Привет, %username%.
gjf опять на связи.
Сразу прошу прощения, если предыдущая статья показалась тебе слишком скучной, но в некоторых вопросах у меня напрочь пропадает чувство юмора.
И прошу прощения, если разрушил иллюзии некоторых читателей.
Но по итогам голосования мы поговорим о боевой наркоте. Но это не какие-то мифические препараты, которые сделают из хилого ботана Универсального Солдата.
Это вовсе не так.
Когда я только начинал изучать тему, то меня инкапаситанты заинтересовали больше всего. Ещё бы: на каком-то этапе человечество внезапно поняло, что если всех травить чем-то типа фосгена и V-газов — самого человечества не останется!
Инкапаситанты — это куда интереснее! По определению, «инкапаситанты — это вещества, временно выводящие живую силу из строя». Именно «из строя» — но не насмерть.
В своей жизни я встречал информацию, что к инкапаситантам относят довольно много подгрупп:
- Алгогены — вещества, вызывающие сильные болевые ощущения при попадании на кожу. В настоящее время есть продаваемые составы, для самообороны населения. Часто имеют также слезоточивое действие. Пример: 1-метокси-1,3,5-циклогептатриен, дибензоксазепин, капсаицин, морфолид пеларгоновой кислоты, резинифератоксин, эфиры форбола, циклогептатриен.
- Анксиогены — вызывают у человека острый приступ паники. Примеры: агонисты рецептора холецистокинина типа В.
- Антикоагулянты — понижают свертываемость крови, вызывая кровотечения. Примеры: суперварфарин, производные дикумарина.
- Аттрактанты – привлекают различных насекомых или животных (например, жалящих, неприятных) к человеку. Это может привести к панической реакции у человека или спровоцировать нападение насекомых на человека. Также могут быть использованы для привлечения вредителей к посевам противника. Пример: 3,11-диметил-2-нонакозанон (аттрактант таракана).
- Афродизиаки — вызывают сильное увеличение полового влечения. По мнению исследователей, это может спровоцировать конфликты в практически однополом военном коллективе. Примеры: виагра, сиалис.
- Вонючие (малодоранты) – вызывают удаление людей с территории или от определенного человека за счет отвращения людей к неприятному запаху местности (человека). Неприятным запахом могут обладать либо сами вещества, либо продукты их метаболизма. Примеры: меркаптаны, изонитрилы, селенолы, теллурит натрия, геосмин, бензциклопропан.
- Вызывающие боль в мышцах – вызывают сильные болевые ощущения в мышцах человека. Примеры: аминоэфиры тимола.
- Вызывающие выпадение волос – целью использования являются воздействие на общественно-активных людей, для уменьшения внешней привлекательности. Примеры: соли таллия.
- Гипотензивные средства — сильно понижают давление, вызывая ортостатический коллапс, в результате которого человек теряет сознание или возможность двигаться. Примеры: клофелин, канбисол, аналоги фактора активации тромбоцитов.
- Гормональные средства — влияют на множество систем организма в очень малых концентрациях, что может вызывать изменения в самочувствии и эмоциональном состоянии. Часто разработаны метаболически стабильные формы гормонов. Примеры: инсулин, адренокортикотропный гормон, глюкокортикоиды.
- Денатуранты — придают неприятный вкус пищевым продуктам, в результате чего в пораженных районах может развиться голод. Примеры: соли денатония, хинин.
- Кастраторы — вызывают химическую кастрацию (потерю к воспроизводству). Примеры: госсипол.
- Кататонические — вызывают развитие у пораженных кататонии. Обычно относят к виду психохимических отравляющих веществ. Примеры: бульбокапнин.
- Миорелаксанты периферические — вызывают полное расслабление скелетной мускулатуры. Способны вызвать смерть из-за расслабления дыхательных мышц. Примеры: тубокурарин, дитилин.
- Миорелаксанты центральные — вызывают расслабление скелетной мускулатуры. В отличие от периферических, они меньше влияют на дыхание и их детоксикация затруднена. Примеры: миорелаксин, фенилглицерин, бензимидазол.
- Мочегонные — вызывают резкое ускорение опорожнения мочевого пузыря. Примеры: фуросемид.
- Наркозные – вызывают наркоз у здоровых людей. Пока применение данной группы веществ затруднено низкой биологической активностью используемых веществ. Примеры: изофлюран, галотан.
- Наркотики правды – вызывают у людей состояние, когда человек не может сознательно говорить ложь. В настоящее время показано, что данный метод не гарантирует полной правдивости человека и их применение ограничено. Обычно это не индивиндуальные вещества, а сочетание барбитуратов со стимуляторами.
- Наркотические анальгетики — в дозах, выше терапевтических оказывают обездвиживающее действие. Способны вызывать зависимость. Примеры: фентанил, карфентанил, 14-метоксиметопон, эторфин, дигидроэторфин.
