Развитые страны прошли пик смертей, можно понемногу расслабляться? Увы, два долгожданных и три недавних результата делают картину мрачнее. Что показывают свежие исследования на антитела, подсчёт отбираемых вирусом лет жизни и "потерянных" статистикой смертей, анализ картины заболевания и графики роста заражений в России?
Тесты на антитела указывают на высокую летальность
Минутка заботы от НЛО
В мире официально объявлена пандемия COVID-19 — потенциально тяжёлой острой респираторной инфекции, вызываемой коронавирусом SARS-CoV-2 (2019-nCoV). На Хабре много информации по этой теме — всегда помните о том, что она может быть как достоверной/полезной, так и наоборот.
Мы призываем вас критично относиться к любой публикуемой информации
Официальные источники
- Cайт Министерства здравоохранения РФ
- Cайт Роспотребнадзора
- Сайт ВОЗ (англ)
- Сайт ВОЗ
- Сайты и официальные группы оперативных штабов в регионах
Если вы проживаете не в России, обратитесь к аналогичным сайтам вашей страны.
Мойте руки, берегите близких, по возможности оставайтесь дома и работайте удалённо.
Читать публикации про: коронавирус | удалённую работу
До публикации нью-йоркского серологического исследования казалось, что появились шансы увидеть летальность порядка 0.2-0.3% (по предыдущим коряво задизайненным тестам, которые справедливо критиковались). Но теперь очевидно, что IFR будет выше 0.5% и, вполне возможно, выше 1%. Меньше 14% из 3,000 протестированных жителей Нью-Йорка имели антитела, а ведь почти 0.2% жителей уже умерли от/при COVID-19.
К похожим результатам пришли исследователи из Гарварда и EIEF, использовавшие популяционную статистику для изучения смертей в Ломбардии, наиболее пострадавшем от эпидемии итальянском регионе. По их расчётам, заразились порядка 40% жителей изученных муниципалитетов, что даёт итоговую летальность 1.29% (притом 0.05% для людей младше 60 лет и 4.25% для пожилых).

Удивительным образом, февральские оценки от авторитетных эпидемиологов из Imperial College London, видимо, окажутся верными. Для нью-йоркского исследования предстоит отдельно оценить вклад перегрузки медсистемы, учесть выборку (рекрутировали в продуктовых магазинах, эти люди 1. согласились 2. ходят в магазины 3. если недавно заразились, то могли ещё не выработать антитела 4. с меньшей вероятностью находятся в группах риска 5. и так далее) и убедиться, что на результат не слишком влияет % ложноположительных результатов (при таких больших процентах заражений влияние получается небольшим). В итальянском исследовании тоже не учтён вклад карантина и перегрузки медицинской системы, но стало ещё очевиднее, что местами конспирологические теории о том, что опасность COVID-19 преувеличена, ошибочны.
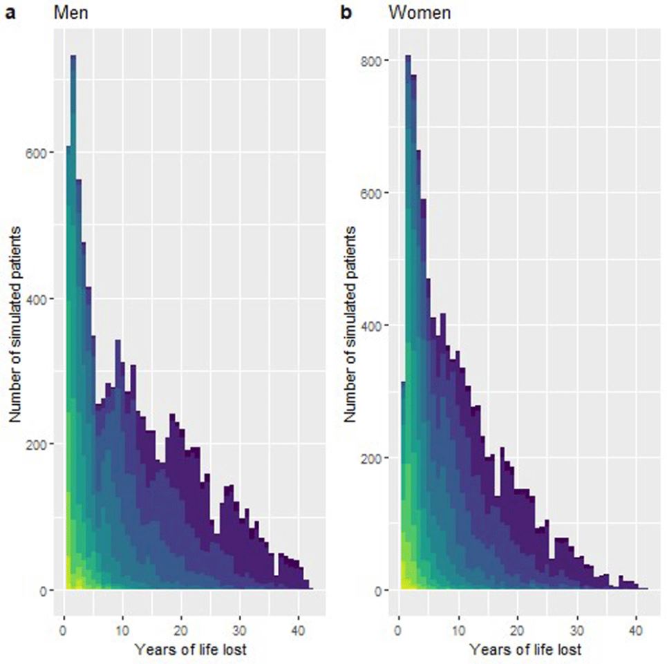
Жертвы умирают в среднем на 10 лет раньше "естественной" смерти
До публикации препринта на Wellcome Open Research многим представлялась авторитетной оценка "большинство жертв ковида или очень стары, или очень ослаблены". Некоторые даже строили теории о том, раз смерть при COVID-19 не обязательно является смертью от COVID-19, можно утверждать, что его влияние может быть близким к нулю. Исследователи насчитали у умерших в среднем 10 отнятых лет жизни — несмотря на погрешности в подсчётах, понятно, что вирус оказался опаснее.

