Глава из книги Александра Волошинова «Математика и искусство» (Москва: Просвещение, 1992)
Почтенный Пифагор отвергал оценку музыки, основанную на свидетельстве чувств. Он утверждал, что достоинства ее должны восприниматься умом, и потому судил о музыке не по слуху, а на основании математической гармонии и находил достаточным ограничить изучение музыки пределами одной октавы.
Плутарх
Строго говоря, речь здесь пойдет о пифагоровом строе. Что же такое гамма и строй в музыке?
Гаммой, или звукорядом, называется последовательность звуков (ступеней) некоторой музыкальной системы (лада), расположенных, начиная от основного звука (основного тона), в восходящем или нисходящем порядке. Название «гамма» происходит от греческой буквы Гγ (гамма), которой в средние века обозначали крайний нижний тон звукоряда, а затем и весь звукоряд.
Важнейшей характеристикой музыкального звука является его высота, представляющая отражение в сознании частоты колебания звучащего тела, например струны. Чем больше частота колебаний струны, тем «выше» представляется нам звук.
Каждый отдельно взятый звук не образует музыкальной системы и, если он не слишком громкий, не вызывает у нас особой реакции. Однако уже сочетание двух звуков в иных случаях получается приятным и благозвучным, а в других, наоборот «режет» ухо. Согласованное сочетание двух звуков называется консонансом, несогласованное — диссонансом. Ясно, что консонанс или диссонанс двух тонов определяются высотным расстоянием между этими тонами или интервалом.
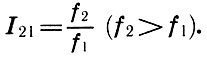
Интервалом между двумя тонами назовем порядковый номер ступени верхнего тона относительно нижнего в данном звукоряде, а интервальным коэффициентом I21 двух тонов — отношение частоты колебаний верхнего тона к частоте нижнего*:
(6.1)
* (В теории музыки понятия интервала и интервального коэффициента строго не разграничены. Следуя традиции, мы часто для краткости будем называть интервальный коэффициент интервалом. )
Рассмотрим теперь некоторую совокупность звуков, нажав, например, на фортепиано последовательно несколько клавиш. Скорее всего, у нас получится бессвязный набор звуков, как говорится, ни складу ни ладу. В других случаях звуки вроде бы подходят, ладятся между собой, но их совокупность покажется оборванной, незаконченной. Эту последовательность так и хочется продолжить до определенной ноты, которая в данной системе звуков кажется наиболее устойчивой, основной и называется тоникой. Итак, звуки в музыкальной системе связаны между собой определенными зависимостями, одни из них являются неустойчивыми и тяготеют к другим — устойчивым.
Но не только тоника и совокупность устойчивых и неустойчивых звуков определяют характер музыкальной системы. Легко убедиться, нажав подряд восемь белых клавиш от ноты до (гамма до мажор натуральный) и от ноты ля (ля минор натуральный), что эти гаммы звучат по-разному: первая — мажор — звучит бодро и светло, а вторая — минор — грустно и пасмурно*. Следовательно, существует и другая характеристика системы звуков — наклонение: мажорное или минорное. Таким образом, мы приходим к одному из самых сложных понятий в теории музыки — понятию лада.
* (Характер звучания лада, конечно, не определяется столь грубо и однозначно. Вопрос этот очень деликатный, и о нем мы еще поговорим в конце главы. )
Ладом называется приятная для слуха взаимосвязь музыкальных звуков, определяемая зависимостью неустойчивых звуков от устойчивых, и прежде всего от основного устойчивого звука — тоники, и имеющая определенный характер звучания — наклонение. История музыкальной культуры знает множество ладов, свойственных разным народам и разным временам. Древние греки знали с десяток ладов, а лады некоторых восточных стран и Индии чрезвычайно сложны, своеобразны и непривычны для европейского слуха. Наиболее распространенные современные лады состоят из семи основных ступеней, каждая из которых может повышаться или понижаться, что дает еще пять дополнительных звуков. Таким образом, диатоническая (7-ступенная) гамма лада превращается в хроматическую (12-звуковую). Первой ступенью лада является тоника. Законы строения лада — это целая наука, краеугольный камень музыкознания, а изучению этих законов многие ученые и композиторы посвятили всю свою жизнь.