- Нарушающие память — Вызывают временную потерю памяти. Часто токсичны. Примеры: циклогексимид, домоевая кислота, многие холинолитики, некоторые бенздиазепины.
- Нейролептики — вызывают двигательную и мыслительную заторможенность у человека. Примеры: галоперидол, спиперон, флуфеназин.
- Необратимые ингибиторы МАО — группа веществ блокирующие моноаминоксидазу. В результате этого при употреблении продуктов с высоким содержанием природных аминов (сыры, шоколад) провоцируется гипертонический криз. Примеры: ниаламид, паргилин.
- Подавители воли — вызывают нарушение способности принимать самостоятельные решения. Являются веществами различных групп. Пример: скополамин.
- Пруригены — вызывают непереносимый зуд. Например: 1,2-дитиоцианоэтан.
- Психотомиметические средства — вызывают психоз, продолжающийся некоторое время, в течение которого человек не может принимать адекватные решения. Пример: BZ, ЛСД, мескалин, ДМТ, ДОБ, ДОМ, каннабиноиды, PCP, псилоцибин, ДЭТ, ДМГП.
- Слабительные — вызывают резкое ускорение опорожнения содержимого кишечника. При длительном действии препаратов этой группы может развиться истощение организма. Примеры: бисакодил.
- Слезоточивые вещества (лакриматоры) — вызывают сильное слезотечение и смыкание век у человека, в результате чего человек временно не может видеть происходящее вокруг и теряет боеспособность. Есть табельные отравляющие вещества, используемые для разгона демонстраций. Примеры: хлорацетофенон, бромацетон, бромбензилцианид, соли триалкилсвинца, этилбромацетат, этилиодацетат, орто-хлорбензилиденмалонодинитрил (CS).
- Снотворные – вызывают засыпание человека. Примеры: флунитразепам, барбитураты.
- Стерниты — вызывают неукротимое чихание и кашель, в результате чего человек может сбросить противогаз. Есть табельные ОВ. Примеры: адамсит, дифенилхлорарсин, дифенилцианарсин.
- Треморгены — вызывают судорожные подергивания скелетных мышц. Примеры: треморин, оксотреморин, треморгенные микотоксины.
- Фотосенсибилизаторы — повышают чувствительность кожи к солнечным ультрафиолетовым лучам. При выходе на солнечный свет человек может получить болезненные ожоги. Примеры: гиперицин, фурокумарины.
- Эметики (рвотные) — вызывают рвотный рефлекс, в результате чего нахождение в противогазе становится невозможным. Примеры: производные апоморфина, стафилококковый энтеротоксин В, PHNO, производные аминотетралина.
Поскольку это — Хабр, а этот опус пишет не доктор наук, генерал-майор хим. войск, член-кор. и прочия прочия прочия, то я позволю себе оспорить этот список.
Вонючие вещества отпугнут вояк? Это писал кто-то, кто никогда не был в казарме.
И ещё — скополамин — подавитель воли? Бугага.
Поэтому я не буду пытаться представить примеры из этого списка по каждой группе. Возможно, они и существуют, но засекречены, возможно — это просто фантазии авторов, их представивших, а возможно — я просто не хочу )))
Также мне скучна группа ирритантов — это сумма лакриматоров (от чего плачут) и стернитов (от чего кашляют). Ирританты я рассматривать не буду — во-первых, с ними тоже проблема — действуют они недолго, особенно если покинуть зону поражения, а с некоторыми вообще может случиться нечаянный фэйл, к с CS во Вьетнаме (впрочем, после дефолиантов я не думаю, что это было самой большой бедой). Ну а во-вторых, как я понял, лонгриды читателя утомляют )
А потому, %username%, поговорим о куда более интересном!
Хит-парада в этот раз не будет, а потому пусть каждый выберет сам своего фаворита.
Фторотан — самый скучный, простой и неинтересный инкапаситант. Это — бесцветная, негорючая и легколетучая жидкость (температура кипения около 50°C). Воняет как хлорформ.
Фторотановый наркоз используют при различных операциях, в том числе полостных (на органах брюшной или грудной полости), у детей и лиц пожилого возраста, у больных бронхиальной астмой. Особенно полезно применение фторотанового наркоза в тех случаях, когда следует избегать возбуждения и напряжения пациента (например, в нейрохирургии, офтальмологии и т. п.). Для введения в наркоз начинают с подачи фторотана в концентрации 0,5 об.% (с кислородом), затем в течение 1,5—3 мин увеличивают её до 3—4 об.%. Для поддержания хирургической стадии наркоза применяют концентрацию 0,5—2 об.%.
При использовании фторотана сознание выключается обычно через 1—2 мин после начала вдыхания его паров. Через 3—5 мин наступает хирургическая стадия наркоза. Спустя 3—5 мин после прекращения подачи фторотана пациенты начинают пробуждаться. Наркозная депрессия полностью исчезает через 5—10 мин после кратковременного и через 30—40 мин после продолжительного наркоза. Возбуждение наблюдается редко и выражено слабо. Раздражения органов дыхания не бывает вообще.
