
Кот Барсик ищет приключений и бродит по району, схема которого показана на рисунке
На каждом перекрёстке он наугад выбирает одно из направлений. Если окажется рядом с рыбным ларьком — обязательно заглянет туда за угощением. А если дойдёт до входа в ветеринарную клинику — тут же свернёт домой.
Вопрос: с какой вероятностью Барсик доберётся до рыбного ларька?
Эта статья написана по мотивам онлайн-лекции, которая я недавно прочел для лектория летней школы Лес. Видео и слайды с классными симуляциями броуновского движения доступны в нашем телеграм канале Кроссворд Тьюринга. Подписывайтесь!)
Прежде чем решать эту задачу, разберёмся, откуда она взялась.
Всё началось с того, как Роберт Броун обнаружил беспорядочное движение частиц в воде. Он предположил, что причина — в ударах молекул жидкости. В то время атомистическая теория не была общепринята, и это объяснение отвергли.
Спустя почти столетие Альберт Эйнштейн показал: если частица действительно сталкивается с молекулами, то её положение должно меняться по определённому статистическому закону. Эксперименты Жана Перрена подтвердили предсказание — и благодаря этому учёные окончательно поверили в существование атомов.
Сегодня для описания подобных явлений — от физики и химии до финансов и теории алгоритмов — используют случайные процессы, важный объект теории вероятностей.
Самая простая модель — случайное блуждание: дискретный процесс, в котором частица перемещается по прямоугольной сетке, на каждом шаге смещаясь в соседний узел, выбранный случайным образом.
Случайные блуждания — одна из самых естественных моделей в теории вероятностей. На ней удобно тренировать интуицию и осваивать ключевые идеи тервера. При этом на многие вопросы, связанные с блужданиями, математики ищут (и находят) ответы до сих пор.
Этот сюжет — яркий пример взаимодействия математики и других наук. Обычно в курсе тервера рассказ об этих связях не остаётся времени. Сегодня мы это исправим.
Мы начнём с истории открытия и объяснения броуновского движения и роли, которую оно сыграло в становлении молекулярной теории. Затем перейдём к математической модели: как устроено случайное блуждание, как оно связано с реальными явлениями и как его можно описывать.
После этого докажем несколько содержательных и интересных свойств этой модели: найдём среднюю скорость, с которой разбегаются частицы, разберём задачу о разорении игрока, научимся решать поставленную выше задачу о коте Барсике.
В заключении мы чуть-чуть затронем неожиданную связь случайных блужданий, электрических цепей, мыльных пленок и гармонических функций на графах — и расскажем, как разные взгляды на одну задачу обогащают друг друга.
А в финале вас ждёт красивая задача по теории вероятностей, которую можно решить математически — или с помощью симуляции, на ваш вкус.
Но прежде — вернёмся к рассказу о Броуне и Эйнштейне.

Шотландский ботаник Роберт Броун был не просто кабинетным учёным. В юности он изучал медицину, участвовал в ботанической экспедиции в Австралию, собрал более четырёх тысяч новых видов растений. А ещё усовершенствовал микроскоп и новаторски использовал его в исследованиях. Благодаря этому он внёс большой вклад в клеточную теорию, впервые описав ядро в растительной клетке.
В 1827 году Броун рассматривал пыльцу и споры мха в воде под микроскопом. Он заметил, что мельчайшие частицы внутри зёрен движутся беспорядочно, даже если само зерно остаётся неподвижным. Сейчас это явление называется броуновским движением.
Броун исследовал механизм размножения растений и поначалу считал, что движение связано с жизненными процессами. Но, проведя серию опытов с частицами мёртвых растений из гербария, а также с неорганическими объектами — в том числе с фрагментом Сфинкса — он убедился, что явление универсально и имеет физическую природу.
Он проверил множество гипотез: может быть, частицы двигаются из-за течения воды, нагрева, испарения или вибраций? Всё это он последовательно исключил.
Наконец, Броун предположил: движение вызвано ударами невидимых микроскопических частиц — молекул жидкости.
Каждое отдельное столкновение слишком слабо, чтобы его заметить, но в совокупности они создают видимое движение
Однако в XIX веке эта идея оставалась спекулятивной. Теория атомов была скорее философской, чем физической. Чтобы понять контекст, стоит коротко напомнить, как менялись представления о материи.
В V веке до н. э. Демокрит предположил, что весь мир состоит из атомов — неделимых частиц, движущихся в пустоте. Аристотель отвергал эту теорию: он считал, что вещество непрерывно и пустоты не существует. Эта точка зрения надолго стала доминирующей.
Только в XVII веке, с появлением теории света Ньютона, идея частиц снова обрела значение. В XVIII–XIX веках учёные вроде Дальтона, Авогадро, Максвелла и Больцмана начали использовать молекулы как рабочую модель для описания газа, давления и температуры. Но даже в конце XIX века физики оставались скептичны: атомы нельзя было «увидеть», и всё, что на них указывало, было косвенным.