Нас же будут в первую очередь интересовать математические закономерности, описывающие строение лада, т. е. музыкальный строй. Музыкальным строем называется математическое выражение определенной системы звуковысотных отношений. Помимо чисто теоретического интереса строй находит применение при настройке музыкальных инструментов с фиксированной высотой звуков, таких, как фортепиано или орган.
В заключение заметим, что наши эксперименты с нажатием клавиш на фортепиано могут закончиться самым редким и самым приятным феноменом, когда взятая система звуков будет не только принадлежать к какому-либо ладу, но и будет носить осмысленный характер. Такой художественно осмысленный последовательный ряд звуков разной высоты называется мелодией. Это как раз то, что мы так любим напевать в зависимости от нашего настроения — бодрого, грустного, веселого…
После такого кратчайшего экскурса в теоретическое музыкознание мы можем вернуться на берега солнечной Эллады во времена мудрого Пифагора. Попытаемся восстановить рассуждения Пифагора и его учеников при построении пифагорова строя, ибо именно этот строй определил на тысячелетия, если не навечно, все развитие музыкальной культуры, не только европейской, но и восточной. Сам Пифагор не оставил никаких письменных работ, да и наследие пифагорейцев представляется безнадежной грудой развалин, т. е. собранием случайно уцелевших фрагментов и более поздних цитат. Бесспорно, развалины эти прекрасны и поныне поражают воображение, как развалины знаменитого Парфенона, однако многое в этих обломках бесследно утеряно и о целом часто можно только догадываться. И все-таки…
Монохорд — однострунный — был одним из первых музыкальных инструментов древних греков. Это был длинный ящик, необходимый для усиления звука, над которым натягивалась струна. Снизу струна поджималась передвижной подставкой для деления струны на две отдельно звучащие части. На деревянном ящике под струной имелась шкала делений, позволявшая точно установить, какая часть струны звучит. Конечно, как музыкальный инструмент монохорд покажется нам слишком примитивным, однако он был прекрасным физическим прибором и учебным пособием, на котором античные созерцатели постигали премудрости музыкальной грамоты.
Древние уверяли, что уже Пифагор знал законы колебания струны монохорда и построения музыкальных созвучий (консонансов), однако запись об этих законах мы находим у пифагорейца Архита из Тарента (428-365 гг. до н. э.), жившего На полтора столетия позже Пифагора. Архит был, безусловно, самым выдающимся представителем пифагорейской школы, другом философа Платона и учителем математика Евдокса (ок. 408 — ок. 355 гг. до н. э.), государственным деятелем и полководцем. Многосторонность Архита поразительна: он решил знаменитую де-лосскую задачу об удвоении куба, заслуженно считался крупнейшим пифагорейским теоретиком музыки, первым упорядочил механику на основе математики и свел движения механизмов к геометрическим чертежам, работал над деревянной моделью летающего голубя. По мнению Ван дер Вардена, Архит является автором VIII книги «Начал» Евклида, в которой изложена арифметическая теория пропорций. Как государственный деятель Архит пользовался исключительным уважением: он семь лет подряд избирался стратегом*, хотя по закону стратеги выбирались лишь на один год. Путем искусных дипломатических маневров Архит вызволил из плена Платона и тем самым спас жизнь великому философу. «Славный Архит, земель, и морей, и песков исчислитель...» — писал Гораций.
* (Стратег — в древнегреческих городах-государствах военачальник, облеченный ши-кими военными и политическими полномочиями. )
«Законы Пифагора — Архита», на которых основывалась вся пифагорейская теория музыки, можно сформулировать так:
1- Высота тона (частота колебаний f) звучащей струны обратно пропорциональна ее длине l:
(6.2)
здесь а — коэффициент пропорциональности, зависящий от физических свойств струны (толщины, материала и т. п.).
2. Две звучащие струны дают консонанс лишь тогда, когда их длины относятся как целые числа, составляющие треугольное число 10 = 1 + 2 + 3 + 4, т. е. как 1:2, 2:3, 3:4.
Эти интервалы — «совершенные консонансы», и их интервальные коэффициенты позже получили латинские названия*:
* (Названиями интервалов в музыке служат латинские числительные, которые указывают порядковый номер ступени звукоряда, составляющей интервал с исходной ступенью: октава — восьмая, квинта — пятая, кварта — четвертая и т. д.)
октава

