Произошло это годом раньше, в 1988 году, в Риге, где проходила ежегодная всесоюзная математическая олимпиада. Организаторы решили обкатать идею на нас, математиках. Стандартное расписание всегда выглядело так: два тура решения задач занимает два дня. Потом пару дней перерыв, ведь проверить решения всех семидесяти участников дело не быстрое. Потом разбор, апелляция и награждение.
И вдруг на третий день нас привозят в класс, заставленный Ямахами со встроенным бейсиком и предлагают участвовать в олимпиаде по программированию. Для всех это было сюрпризом, многие участники отказались, ссылаясь на неумение программировать. Им показали, как переключать Ямахи в видео режим и рисовать цветные картинки.
Остальным было предложено единственное задание, на которое отводилось 2 часа.
Задание:
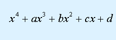
«Дан произвольный многочлен четвёртой степени.

Необходимо найти все точки экстремумов его функции. На вводе программа получает четыре коэффициента, на выходе должна выдавать координаты экстремумов и значения в них.»
Результат оценивался по двум критериям: точность и время выполнения. Сразу скажу, что для теста вводилась функция, у которой было три крайне близких экстремума, поэтому определённая олимпиадность присутствовала. Время замерялось секундомером.
Те, кто считал, что его программа готова, поднимали руку. Преподаватель подходил, вводил коэффициенты и включал секундомер. Время работы некоторых программ измерялось десятками минут. У некоторых получалось, что экстремум только один.
Я успела только написать кусок для примерного нахождения корней производной данного многочлена.
А победитель был довольно уверенный, его программа работала меньше минуты и нашла все три экстремума.
На следующий год он поехал уже в Свердловск.
Автор: yamironova