Говорят, что баловаться с фторотаном не стоит, потому что в ряде случаев вызывает тяжелые поражения печени (галотановый гепатит). Преимущественно гепатит возникает у людей старше 40 лет, причем чаще у женщин, чем у мужчин. Токсическое действие фторотана обусловлено не только прямым влиянием, но и образованием токсических метаболитов (трифторуксусной кислоты, трифторэтанола, трифторацетальдегида).
Но поскольку пары фторотана тяжелее воздуха примерно в 6,7 раза, его реально рассматривали как вариант «усыпляющего газа», недостаток — действовать нужно быстро, потому что после того, как пары разойдутся, через 5 минут все проснутся.
Такими же свойствами обладает и изофлюран.
Такие себе инкапаситанты начального уровня. Но открывают они Великую и Ужасную группу физикантов — веществ, которые вызывают непродолжительные расстройства — физические или физиологические.
Кто у нас ещё тут есть?
Ну апоморфин наверняка хорошо знаком тем, кто склонен к суициду хоть раз крепко испытал пищевое отравление. Да-да, это лекарство, которое получают из морфина при воздействии на него соляной кислотой. При этом удаляется характерный для алкалоидов морфина кислородный мостик и в результате молекулярной перегруппировки образуется новое четырехциклическое соединение.
Всем наркоманам стоять и не бежать в аптеку — апоморфин хоть и сохраняет некоторые свойства своего папаши, но основное у него действие — иное: это сильнейший рвотный препарат. 0,01 мг/кг вызывает следующие приятные ощущения: сначала тебя, %username%, как бы укачает: бледность, холодный пот, тошнота — если тебя никогда не укачивало, то вперёд — гарантированно поймёшь, как это. Затем примерно через 3-10 минут тебя начнёт немедленно, обильно и неудержимо тошнить. Нет, это не то «тошнить», как иногда после пьянки — нет: ты буквально побратаешься с белым другом, который наверняка находится в твоей квартире в почётном месте. Обнимать его и вызывать Ихтиандра придётся около часа — постоянно, с редкими перерывами. Потом отпустит — небольшая слабость и всё пройдёт.
Понятно теперь, почему апоморфин используют в пытках при отравлениях?
Ясно, что бравый солдат, которого неудержимо рвёт на Родину, мало полезен в бою. Недостаток один: апоморфин должен быть введён в кровь или вдохнут в нос. Выпить его с водичкой для эффекта нужно достаточно много (более 10 мг) — при чём в желатиновой капсуле с аскорбиновой кислотой, иначе вещество развалится в желудке. В бою так не выйдет.
Кстати, апоморфином часто дрессируют законченных алкоголиков. Метод дрессировки прост: вводят апоморфина гидрохлорид под кожу в разовой дозе от 0,002 г до 0,01 г, индивидуально подбирая дозу, вызывающую у данного больного рвоту. Спустя 3—4 мин после введения апоморфина дают больному в руки рюмку с 30—50 мл алкогольного напитка, которым он злоупотребляет. При начале тошноты предлагают выпить глоток напитка, после чего следует его нюхать и полоскать им рот. Когда тошнота резко усилится и больной почувствует приближение рвоты, он должен выпить ещё глоток алкогольного напитка. Обычно через 1—15 мин после появления тошноты развивается рвота. Сеансы проводят 1—2 раза в день. Павлов рукоплещет.
Есть и другие вещества с подобным действием. Вот ближайший пример:
Ликорин никто не получает, его выделяют: это — алкалоид, содержащийся в ряде растений семейства амариллисовых, особенно в растениях родов кливия, кринум, галантус, унгерния.
Препарат примерно в 50 раз слабее апоморфина, но зато вызывает рвоту даже при отравлении нейролептиками — поэтому особо любим суицидниками.
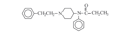
К этому веществу у меня личная неприязнь, но это другая история. Фентанил — наркотический анальгетик. В медицинской практике используется в виде цитрата. Оказывает сильное, быстрое анальгезирующее действие. По-русски — от него торчат. И сильно. Как от героина.
При парентеральном введении животным вызывает анальгезию в дозах, составляющих тысячные-сотые доли мг/кг. Эффект наступает через 2–10 мин. Летальная доза фентанила для крысы при внутривенном введении LD50 = 3–5 мг/кг. Фентанил вызывает у человека потерю чувствительности при оральной дозе 0,05–0,1 мг/кг, а при дозе выше 0,2 мг/кг уже наступают конвульсии.
Ну понятно, что бравые химики не остановились на фентаниле и стали активно искать, что с ним сделать, чтобы вышло быстрее, выше, сильнее. Ну и надо сказать — получилось. Некоторые успехи ниже.