квинт

кварта


Треугольное число 10
Было замечено также, что наиболее полное слияние тонов дает октава (2/1), затем идут квинта (3/2) и кварта (4/3), т. е. чем меньше число п в отношении вида
тем созвучнее интервал.
«Второй закон Пифагора — Архита» и сейчас кажется удивительным. Что же говорить о пифагорейцах, которых он просто привел в восторг! Здесь они нашли подтверждение всей своей философии: целые числа, более того, числа тетрактиса правят всем, даже музыкой! Пифагорейцы не заставили себя долго ждать и распространили закон музыкальных отношений всюду, где это возможно, в том числе и на строение вселенной.
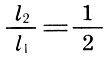
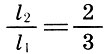
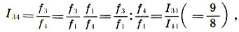
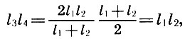
Итак, если в качестве цены деления шкалы монохорда взять отрезок l, равный 1/12 длины струны монохорда l1, то вместе со всей струной монохорда длины l1 = 12l будут созвучны ее части длины l2 = 6l — звук на октаву выше (l2/l1 = l/2), l3 = 9l — звук на квинту выше (l3/l1 = 2/3) и l4 = 8l — звук на кварту выше (l4/l1 = 3/4). Это созвучие и определяющие его числа 6, 8, 9, 12 назывались тетрада (четверка). Пифагорейцы считали, что тетрада — это «та гамма, по которой поют сирены». При настройке античной лиры, ставшей символом музыки, четыре ее струны обязательно настраивались по правилу тетрады, а настройка остальных струн зависела от лада, в котором предстояло на ней играть.
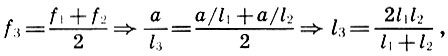
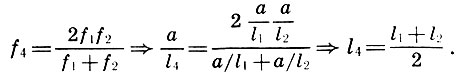
Но для античного мыслителя было мало установить численные значения изучаемых величин. Пифагорейский глаз и ум привыкли не только измерять, но и соизмерять, т. е. раскрывать внутренние связи между изучаемыми предметами, другими словами, устанавливать пропорциональные отношения. Архит был истинным пифагорейцем, и он установил пропорциональные отношения между основным совершенным консонансом — октавой, квинтой и квартой. Решение это было получено Архитом в связи с желанием разделить октаву на благозвучные интервалы. Вероятно, Архит исходил из того интуитивно очевидного предположения, что вместе с тонами f1 и f2 = 2f1, дающими основной консонанс — октаву, должно дать консонанс и их среднее арифметическое f3 = (f1 + f2)/2. Но тогда длина струны l3 выразится через длины струн l1 и l2 согласно (6.2) следующим образом:

т. е. l3 есть среднее гармоническое l1 и l2 (см. 5.1). Легко обнаружить и обратное: среднее гармоническое для частот f1 и f2 переходит в среднее арифметическое для длин l1 и l2:

Вспоминая, что
мы вместе с Архитом приходим к важному выводу:
(6.3)
(6.4)
т. е. квинта есть среднее гармоническое длин струн основного тона l1 и октавы l2, а кварта — среднее арифметическое l1 и l2.
Но произведение среднего арифметического на среднее гармоническое равно произведению исходных чисел:
(6.5)
откуда, разделив обе части на l12, получаем второй важный вывод:
(6.6)
или

т. е. октава есть произведение квинты на кварту.
Разделив же (6.5) на l1l3, Архит получает и третью из основных пропорций -геометрическую:
(6.7)
которую называли «музыкальной»: октава так относится к квинте, как кварта к основному тону.