Ситуация начала меняться в 1905 году. Это был один из самых насыщенных лет в истории науки — и в жизни Альберта Эйнштейна. Он опубликовал сразу пять работ: среди них — первая статья о специальной теории относительности, статья о фотоэффекте (за которую он получил Нобелевскую премию) и статья о диффузии — которая считается первой работой по статистической физике.
Описывать свойства каждой отдельной траектории частицы сложно: движение хаотично, и два запуска дадут разные результаты. Гораздо проще говорить о среднестатистической частице — например, о том, где она окажется с наибольшей вероятностью. В своей статье Эйнштейн предположил, что частица сталкивается с молекулами жидкости, и вывел из этого статистический закон, которому должно подчиняться её положение во времени.
Представим, что мы запускаем много частиц из одной и той же точки и через заданное время измеряем, куда каждая из них дошла. Плотность вероятности — это функция, показывающая, как распределены эти положения. То есть то, насколько вероятно, что частица окажется вблизи той или иной точки. Эта функция меняется с течением времени — и, как показал Эйнштейн, она должна удовлетворять уравнению теплопроводности.
Это — дифференциальное уравнение, описывающее, как со временем изменяется распределение. Изначально все частицы были в одной точке, но по мере движения их плотность «расплывается» — примерно так же, как рассеивается тепло от горячего тела.
Такое сходство не случайно: уравнение теплопроводности описывает не только температуру, но и вероятность — если ее интерпретировать как нечто, что распространяется от точки к точке под действием случайности.
С помощью уравнения теплопроводности, Эйнштейн рассчитал среднее удаление частицы от начального положения за заданное время. Он усреднил квадрат расстояния по всем возможным траекториям и извлёк корень. Полученная формула показала: среднее смещение растёт как корень из времени.
Это означало, в частности, что если капнуть чернила в воду и подождать в четыре раза дольше, пятно станет в два раза шире. Чтобы обогреть комнату вдвое больших линейных размеров, потребуется в четыре раза больше времени.
На этой формуле основаны многие оценки в физике, химии и биологии: время диффузии через мембрану, время перемешивания в жидкости, время сближения молекул в растворе.
Формула не только объясняла наблюдаемое явление, но и связывала его с измеримыми величинами: температурой, вязкостью, размером частиц, числом Авогадро. Предсказание было количественным — и его можно было проверить.
Французский физик Жан Батист Перрен провёл серию экспериментов, измеряя среднее удаление частиц и подставляя данные в формулу Эйнштейна. Так он вычислил число Авогадро — и его результаты совпали с уже известными значениями. Эти эксперименты стали решающим подтверждением атомной теории. За эту работу Перрен получил Нобелевскую премию по физике в 1926 году.
Так исследование математической модели позволило предсказать физическое явление еще до его наблюдения. А еще показало, как можно описывать случайность строго — и как физика приводит к вероятностным законам.
Теперь мы готовы перейти к математической стороне: как формализовать случайное движение и как работает модель, которую мы будем изучать дальше.