Самый главный успех. Является одним из самых мощных опиоидов, одна единица карфентанила в 100 раз мощнее, чем такое же количество фентанила, в 5000 раз мощнее единицы героина и в 10 000 раз мощнее единицы морфина. Медианная анальгетическая активность ED50 (ну то бишь — подействовало на 50% из испытуемых) для данного вещества при внутривенном введении крысам составляет 0,41 мкг/кг, медианная летальная доза LD50 (тут 50% сдохли) — 3,39 мг/кг, воздействие на организм человека начинается уже с 1 мкг.
Карфентанил в мирное время используется как транквилизатор для слонов: если ты, %username%, держишь дома слона, то чтобы его усыпить — знай: достаточно двух миллиграммов карфентанила. Коммерчески эта штука производится: препарат присутствует на фармацевтическом рынке под торговой маркой Wildnil как анестетик общего действия, предназначенный для крупных животных — очень большая активность не предполагает его использования на людях. Если интересно — то максимально мощным опиоидом, применяемым в медицинских целях на людях, в настоящее время является суфентанил, примерно в 10-20 раз уступающий карфентанилу. Кстати, для зверушек ещё используют охмефентанил. И да, все эти «летающие шприцы» — из этой темы.
Одним из широко известных примеров применения карфентанила в ветеринарной практике является эпизод документального сериала Animal Cops: Houston телеканала Discovery, в котором был показано, как карфентанилом (разведенным в мёде) был усыплен бурый медведь с целью безопасной перевозки от жестоко обращавшегося с ним частного владельца в южном Техасе в зоопарк Хьюстона.
По мнению ряда экспертов, не подтвержденному российскими силовыми структурами, аэрозоль на основе карфентанила применялся при штурме Театрального центра на Дубровке в Москве в 2002 году, чтобы уменьшить вероятность подрыва террористами взрывных устройств. Этот вывод был сделан из того, что службы неотложной медицинской помощи были проинструктированы (с задержкой и без разглашения природы агента) использовать антагонисты опиоидов. Из-за недостатка информации, медики не могли выработать стратегию реанимации и обеспечить достаточное количество применяемых в этих целях налоксона и налтрексона для успешной помощи всем пострадавшим. В предположении, что единственным активным компонентом усыпляющего аэрозоля был карфентанил, основной причиной смерти пострадавших могла быть вызванная опиоидами остановка дыхания, в этом случае примененное на месте (вместо перевозки в клиники) искусственное дыхание и применение антагонистов могло спасти жизни большинства или всех погибших.
Ещё раз подчеркну: меня там не было, пишу то, что есть в открытых источниках, а потому скажу, что есть ещё мнения, что:
- Использовался не карфентанил, а 3-метилфентанил (будет ниже).
- Использовался фторотан (было выше).
- Использовался BZ (будет совсем внизу).
Короче, %username%, если у тебя есть ещё вопросы по этому поводу — позвони по телефону +74952242222.
Алфентанил — очень младший брат карфентанила. В дозе 0,0025 мг/кг у людей возникает тремор, а в дозе 0,175 мг/кг наступает обездвиживание человека спустя 4–5 минут после приема. Сообщается, что Национальный институт юстиции США при поиске веществ, способных обездвиживать преступников, не причиняя им вреда, использовал и алфентанил. Оказалось, однако, что стоит превысить терапевтическую дозу в 4 раза, как возникает опасность смертельной остановки дыхания. В конце концов исследователям пришлось отказаться от опытов с алфентанилом и поискать более безопасные вещества. Особенно известным стал синтезированный в 1972 г. 3-метилфентанил — мощнейший наркотик и анальгетик, более активный, чем героин, в 500–2000 раз. При ингаляционном введении по уровню активности 3-метилфентанил превосходит многие психомиметики.
Зная про свойства производных фентанила, некоторые решили сделать свою отраву с перферансом и блудницами — и появился α-метилфентанил. Эта дрянь — злобная наркота, самая простая в синтезе среди всех производных фентанила. Особенности: губит жизни и тех, кто её принимает, и тех, кто её делает. Я принципиально не буду о нём ничего писать. Извини, %username%.
Кстати, чтобы обездвиживать — необязательно накачивать наркотой. Обездвиживающим действием обладает ещё вот такое соединение:

0,001 мг/кг вызывает физическое бессилие, правда, быстро проходящее. Чтобы обессилеть навсегда — надо объесться: токсическая доза выше в 1000 раз.
Честно: я уже подзабыл тривиальное бытовое название этого вещества, но формулу нашёл. Пользуйтесь.
Повышаем ставки, %username%!
Сернил, или фенциклидин, или SN по номенклатуре иностранных служб в дозах 0,03-1 мг/кг после периода скрытого действия до одного часа начинает работать очень забавно: наступает периодическая смена состояния возбуждения и депрессии. Я не знаю, как передать эту гамму чувств, но в итоге организм очень быстро утомляется. Возникает чувство глубокого одиночества и изоляции, потом — негативизм и враждебность. Через 8-10 часов после поступления сернила, симптомы мало отличаются от аналогичных при шизофрении.