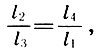
Деление струны монохорда (l1) на части, образующие с ней совершенные консонансы: октаву (l2), квинту (l3) и кварту (l4) и соотношения между ними. Интервалы, которые целая струна монохорда образует со своими частями, показаны красными стрелками
Легко получить еще два соотношения:
(6.8)
т. е. октава делится на два неравных консонансных интервала — квинту и кварту. Интервал, дополняющий данный интервал до октавы, называется его обращением. Таким образом, квинта есть обращение кварты и наоборот.
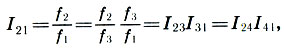
Наконец, найдем интервальный коэффициент между струнами квинты l3 и кварты l4, который вместе со своим интервалом называется тоном (не нужно путать тон-интервал и тон-звук данной высоты):
(6.9)
т. е. тон-интервал равен отношению квинты к кварте.
Заметим, что в отличие от обычного расстояния на прямой r21 = х2 — x1 определяемого как разность координат конца и начала, интервальный коэффициент — высотное расстояние — определен как отношение составляющих его тонов
Тогда три тона f1 <f2 <f3, расположенных на равных расстояниях r и образующих арифметическую прогрессию x1, х2 = x1 + r, x3 = x1 + 2r. Поэтому интервальные коэффициенты складываются и вычитаются «геометрически», а сами интервалы — «арифметически», как обычные расстояния, а именно:
сумма двух интервалов равна произведению их интервальных коэффициентов:
(6.10)
разность двух интервалов равна частному их интервальных коэффициентов:
(6.11)
разделить интервал на n равных частей означает извлечь корень степени n из его интервального коэффициента:
(6.12)
и т. д.
Чтобы перейти от интервальных коэффициентов к интервалам-расстояниям, достаточно ввести логарифмический интервал L = loga I и логарифмическую частоту F = loga f. Тогда, логарифмируя определение (6.1) и равенства (6.10) — (6.12) получаем привычное определение и правила действия с расстояниями:
(6.13)
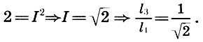
Решение проблемы деления октавы подсказало Архиту сразу два доказательства иррациональности
. В самом деле, если попытаться разделить октаву на два равных интервала I, то, полагая в (6.8) I23 = I31 = I, имеем

Но при таком соотношении длин струн прослушивается явный диссонанс. Поскольку же консонанс определяется отношением целых чисел вида (n+1):2, то напрашивается мысль, что число
не может быть выражено отношением двух целых чисел, т. е. является иррациональным.
Второе доказательство иррациональности
менее музыкально, но более математично. Чтобы найти квадратный корень числа, не являющегося полным квадратом, Архит разлагает его на два неравных сомножителя (2 = 1*2), затем образует из этих сомножителей среднее арифметическое 3/2 и среднее гармоническое 4/3 и составляет из этих чисел музыкальную пропорцию (6.7):

Произведение средних членов этой пропорции равно данному числу 2, а их разность
меньше, чем разность нулевого приближения 2 — 1 = 1. Следовательно,
можно рассматривать как приближенные значения
.
(3/2 с избытком, 4/3 с недостатком ].
Проделав ту же процедуру над первыми приближениями, получим вторые приближения:

причем

а затем — и третьи приближения:

причем
1,414216-1,414211=0,000005.
Поскольку данную процедуру можно повторять неограниченно, то ясно, что число
иррациональное. Попутно мы убеждаемся в справедливости пифагорейской мысли о том, что чем больше целые числа в отношении, тем точнее они выражают иррациональное число (см. с. 96). Наконец, вспоминая, что значение
равно 1,414213..., мы видим, что «музыкальный» метод Архита очень быстро сходится к точному значению
и уже третье приближение дает пять верных знаков после запятой!
Но вернемся к нашим интервалам. Итак, октава делится на два неравных консонанса квинту и кварту, а квинта — на консонанс кварту и диссонанс тон. Тон-интервал и был принят за интервал между соседними по высоте звуками (ступенями) при построении пифагоровой гаммы. Здесь и находится ключ к построению лада. По мнению советского музыковеда Л. А. Мазеля, интервал квинты, разделенный на кварту и тон, является основным музыкальным элементом. Выбрав тон в качестве основной ладообразующей ступеньки, античным теоретикам осталось только отложить от основного звука
, затем — еще один тон
, а оставшийся интервал между вторым тоном и тоном кварты
назвать полутоном
Название это вполне оправдано, так как деление тона-интервала пополам по формуле (6.12) дает
т. е. полутон практически равен половине тона*. Так была получена основа всей древнегреческой музыки — тетрахорд — четырехструнный звукоряд в пределах кварты.
* (Интервал тона (полутона) в теории музыки принят в качестве единицы арифметического измерения интервалов, а сами интервалы тона и полутона в отличие от их интервальных коэффициентов называют большой и малой секундами.)
Ясно, что имеется только три возможности для положения полутона в пределах тетрахорда, что и определяло характер и название тетрахорда:
дорийский: полутон — тон — тон;
фригийский: тон — полутон — тон;
лидийский: тон — тон — полутон.
Названия тетрахордов указывают на соответствующие области Греции и Малой Азии, каждая из которых пела в своем ладу.
Конечно, четырех струн в пределах кварты было мало для ведения мелодии, поэтому тетрахорды соединялись. Мы уже выяснили, что октава состоит из двух кварт и тона; следовательно, в пределах октавы можно расположить два тетрахорда, разделенных интервалом в тон. Объединяя с помощью разделительного тона два одноименных тетрахорда, получили октаву, которую греки называли «гармония». Именно в античной теории музыки слово «гармония» обрело свое современное значение — согласие разногласного. Таких основных видов гармонии по числу тетрахордов получалось три:



Здесь 1 обозначает тон, 1/2 — полутон, разделительный тон обведен кружком. Эти античные гармонии сопоставимы с современными гаммами. В самом деле, каждый, знакомый с азами музыкальной грамоты, узнает в лидийской гармонии обычный натуральный мажор (2 тона — полутон, 3 тона — полутон, или на белых клавишах фортепиано до-ре-ми-фа-соль-ля-cи-дo), а в дорийской и фригийской — почти натуральный минор*.
* («Почти» потому, что в сравнении с натуральным минором (1 — 1/2 — 1 — 1 — 1/2 — 1 — 1) у дорийской гаммы понижена вторая ступень, а у фригийской — повышена шестая.)

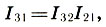
Пифагоров строй лидийской гаммы и его математические характеристики
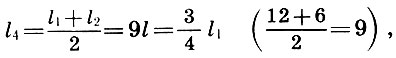
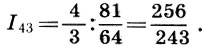
Зная размеры интервалов, образующих, например, лидийскую гармонию и правила действия с ними, легко получить математическое выражение этой гаммы, т. е. построить ее пифагоров строй. Приняв частоту нижнего тона за единицу f1 = 1, oнаходим первый тетрахорд: f1 = 1, f2 = 9/8, f3 = 9/8*9/8=81/64, f4=4/3. Второй тетрахорд получается сдвигом первого на квинту: f5 = 3/2fl = 3/2, f6 = 3/2f2 = 27/16, f7 = 3/2f3 = 243/128, f8 = 3/2f4 = 2. Окончательно для интервальных коэффициентов имеем
(6.14)
Это и есть канон Пифагора. По преданию, канон Пифагора впервые нашел практическое применение при настройке лиры легендарного Орфея.
Существовал и другой способ расположения тетрахордов в октаве. Античные теоретики «склеивали» тетрахорды так, что верхний звук одного тетрахорда являлся нижним звуком второго. Тогда дополняющий до октавы тон помещали внизу или наверху такой системы. Если этот тон помещался внизу, то к названию тетрахорда прибавляли приставку гипо-(под-), а если наверху — приставку гипер- (над-). Так получалось еще 6 гармоний, среди которых две пары (гипо-фригийская — гиперлидийская и гиподорийская — гиперфригийская) оказывались совершенно одинаковыми. Отбросив две лишние гаммы, оставалось семь основных ладов. Эти лады имели огромное значение не только в античной музыке, но и через тысячу лет продолжали жить в средневековых ладах, а через две тысячи лет живут в современных натуральных ладах. Правда, средневековые монахи перепутали названия своих ладов в сравнении с античными, что часто порождает различные недоразумения. В таблице 1 собраны все основные античные лады, указан порядок следования в них интервалов, считая, что нижний звук расположен слева, а верхний — справа, приведены их древнегреческие и средневековые названия и указано их наклонение. Разделительный тон обведен кружком.