Не все смерти, связанные с COVID-19, попадают в статистику
В New York Times насчитали больше 36,000 "дополнительных" смертей (не считающихся смертями от нового коронавируса в официальной статистике, но явно им вызванных, судя по изменениям в графиках смертности). Часть упущений связана с недостаточным тестированием, остальные, вероятно, произошли из-за перегрузки системы здравоохранения.
Ранее подобный материал выпустил The Economist, обычно у них пейвол, но самые важные тексты сейчас открыты. Их графики нагляднее:

Как и в случае с Италией, о которой моя коллега по каналу "Рационально о коронавирусе" tlando писала на прошлой неделе для N+1, вывод тот же: в затронутых пандемией регионах значительно выше общее число смертей.
Вирус поражает множество органов; картина заболевания удивляет врачей
Лёгкие, печень, почки, кишечник, , глаза, нос, сердце и сосуды — список органов, которые может поражать новый коронавирус, поразил многих врачей, ожидавших принимать в отделениях интенсивной терапии больных респираторными заболеваниями.
Журнал Science пишет о влиянии COVID-19 на организм и роли сопутствующих заболеваний:
“Ухудшает ли повышенная свертываемость крови лёгкие на первый взгляд случаи инфицирования? Является ли чрезмерный иммунный ответ причиной резких ухудшений? Чем объясняется предельно низкий уровень кислорода в крови у пациентов, не имевших ранее проблем с дыханием?”
Алексей Москалёв подготовил перевод на русский язык.

Есть позитив: выяснилось, что астма не является серьезным фактором риска.
Россия далека от пика
Графики регистрируемых заражений и смертей от COVID-19 демонстрируют очевидное: Россия находится на ранней стадии эпидемии, большинство заражений и подавляющее большинство смертельных случаев впереди.


Выводы и план действий
Что мы узнали, по сравнению с недавними ожиданиями?
Персональные риски выше, карантин продлится дольше, ущерб экономике будет больше, денег почти у всех будет меньше, а чиновники, политики и силовики введут больше ограничений.
Что я предприму? Примерно то же самое, что до этого.
Буду часто мыть руки, продолжу сидеть дома, продолжу агитировать близких сидеть дома. Буду общаться с друзьями и родственниками по видео. Организую зум-встречи одноклассников и одногруппников. Напишу тем, кого давно не видел. Продолжу много работать, это мой способ справляться с ситуацией. Буду понимать, что моя возможность самоизолироваться — привилегия.
Меня несколько раз спрашивали, откуда берётся время на тексты, вроде этого и мартовского, но по факту его уходит мало, тк почти всё важное по вирусу я узнаю из чата редакции канала "Рационально о коронавирусе" (кстати, есть короткие задачи для учёного, медика, программиста, менеджера проектов/продуктов, спеца в smm/контенте и переводчика, обращайтесь и простите за отсутствие феминитивок). В канал о вирусе попадают лишь проверенные редакцией материалы, а в личном я бесконтрольно пишу на темы эээээээ (эпидемиология, экспоненты, эволюция, экономика, эпистемология, эмоции, эффективность), иногда критикуя эээ (экспертов и псевдоэкспертов)
Спасибо за то, что дочитали. Если считаете мой текст разумным, можно показать его родственникам и коллегам или переслать в любимый чат. Буду благодарен за уточнения и комментарии — я не эпидемиолог и могу ошибаться. Дмитрий Калупин
Автор: Дмитрий Калупин