Если чуток переборщить, то при 2 мг/кг возможна каталепсия до 3 суток. Это когда сидишь, смотришь в окно и не двигаешься. Но есть плюсы — можно выставляться в галерее какой-нибудь…
Создано это чудо в 1950-х годах в США и даже поначалу применялось в медицинских целях аж до 1965 года. С 1979 года сернил был запрещен к использованию и производству.
Кстати, интересный контингент твоего двора может знать сернил как РСР, Peace pill, ангельская пыль (Angel dust) — да-да, о ней поёт «Ария», HOG, Killer weed, KJ, Embalming fluid, Rocker fuel, Sherms и др.
Сернил очень быстро вызывает зависимость, кроме того этот товарищ крайне ревнив к другим источникам мирских удовольствий: в сочетании с иными веществами — например с алкоголем, марихуаной или бензодиазепинами — может приводить к коме.
Другом и соратником сернила есть вот это:
Это — второе вещество, у которого я забыл тривильное название. Теперь ты знаешь мой дрянной почерк, %username%! Поверь — это страшнее любой отравы.
Эта фигня в дозах 60-210 мкг/кг действует через 0,5-2 часа если вовнутрь, а если вдохнуть или уколоть — то через 5 минут. Средне на человека нужно всего 5 мг.
При поражении симптомы очень похожи на сернил. Скоро после интоксикации появится слабость, головокружение, дрожь и подёргивания мышц, потом появляется тошнота, онемение во рту и расстройство речи. И вот уже примерно через час начнётся главное. Потеряется возможность сосредотачиваться и мыслить, ощущение времени и пространства. Нарушается координация, искажаются условные рефлексы. И главное: галлюцинации. Красочные. Слуховые и зрительные. Но беда — все страшные. На фоне непрекращающегося чувства страха и ужаса — это что-то. Бояться, слышать и видеть то, что боишься, ты будешь долгие 5-6 часов, а если повезло схватить 200 мкг/кг и более — происходит полная деперсонализация, ты, %username%, уже больше не %username% — а маленькое сжавшееся трясущееся существо, которое плачет, рыдает и БОИТСЯ. Правда, весело?
Настолько весело, что самые известные психотропные инкапаситанты связаны именно с галлюциногенным действием.
Итак, встречаем —
За словом «ЛСД», кстати, скрывается имя сего шедевра — N,N-диэтиламид D-лизергиновой кислоты. Ну это примерно как если тебя по имени-отчеству.
Право, %username%, я не знаю, как и зачем 16 ноября 1938 года швейцарский химик Альберт Хофманн в Базеле получил ЛСД-25 из лизергиновой кислоты (25 — потому что это было 25-е соединение, которое он синтезировал). Человечество уже знало про токсичность эрготоксинов из спорыньи, Артур Штолль в лаборатории фирмы Sandoz даже уже выделил из склероциев эрготамин в 1918 году — но изучали его в свете стимулирующего действия на мускулатуру матки. Не думаю, что у Хофманна были проблемы с маткой, но так или иначе — ЛСД получил он. Похлопайте ему (хотя он уже умер, но не от этого).
И вот, 19 апреля 1943 года, Хофманн как истинный учёный (хм?) принял то, что синтезировал. 250 микрограмм. Итог: через некоторое время начало проявляться головокружение и беспокойство. Скоро эффект стал настолько силён, что Альберт не мог более составлять связные предложения и, наблюдаемый своим ассистентом, уведомлённым об эксперименте, отправился на велосипеде домой. Поездка получилась увлекательной: субъективные ощущения Хофманна — очень медленная езда — не соответствовали объективным: гнал он, как стимулированная морская свинка. При этом знакомый бульвар по дороге к дому превратился для Хофманна в картину Сальвадора Дали: ему казалось, что здания покрылись мелкой рябью.
После того, как Хофманн добрался до дома, он попросил ассистента вызвать врача и попросить у соседа молока, которое он выбрал в качестве общего противоядия при отравлениях.
Прибывший врач не смог найти у пациента никаких отклонений, кроме расширенных зрачков. Однако в течение нескольких часов Хофманн находился в состоянии бреда: ему казалось, что он стал одержим демонами, что его соседка — ведьма, что мебель в его доме угрожает ему. Затем чувство тревоги отступило, ему на смену пришли разноцветные образы в форме кругов и спиралей, которые не пропадали даже при закрытых глазах. Также Хофманн рассказывал, что звук проезжающего автомобиля воспринимался им в форме оптического образа.
22 апреля он написал о своем эксперименте и опыте, а позже поместил эту заметку в свою книгу «ЛСД — мой трудный ребенок».
В предисловии к своей книге Хофманн написал, в частности, что стал химиком из-за своего стремления к абсолютному единству с природой. Он искал вещества, которые расширяют способности человека к восприятию окружающего мира во всей его полноте. Впрочем, на момент написания книги, ученый уже знал, что открытое им соединение, не только расширяет сознание, но и может разрушить психику человека, приведя к катастрофическим последствиям.