Таблица 1. Порядок следования интервалов тон (1) и полутон (1/2) в античных ладах (снизу вверх), древнегреческие и средневековые названия ладов и их наклонения
Если вспомнить, что сейчас господствуют только два лада — мажор и минор, то остается только удивляться, насколько утонченным было античное музыкальное сознание. Каждый лад греки наполняли определенным этико-эстетическим содержанием, его «этосом», устанавливая ясную связь между музыкальными образами и состояниями души. Музыке приписывали магические и даже врачебные Функции, но особенное значение придавалось музыке как средству воспитания.

Пляшущая менада. Рельеф
Так, развивая в работе «Государство» теорию идеального государства, Платон исключительное значение придает воспитательной роли музыки. Примечательно, что здесь Платон перекликается с другим выдающимся мыслителем, жившим на другом конце Земли за двести лет до Платона,- древнекитайским философом Конфуцием (ок. 551-479 гг. до н. э.), сказавшим: «Если хотите знать, как страна управляется и какова ее нравственность — прислушайтесь к ее музыке». Платон для мирной жизни оставляет один строгий дорийский лад, считая его подлинно греческим, мужественным, деятельным. Для чрезвычайного события, каковым, например, является война, Платон оставляет фригийский лад как наиболее страстный. Лидийский же лад он называет печальным, погребальным, соответствующим женской, а не мужской психике и потому неуместным в идеальном государстве. Остальные лады как слишком утонченные Платон также отбрасывает, неукоснительно проводя в воспитании принцип строгости и простоты. Безусловно, это не означает, что Платон плохо разбирался в музыке. Напротив, в музыке он находил чистый и возвышенный, «платонический» идеал прекрасного, идеал, лишенный вычурности, размягченности, грубых и разнузданных страстей.
Аристотель в «Политике» судит о ладах, пожалуй, еще строже Платона, признавая только дорийский лад как лад, способный тренировать психику. Тем не менее Аристотель делает подробную «этическую» классификацию ладов, различая лады, которые вызывают психическое равновесие (дорийский), напротив, нарушают его (гипофригийский — «застольный» лад), возбуждают волю и стремление к действию (гиподорийский — лад греческой трагедии), вызывают восторженное и экстатическое состояние (фригийский, гиполидийский).
Прекрасное описание «этоса» греческих ладов мы находим в книге древнеримского писателя Апулея (ок. 124 — ?) «Флориды»: «Жил когда-то флейтист по имени Антигенид. Сладостен был каждый звук в игре этого музыканта, все лады были знакомы ему, и он мог воссоздать для тебя, по твоему выбору, и простоту эолийского лада, и богатство ионийского, и грусть лидийского, и приподнятость фригийского, и воинственность дорийского».
Впрочем, стоп! Нет ли здесь противоречия? Дорийский лад называется воинственным, а ведь это, по существу, наш минор! Поскольку именно дорийский лад считался истинно греческим, то получается, что основной характер греческой музыки печальный, минорный. Для греков же дорийский лад является выражением бодрости, жизнерадостности и даже воинственности. Вот как объясняет это кажущееся противоречие выдающийся современный знаток античности, последний философ русского «серебряного века» профессор А. Ф. Лосев (1893-1988)*: «Греческое искусство — неизменное жизнеут-верждение. Благородная сдержанность и даже печаль не оставляют грека и тогда, когда он веселится, когда он бодро строит жизнь, когда он воюет и погибает. „Веселые“ же лады так или иначе тяготеют к этому прекрасному, благородному, бодрому, важному и в то же время величественно-печальному ладу — дорийскому. Дорийский лад — это скульптурный стиль греческой музыки… Так задумчива, печальна и благородна вся греческая скульптура».
* (Судьба Алексея Федоровича Лосева счастлива и трагична. Счастлива, потому что до последнего дня своей 95-летней жизни Лосев сохранил поразительную работоспособность и успел завершить главный труд — восьмитомную «Историю античной эстетики». Трагична, потому что другие восемь томов его сочинений, написанных на полвека ранее (1927 — 1930), были преданы анафеме, а сам автор, будучи незаконно репрессирован, продолжил свои философские изыскания на строительстве Беломорско-Балтийского канала, откуда он писал: «Я закован в цепи, когда в душе бурлят непочатые и неистощимые силы». Одна из этих работ Лосева — «Музыка как предмет логики» — могла бы служить путеводной звездой к этой книге. И все-таки судьба А. Ф. Лосева счастлива, ибо рукописи не горят. Сегодня огромное философское наследие А. Ф. Лосева обретает свое второе рождение. )