Когда Эйнштейн описывал броуновское движение, он рассматривал не конкретные траектории частиц, а их вероятностное распределение. Для этого не обязательно понимать поведение конкретной траектории — достаточно описать статистические свойства: как ведут себя частица в среднем, как быстро ее положение «расползается» со временем, и насколько сильно отклоняются траектории от центра.
Чтобы сделать рассматривать конкретные траектории, нужна математическая модель.
Такую модель в 1928 году построил Норберт Винер. Она получила название винеровский процесс и считается точной моделью броуновского движения. Это случайный процесс, то есть семейство случайных величин W(t), зависящих от времени.
Приведём формальное определение. Оно техническое, и если вы не знакомы с вероятностными процессами — не обязательно в него вникать. Мы приводим его здесь для полноты изложения: дальше в тексте этим определением пользоваться не будем.
Винеровский процесс — это случайная функция
W(t), обладающая следующими свойствами:
Начальное значение
W(0) = 0.Причащения
W(t₂) − W(t₁),W(t₃) − W(t₂)и т.д. независимы между собой при любом выбореt₁ < t₂ < t₃ < ….Каждое приращение
W(t + s) − W(t)распределено нормально:W(t + s) − W(t) ∼ N(0, s).
Эта модель обладает симметрией: изменив масштаб по времени и расстоянию, мы получим ту же самую картину в статистическом смысле. Это свойство делает модель удобной для анализа, но работа с ней напрямую требует сложного математического аппарата: траектория винеровского процесса — это не обычная функция, а объект, который изучается в рамках теории вероятностных мер на пространстве функций.
Поэтому в практических задачах часто используют дискретную модель, приближающую броуновское движение. Представим, что частица делает случайный скачок каждые ε секунд, и каждый скачок имеет длину σ. Тогда за конечное время она делает конечное число шагов, и всё движение сводится к последовательности независимых случайных сдвигов.
Если предположить, что направление скачков выбирается случайно и симметрично, то в пределе, при ε→0, σ→0, и σ^2/ε=const, дискретная модель стремится к винеровскому процессу. Этот переход называется предельным переходом и формально доказывается с помощью закона больших чисел и центральной предельной теоремы.
Чтобы ещё сильнее упростить модель, можно ограничиться блужданием на решётке.
Допустим, частица находится на квадратной сетке и на каждом шаге с вероятностью 1/4 сдвигается в одну из четырёх сторон: вверх, вниз, влево или вправо.
Такая модель называется симметричным случайным блужданием на решётке.
В более общем виде можно рассматривать решётки в других размерностях, блуждания с другим шагом, и даже блуждания на графах.
Несмотря на упрощённость, модель сохраняет ключевые свойства. То, что мы теряем в точности, мы выигрываем в удобстве: с дискретным блужданием можно работать в явном виде, и часто оно даёт хорошее приближение к более сложным процессам.
Случайные блуждания используются не только в физике. В начале XX века французский математик Луи Башелье первым применил эту модель к финансовым рынкам, описав с её помощью поведение цен на бирже. Его работа предвосхитила идеи, которые спустя десятилетия легли в основу современной финансовой математики.
В 1970-х Роберт Мертон и Майрон Шоулз развили эти идеи в модель Блэка–Шоулза, которая позволяет оценивать стоимость опционов — и за которую они получили Нобелевскую премию по экономике. Случайные блуждания стали фундаментом математических моделей риска, доходности и волатильности, на которых сегодня строится вся индустрия финансовых деривативов.
Получается, случайные блуждания моделируют очень разные существующие системы
-
В одномерном случае — флуктуации цен на бирже
-
В двумерном — диффузию на поверхности или движение частиц в тонком слое жидкости
-
В трёхмерном — поведение молекул газа
Чем выше размерность, тем больше возможных направлений движения — и это влияет на вероятностные свойства процесса, о чём пойдёт речь позже.