«Намеренный вызов мистических переживаний, в частности, при помощи ЛСД и подобных галлюциногенов, по сравнению со спонтанным визионерским опытом, влечет за собой опасности, которые нельзя недооценивать. Практикующие должны принимать во внимание некоторые эффекты этих веществ, а именно их способность влиять на наше сознание, на самую глубинную суть нас самих. История ЛСД на сегодняшний день достаточно демонстрирует катастрофические последствия, которые могут наступить, когда глубина его эффектов недооценивается и это вещество воспринимается как наркотик, который можно принимать ради удовольствия. Неправильное и неуместное использование сделало ЛСД моим трудным ребенком.»
— «ЛСД — мой трудный ребенок», А. Хофманн.
Тем не менее, с тех пор 19 апреля 1943 года некоторые адепты называют «Днём велосипеда» и даже празднуют. По-своему.
Механизм действия ЛСД достаточно сложный. В первую очередь это вещество — структурный аналог серотонина — нейромедиатора, регулирующего состояния отдыха, сна и накопления энергии. Антисеротонинное действие ЛСД приводит к галлюцинациям. Кроме малоспецифичного серотонинолитика (вещества, блокирующего рецепторы нервных синапсов, в которых медиатором является серотонин), у ЛСД есть ещё ингибирующее действие к моноаминооксидазе (МАО) серотонина, а также к МАО других медиаторов — γ-аминомасляной кислоты, гистамина и норадреналина. Короче эффект довольно многообразен и надо сказать — до конца не изучен.
Некоторое время предполагалось, что изучение нового препарата позволит понять природу шизофрении, которой также характерны проблемы с работой серотонина. Однако многие ученые не верили в то, что психоделический и шизофренический психоз идентичны. Несмотря на некоторые общие черты, гипотеза о единой природе шизофрении и действии ЛСД была опровергнута.
Так или иначе, в 1960-е годы активно велись исследования ЛСД — и я сейчас о вполне себе мирном изучении учёных в университетах США и других стран. Наибольшую известность получили исследования Станислава Грофа и Тимоти Лири. Последний вел активную пропаганду данного психотропного вещества, так как считал, что полезный эффект от него превышает возможные побочные. Кроме того, он давал ЛСД некоторым студентам, не предупреждая их о его наименовании, как часто практиковалось в тот период при исследовании психоделиков. Впоследствии Тимоти Лири активно преследовался властями, в том числе и из-за своей агрессивной позиции о пользе «расширения сознания» для человека.
В 1977 году в ходе слушаний в сенате США директор ЦРУ Стэнсфилд Тёрнер признал, что ЦРУ с начала 1960-х годов проводило серию экспериментов с использованием ЛСД на людях без их согласия и их ведома (программа «МК Ультра»). Таким экспериментам подверглось множество американцев, среди которых были, в частности, заключённые, пациенты психиатрических больниц и пациенты онкологических центров, медсёстры, «другой медицинский персонал». У некоторых подопытных при этом «появились первые симптомы шизофрении».
По Америке прокатилась волна увлечения психотропными веществами и ЛСД, которая сильно повлияла на формирование контркультуры шестидесятых и семидесятых. Широко известной стала фраза доктора Лири, превратившаяся в девиз сторонников употребления психоделиков: «Turn on, tune in, drop out» («Включись, настройся, выпадай»). Под словом выпадай имелся в виду уход от консервативных нравов и образа жизни основной части общества.
В 1966 году в США было запрещено производство, распространение и употребление. Препарат запретили даже для лабораторного исследования.
- Когда The Beatles записали песню «Lucy in the Sky with Diamonds», Джон Леннон объяснил происхождение названия песни тем, что так окрестил свой рисунок его сын Джулиан. Однако многие усмотрели в этом названии намек на наркотик LSD, ведь именно такая аббревиатура складывалась из его первых букв, а Би-би-си и вовсе запретило песню к ротации. Позже Пол Маккартни рассказал, что влияние LSD на эту песню довольно очевидно.
- Поклонниками ЛСД были такие выдающиеся ученые как Фрэнсис Крик — один из первооткрывателей в исследовании структуры и функций ДНК и Станислав Гроф, занимавшийся трансперсональной психологией. Также к препарату обращались Стив Джобс и Билл Гейтс. Джобс описывает свой ЛСД-опыт как «одну из двух или трех самых важных вещей, сделанных в жизни». Кстати, Джобс умер от рака поджелудочной железы, а Гейтс является одним из рекордсменов по размеру средств, переданных на благотворительность. Скорее всего это никак не связано.
- Известный факт, что именно ЛСД использовали «для вдохновения» всемирно известные писатели Олдос Хаксли («О дивный новый мир»), Курт Воннегут («Колыбель для кошки»), Кен Кизи («Пролетая над гнездом кукушки»), а так же такие музыканты как Джон Леннон, Сид Барретт, Джим Моррисон и др.
