка для пользователей Хабра на уникальный аналог entry-level серверов, который был придуман нами для Вас: Вся правда о VPS (KVM) E5-2650 v4 (6 Cores) 10GB DDR4 240GB SSD 1Gbps от $20 или как правильно делить сервер? (доступны варианты с RAID1 и RAID10, до 24 ядер и до 40GB DDR4).
(KVM) E5-2650 v4 (6 Cores) 10GB DDR4 240GB SSD 1Gbps до декабря бесплатно при оплате на срок от полугода, заказать можно тут.
Dell R730xd в 2 раза дешевле? Только у нас 2 х Intel Dodeca-Core Xeon E5-2650v4 128GB DDR4 6x480GB SSD 1Gbps 100 ТВ от $249 в Нидерландах и США! Читайте о том Как построить инфраструктуру корп. класса c применением серверов Dell R730xd Е5-2650 v4 стоимостью 9000 евро за копейки?
Автор: Dmytro_Kikot