Рассмотрим простейшую модель случайного движения — одномерное симметричное случайное блуждание. Докажем для него результат, аналогичный формуле Эйнштейна
Частица движется по числовой прямой. На каждом шаге она случайным образом сдвигается на +1 или –1 с равной вероятностью. Мы будем считать, что таких шагов сделано n, и далее использовать n как обозначение для дискретного времени.
Траектория частицы задаётся последовательностью из n шагов. Каждый шаг — это результат подбрасывания честной монетки: если выпал орёл — шаг вправо, если решка — шаг влево. Таким образом, блуждание — это реализация схемы Бернулли длины n. Обозначим шаги как S₁, S₂, …, Sₙ, где каждый Sᵢ ∈ {−1, +1}.
Рассмотрим координату частицы после N шагов. Это сумма всех сдвигов:

Какое значение можно ожидать в среднем?
Ответ: математическое ожидание координаты равно нулю. Это можно объяснить двумя способами. Во-первых, каждый шаг имеет среднее значение 0, а сумма средних равна среднему от суммы. Во-вторых — и это важно для интуиции — можно использовать симметрию пространства траекторий.
Каждой возможной траектории соответствует зеркальная: если одна делает шаги вправо и влево в определённой последовательности, другая делает в точности противоположные шаги в те же моменты времени. Если одна траектория заканчивается в точке +k, вторая — в −k. А поскольку все траектории равновероятны, положительные и отрицательные значения уравновешивают друг друга. Отсюда — средняя координата равна нулю.
Но это не значит, что частица остаётся рядом с начальной точкой. Чтобы измерить типичное удаление от начала, нужно смотреть не на Xₙ, а на его квадрат. В ситуациях, где математическое ожидание равно 0, средняя величина квадрата — это дисперсия, и она даёт наиболее естественную характеристику разброса значений.
Так как все шаги независимы и имеют дисперсию 1, дисперсия координаты после n шагов равна:


Получается, средний квадрат расстояния растёт линейно, а характерное удаление — как √n.
Мы получили результат, аналогичный формуле Эйнштейна для диффузии — только не для непрерывного винеровского процесса, а для дискретного случайного блуждания.
Это рассуждение справедливо в любой размерности. Если частица на каждом шаге делает случайный сдвиг по сетке в двумерном или трёхмерном пространстве, та же логика применима: среднее положение — в центре, средний квадрат расстояния — пропорционален числу шагов. То есть траектории расползаются, но медленно, в масштабе √n.

Прежде чем переходить к коту Барсику, разберем другую задачу
Представим двух игроков, которые играют в орлянку.
В каждом раунде один выигрывает у другого: монета честная, вероятность выигрыша и проигрыша равна
½. Каждая ставка — 1 рубль.Игра продолжается до тех пор, пока кто-то не разорится.
Пусть у первого игрока в начале
aрублей, а у второго —b. Какова вероятность того, что первый игрок в итоге выиграет всю сумму, а второй останется с нулём?
Эта ситуация моделируется как одномерное случайное блуждание, стартующее из точки n = a, между двумя поглощающими границами: 0 и a + b. При выигрыше первого двигаемся на шаг вправо (на +1), при проигрыше — на шаг влево (на –1).
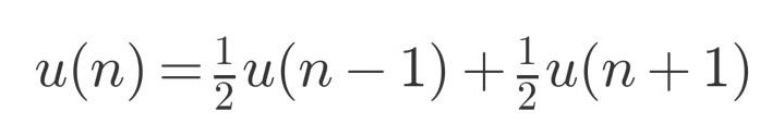
Нас интересует вероятность того, что блуждание достигнет точки a + b раньше, чем точки 0. Обозначим через u(n) вероятность выигрыша игрока, если у него сейчас n рублей. Очевидно выполнены два граничных условия:
-
u(0) = 0— если игрок уже разорён, он заведомо проиграл; -
u(a + b) = 1— если у него вся сумма, он уже выиграл.
Что происходит между этими значениями?
Для любого 0 < n < a + b можно рассмотреть два возможных варианта:
-
Игрок проигрывает 1 рубль, и дальше выигрывает — это происходит с вероятностью
½, и вероятность выигрыша равнаu(n − 1); -
Игрок выигрывает 1 рубль — также с вероятностью
½— и дальше выигрывает в вероятностьюu(n + 1).
По формуле полной вероятности, общее значение u(n) — это сумма:

Решение такого уравнения — арифметическая прогрессия. С учетом граничных условий:

Это и есть вероятность того, что игрок с n рублей выиграет всю сумму.
Таким образом, модель позволяет получить точную количественную оценку зависимости выигрыша от начального капитала.
Можно также задать другие вопросы:
-
Сколько в среднем продлится игра?
-
Какова вероятность разорения за заданное число раундов?
-
Как изменится результат, если монета нечестная (вероятность выигрыша — не
½)?
На самом деле, мы только что решили одномерную версию задачи о коте. Представим, что весь город — это одна прямая улица, а Барсик начинает с некоторой точки между ветеринарной клиникой и ларьком. Клиника в этой модели — это разорение, ларек — выигрыш. Вероятность того, что он дойдёт до ларька раньше, чем до клиники, как раз и описывается решённой нами формулой: u(n) = n / (a + b).
В следующем разделе мы увидим, как похожее уравнение возникает уже не на прямой, а на плоской решётке, и как оно описывает вероятность того, что кот попадёт в ларек, а не уедет домой.

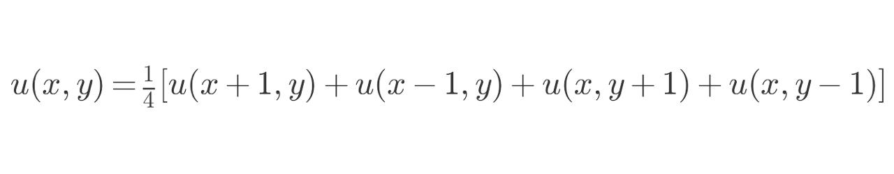
Вернёмся к коту Барсику. Теперь город — это не одна улица, а целая решётка перекрёстков. кот начинает с заданной точки и на каждом перекрёстке выбирает одно из четырёх направлений с равной вероятностью. Если он попадёт в ларек — вечер удался; если окажется у клиники — побежит домой. Вопрос остаётся тем же: с какой вероятностью он попадет в ларек?
Эта задача — обобщение задачи о разорении: там была одна координата, здесь — две. Но суть и метод решения очень похожи.
Обозначим за u(x, y) вероятность попасть в ларек из точки (x, y) . Если (x, y) внутренняя точка, то u(x, y) равна среднему значению функции в соседних точках

Это следует из формулы полной вероятности: с равной вероятностью кот переходит в одну из соседних точек, и в каждой из них вероятность выигрыша это искомая функция.
Такая функция называется гармонической: она удовлетворяет предыдущему уравнению в каждой внутренней точке, а на границе принимает фиксированные значения (0 — если это клиника, 1 — если ларек). Найти такую функцию на заданной области с заданными условиями — это классическая задача Дирихле. Решим ее в нашем случае.
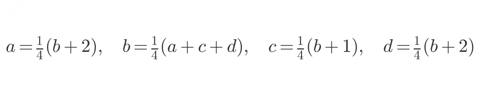
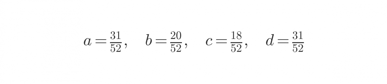
Обозначим буквами вероятности Барсика попасть в ларек
Предыдущие условия определяют систему

Решая ее, находим искомые вероятности

Этот подход позволяет решать задачи не только на прямоугольных решётках. Мы можем задать произвольную форму города — и даже заменить решётку на граф, где каждая вершина соответствует перекрёстку, а рёбра — улицам. Вероятность выигрыша всё так же определяется как решение системы уравнений, одно на каждую вершину.