- Кстати, в фильме «Чёрное Зеркало. Брандашмыг» герой с другом испытывают действие ЛСД очень похожее на настоящее.
Но вернёмся к нашей тематике. В момент открытия ЛСД у вояк и спецслужб был целый перечень самых разных уже готовых веществ с подобным действием: мескалин, псилоцибин, ТМА, ТГК, налорфин, гармин, ДОМ, ДМТ, иботеновая кислота… Даже тот же N,N-диметиламид уксусной кислоты — и тот при 400 мг/кг вызывает депрессию, потерю ориентации, зрительные галлюцинации, бред и летаргию — при чём надёжно, на 7 суток!
Но выбрали всё-таки ЛСД. Почему?
- Для надёжного улёта достаточно 0,1-0,2 мг на трезвенника и 0,3-0,5 мг на пьющего (да-да, именно так!). ЭТО ОЧЕНЬ МАЛО! Поэтому в интересных местах не продают таблетки ЛСД — продают марки, лизнув которые ты гарантированно получишь нужную дозу.
- ЛСД хорошо растворяется в воде (в виде тартрата) и достаточно стабилен.
- Смертельная доза примерно 100 мг на человека, что в 500-1000 раз выше действующей. Убить достаточно трудно (а вот от упомянутого выше N,N-диметиламид уксусной кислоты, кстати, просыпается 1 человек из 3).
- Кумулятивного эффекта нет.
- Привыкания — во всяком случае физиологического — нет.
- »Уносит" минимум на 5 часов — максимум на 2 суток.
Так что препарат не только попал в анналы, но и был принят на вооружение под понятным и ясным шифром LSD. А ещё синтезировали аналоги! Правда, все вышли неудачными.
- 2-бром-ЛСД (7%, эффект проявляется лишь у 2% испытуемых, в 1,5 раза более активное антисеротониновое средство, чем ЛСД, сокращение — BOL);
- амид лизергиновой кислоты (0%);
- диметиламид лизергиновой кислоты (10%);
- моноэтиламид лизергиновой кислоты (5-10%);
- морфолид лизергиновой кислоты (30%);
- 1-ацетил-ЛСД (100%, но продолжительность действия в 2-3 раза короче, а вегетативные эффекты более выражены, обозначение — АЛД-52);
- 1-метил-ЛСД (36%, в 4 раза более активен чем ЛСД по антисеротониновой активности);
- 1-метокси-ЛСД (66%);
- пирролидид лизергиновой кислоты (5%).
Недостаток ЛСД бы очевиден: для синтеза нужна была спорынья, её надо было выращивать, лизергиновой кислоты она давала мало — продукт получался дорогим. Начался поиск чего-то, что было бы не хуже. И таки нашли!
Нет, %username%, никакого отношения «BZ» к каким-то звукам органического происхождения не имеет. И то, что «BZ» при ошибке с раскладкой получается как «ИЯ» — простое совпадение. Наверное.
BZ — 3-хинуклидиловый эфир бензиловой кислоты — это психотомиметик из группы гликолатов.
Он был изобретен швейцарской фармацевтической компанией Hoffman-LaRoche в 1951 году — компания исследовала спазмолитические средства для лечения желудочно-кишечных заболеваний. И то, что оказалось неподходящим от язвы, оказалось очень подходящим для других целей (ну с виагрой, кстати, тоже так же получилось).
В это время военные Соединенных Штатов бились в поисках возможных несмертельных, психоактивных веществ, выводящих из строя, включая психоделические препараты, такие как ЛСД и ТГК, диссоциативные препараты, такие как кетамин и фенциклидин, сильнодействующие опиоиды, такие как фентанил, а также несколько гликолятных антихолинергических средств. И тут-то и повезло.
Первоначально препарат был обозначен как «ТК», но когда он был стандартизирован армией в 1961 году, он получил кодовое название НАТО «BZ». Агент обычно стал известен как «Buzz» из-за этой аббревиатуры и эффектов, которые он оказал на психическое состояние людей-добровольцев в научных исследованиях в Edgewood Arsenal в Мэриленде.
В 1962 г. на военной базе Пайн Блафф (Арканзас) была пущена установка по производству вещества BZ в индустриальных масштабах. Его боевая эффективность была оценена во время полевых испытаний, завершившихся в 1966 г.
Поскольку BZ — это белые кристаллы с температурой плавления 190 °C, низкой летучестью и высокой термической устойчивостью, то использовали кассетные бомбы, которые разбрасывали пиротехнические «курящиеся» шашки с BZ примерно на 1,2 гектара. Также имелись «генераторы», заправленные 5-6 кг BZ. Также рассматривались варианты заражения осколков, пуль и прочего.
Действует BZ в виде аэрозоля при концентрациях порядка 110 мг*мин/л — и реально убить этим веществом сложно, отмечалось, что в группе опасности — старики, дети и люди с заболеваниями дыхательных путей.