Ну а лидийский лад? Ведь это в точности наш мажор, тогда как Апулей называет его грустным, а Платон — погребальным! Что ж, в оценке лидийского лада с Платоном не соглашался уже Аристотель, находя в лидийском ладу наивную детскость и прелесть и относя его к ладам, вызывающим психическое равновесие. С течением времени лидийский лад утратил плачевный характер, и античные теоретики стали чаще говорить о «сладкой лидийской мелодии» или о «разнообразной лидийской мелодии».
Таким образом, мы видим, что вопрос об «этосе» ладов не решается однозначно и во многом определяется традицией применения того или иного лада. И в наше время слушатель, воспитанный, например, на тонкой и своеобразной индийской музыке, вообще не отличит мажора от минора, не говоря уж об их «этосе». Конечно, мажорный лад отличается более светлыми и радостными тонами и тому есть объективные причины, о которых мы расскажем в главе 10. Но реализация этих возможностей зависит от массы других факторов (темп, ритм, мелодический рисунок и т. д.), и поэтому есть много веселых, энергичных произведений в миноре и грустных, задумчивых — в мажоре. Вспомним хотя бы «Патетическую сонату» до минор Бетховена, этот огненно-страстный монолог Героя, зовущего на яростную схватку и даже на смерть. Многие художники подобрали многие эпитеты к этой сонате (хотя, пожалуй, лучший из них — патетическая — принадлежит самому Бетховену), но только грустной — минорной — ее назвать никак нельзя. Напротив, Ноктюрн № 2 соч. 9 ми бемоль мажор Шопена пронизан настроением нежной мечтательности. Это подернутые дымкой грусти воспоминания автора, но отнюдь не веселая — мажорная — пьеса. В заключение попытаемся сказать несколько слов об «этосе интервалов», ибо именно анализу музыкальных интервалов и посвящена настоящая глава. Попытаемся, потому что данный вопрос еще более спорный и неразработанный, чем «этос ладов». И все-таки…
До сих пор мы ничего не говорили о «самом совершенном консонансе» — приме (унисоне) (l2/l1 = 1, т. е. две струны издают звук одинаковой высоты), ибо с точки зрения математики этот интервал не представляет интереса. Однако в оркестре этот простейший интервал играет огромную роль, придавая данному звуку объемность и яркость.
Следующий совершенный консонанс — октава. При одновременном звучании октава также дает впечатление объемности звука, а при последовательном — ощущение простора и широты. Прекрасной тому иллюстрацией является «Песня о Родине» композитора И. О. Дунаевского (1900-1955). В ее запеве («От Москвы до самых до окраин...») дважды звучит восходящая октава (l1/l2 = 2), рисуя необъятные просторы нашей Родины. Здесь же после двух октав идет восходящая квинта. Квинта (l1/l2 = 3/2) также звучит широко, но более рельефно и динамично, чем октава.
Мелодии многих революционных песен и гимнов начинаются интервалом восходящей кварты (l1/l2 = 4/3), например «Интернационал», «Гимн Советского Союза», «Марсельеза». Здесь интервал кварты звучит решительно и активно, как призыв к действию.
Особый «этос» у интервала секунды: при одновременном звучании он диссонирует и неприятен, но при последовательном предыдущий звук как бы переливается в последующий, образуя естественное течение мелодии от одного звука к другому. В мелодии интервалы между двумя опорными звуками часто заполняются последовательными секундовыми интервалами. Например, песня «Во поле береза стояла» начинается интервалом квинты, заполненным последовательными секундами, что создает впечатление спокойного и величавого течения мелодии, как величавы и спокойны картины русской природы.
А наиболее неприятным и неблагозвучным является интервал тритон или полуоктава (l1/l2 =
). Своей неблагозвучностью этот интервал «подсказал» Архиту «музыкальное доказательство» иррациональности
.
Благодарность "Библиотеке по математике" за оцифровку книги.
Автор: altrus