Мы рассмотрели задачу о коте Барсике и научились находить вероятность выигрыша как решение задачи Дирихле: гармоническая функция, равная 1 или 0 в гранитных точках. Такая функция всегда существует и единственна — это важный факт, который не сложно доказать. Это позволяет искать решение очень разными способами.
Можно решить задачу численно: составить систему линейных уравнений и найти её решение. Можно приближённо: смоделировать случайное блуждание и посчитать долю траекторий, дошедших до ларька.
А можно — физически: представить город как электрическую цепь, в которой каждое ребро — резистор, клиники — заземление, а ларьки подключены к батарейке. Закон Кирхгофа утверждает, что напряжение в вершинах — гармоническая функция: оно совпадает с вероятностью выигрыша.
Есть и еще один способ — мыльные плёнки. Если правильным образом изогнуть границу области и превратить его в каркас, опустить его в мыльный раствор, то высота получившейся плёнки даст ту же самую гармоническую функцию.
Так разные области знаний — линейная алгебра, теория вероятностей, физика, геометрия — приводят к одному и тому же объекту. И это не случайность: универсальность гармонических функций даёт возможность смотреть на одну и ту же задачу с разных сторон.
Эта взаимосвязь работает в обе стороны. Например, можно вычислить напряжение в цепи методом Монте-Карло — симулируя случайные блуждания (говорят, так делали инженеры Манхэттенского проекта). А можно найти вероятность возвращения, просто собрав цепь на макете, и померив напряжение в нужной точке.
Напоследок мы должны хотя бы упомянуть самое известное утверждение о случайных блужданиях — теорему Пойа о возвращении. Она утверждает: траектория частицы, посетив некоторую точку, обязательно (то есть с вероятностью 1) вернется в нее в какой-то момент, если размерность ≤ 2, и не обязательно — если ≥ 3. В 1D и 2D кот Барсик почти наверняка вернётся домой, в 3D — есть шанс, что он потеряется навсегда.
Этот факт можно красиво и просто доказать с помощью электрических цепей. Но это уже другая история.

Задача
В прошлый раз мы обсуждали такую задачу
Если ответ на этот вопрос выбирается случайно, какова вероятность того, что будет выбран правильный ответ?
а) 0% б) 25% в) 50% г) 25%
Это логический парадокс, на который не существует ответа. Объясним, почему
Допустим сначала, что правильного ответа среди вариантов нет. Тогда вероятность выбрать его случайно — 0%. Но в списке есть вариант с ответом 0% — а значит, он оказывается верным. Противоречие. Значит, какой-то правильный ответ в списке всё-таки есть.
Следовательно, вероятность не может быть 0% — иначе мы не могли бы попасть в правильный вариант, а мы только что доказали, что он существует.
Теперь переберем оставшиеся варианты:
-
Допустим, правильный ответ — 50%. Но такой вариант в списке один, и вероятность попасть в него случайно — 25%. Значит, 50% — не может быть правильным ответом.
-
Допустим, правильный ответ — 25%. Таких вариантов в списке два. Вероятность попасть в один из них — 50%. Значит, 25% — тоже не может быть правильным ответом.
Таким образом утверждение "В списке есть правильный ответ на вопрос" не может быть ни верным, ни ложным. То есть это логический парадокс, напоминающий парадокс лжеца
А вот задача на этот раз:
Кот Барсик гуляет по ребрам правильного
(A) куба; (B) октаэдра; (C) додекаэдра; (D) икосаэдра
останавливаясь в вершинах и случайным образом выбирая направление движения. Он стартует из некоторой вершины. С какой вероятностью он достигнет противоположной вершины раньше, чем вернётся в старовую?
Можно решить систему уравнений, симулировать блуждание и найти вероятность методом Монте-Карло или подумать, как устроена соответствующая электрическая цепь
Присылайте ответы в комментарии. Удачи!
Автор: d1-d5