Начало обычное: расширение зрачков, сухость во рту, учащение сердцебиения. Через 30-60 минут начинается основной акт драмы: ослабление внимания и памяти, снижение реакций на внешние раздражители, выраженное угнетение и нарушение ориентации в окружающей обстановке. Через 1–4 часа отмечаются сильная тахикардия, спутанность сознания, потеря контакта с окружающим миром. Галлюцинации настолько сильны, что несчастный не может понять, что происходит на самом деле, а что ему кажется. Это очень весело, %username%. Обхохочешься, блин.
В итоге развивается агрессивный негативизм: человек делает противоположное тому, что ему предлагается. При чём очень часто — со вспышками гнева. Это безумство длится до 4–5 суток, остаточные расстройства — до 2–3 недель. Возможна частичная или полная потеря памяти.
Механизм действия BZ не менее сложен, чем у ЛСД. BZ является антагонистом мускариновых рецепторов ацетилхолина, то есть по сути он — холинолитик, нарушающий передачу нервных импульсов с участием ацетилхолина — да-да, %username%, прям как VX, но есть нюансы. Нюанс в высоком соотношении токсичной дозы к действующей: у BZ это соотношение равно около 40 раз (диапазон от 32 до 384 раз), то есть по сути действие BZ — это очень-очень маленькое отравление. Короче, там сам чёрт ногу сломит, но дурман, димедрол и тарен (апрофен) — братья по механизму действия с BZ. Ну может не родные, но точно двоюродные.
Есть упоминание о случае применения вещества во время войны во Вьетнаме, но о результатах сообщается только, что они «были удовлетворительными».
Предполагается, что Поль Робсон в 1961 году был отравлен BZ, что вызвало приступ галлюцинаций и тяжёлой депрессии.
В феврале 1998 года министерство обороны Великобритании обвинило Ирак в хранении большого количества гликолатного антихолинергического «агента 15». Агент 15 предполагался химически либо идентичен BZ, либо тесно связан с ним, и хранился в больших количествах до и во время войны в Персидском заливе. Однако после войны ЦРУ пришло к выводу, что Ирак не накопил или не поставил на вооружение агент 15.
В январе 2013 года неустановленный представитель администрации США, ссылаясь на нераскрытый телеграмму Госдепартамента США, заявил, что «сирийские контакты убедительно доказывают, что агент 15, галлюциногенный химикат похожий на BZ, использовался в Хомсе». Однако в ответ на эти сообщения официальный представитель Совета национальной безопасности США заявил: «Сообщения, которые мы видели из средств массовой информации о предполагаемых инцидентах с химическим оружием в Сирии, не соответствуют тому, что мы считаем правдой в отношении сирийской программы химического оружия». Химическое вещество также якобы использовалось в нападениях в Гуте в августе 2013 года.
14 апреля 2018 года министр иностранных дел РФ Сергей Лавров сообщил, что эксперты из швейцарского центра радиологического и химико-радиологического анализа в городе Шпице, которые анализировали пробы Организации по запрещению химического оружия с места отравления Сергея и Юлии Скрипаль в Солсбери, обнаружили в данных пробах следы BZ. 18 апреля на заседании исполнительного совета ОЗХО его генеральный директор Ахмет Узюмджю объяснил, что прекурсор BZ был использован в качестве контрольной пробы для проверки качества работы лабораторий и к образцам из Солсбери отношения не имел.
Как пишут, в 1988—1990 годах все запасы BZ в США были ликвидированы вместе с промышленным производством. Сейчас единственное опытное производство на планете, расположенное в городе Эджвуд (США), позволяет производить до 20 т/год, в то время как за пределами США суммарные производственные мощности не достигают и 1 т/год, поскольку за всё время так не была решена проблема эффективного получения его прекурсора — 3-хинуклидола. Ну так говорят, не знаю. Но знаю, что были попытки замены — самая известная — это дитран.
Считается, что при дозе 5-15 мг эта смесь вызывает схожие с BZ симптомы, развивающиеся в течение часа.
В настоящий момент официально на вооружении стран мира не состоят психотропные препараты. Но наблюдая некоторые массовые события в ближних странах и не очень — я сильно сомневаюсь, что это так. У армий может и не стоят, но спецслужбы явно работают.
Ну вот такая получилась история.
Посмотрим, понравится ли она тебе, %username%. Голосования в этот раз не будет — всё покажет рейтинг статьи.
К сожалению, в субботу у меня начнётся очередная пора дальних и не очень командировок — а потому времени на творчество будет мало — я уйду в очередной творческий отпуск. А поскольку времени мало, а пока в голове есть только один более или менее сформированный рассказ про жёлтый фосфор и аварию подо Львовом, связанную с ним, то если окажется, что я всё ещё интересен — я поделюсь этой историей с тобой.
Ну а если нет — что ж, я старался.
Удачи и не болей! Ни физически, ни психически…
Автор: Gray Jack the Fixxxer
