
Перевод поста Майкла Тротта (Michael Trott) и Эрика Вайсштайна (Eric W. Weisstein) "Michael Trott & Eric W. Weisstein
The Top 100+ Sines of Wolfram|Alpha", существенно расширяющий вопросы, затронутые авторами.
Скачать перевод в виде документа Mathematica, который содержит весь код использованный в статье, можно здесь (архив, ~12 МБ).
Сервис Wolfram|Alpha может выполнять огромное количество всевозможных вычислений и математические вычисления являются одной из его узких специальностей. В самом деле, используя мощь вычислительных возможностей системы Mathematica, с помощью которой создана система Wolfram|Alpha, сервис Wolfram|Alpha может решать большой спектр задач связанных с математическими функциями, начиная от самых простых и заканчивая дьявольски сложными.
Чтобы прояснить то, что мы подразумеваем под “большим спектром задач” (о котором мы действительно так думаем), давайте возьмем в качестве примера такую непритязательную математическую функцию, как синус. Ниже мы привели список, который раскрывает 93 возможности того, что Wolfram|Alpha может делать с синусом, но в итоге мы добавили еще сверх того некоторое количество бонусных возможностей, перед включением которых в пост мы не могли устоять.
Давайте начнем с того, что просто введем в Wolfram|Alpha запрос sin(x), т. е. просто функцию синус от аргумента x, как она есть. Ниже представлено то, что сервис Wolfram|Alpha выдаст нам в качестве результата на этот запрос:

Для тех, кто знает о том, что такое действительные числа, большинство из приведенных выше результатов относится к действительным значениям аргумента х. С другой стороны, если вы будете использовать другой вид аргумента у функции синус, т. е. введете запрос, скажем, sin(z) или sin(х+iу), то Wolfram|Alpha предположит что вы хотите работать в области комплексных чисел (комплексных переменных) и выдаст вам другой набор графиков и результатов, как это показано на рисунке ниже:

Конечно, вы можете попросить Wolfram|Alpha вычислить каждый из вышеупомянутых результатов расчетов по отдельности, например,
• Глобальный максимум функции sin(х).
Запрос в Wolfram|Alpha: global maxima sin(x)
Код на языке Wolfram Language (Mathematica):
![]()
![]()
Вы также можете построить построить множество графиков, задав соответствующие запросы:
• Построить графики sin(x), sin(2x), sin(3x)
Запрос в Wolfram|Alpha: Plot sin(x), sin(2x), sin(3x)
Код на языке Wolfram Language (Mathematica):
![]()

• Построить графики sin(x), sin(sin(x)), sin(sin(sin(x))), sin(sin(sin(sin(x)))), sin(sin(sin(sin(sin(x)))))
Запрос в Wolfram|Alpha: Plot sin(x), sin(sin(x)), sin(sin(sin(x))), sin(sin(sin(sin(x)))), sin(sin(sin(sin(sin(x)))))
Код на языке Wolfram Language (Mathematica):
![]()

• График изолиний поверхности sin(x/|y| — y/|x|) при x = -π до π и y = -π до π
Запрос в Wolfram|Alpha: Contourplot sin(x/|y| — y/|x|) from x = -pi to pi and y = -pi to pi
Код на языке Wolfram Language (Mathematica):
![]()

• График поверхности sin (x — y) / sin(x + y) при x = -2π до 2π и y = -2π до 2π
Запрос в Wolfram|Alpha: Plot3d sin(x — y) / sin(x + y) from x = -2pi to 2pi and y = -2pi to 2pi
Код на языке Wolfram Language (Mathematica):
![]()

• Полярный график r = 1 + sin(100 θ)
Запрос в Wolfram|Alpha: Polar plot r = 1 + sin(100 theta)
Код на языке Wolfram Language (Mathematica):
![]()

Результат последнего запроса, полученный в Wolfram|Alpha имеет вид:

Вы также можете с легкостью построить более сложные выражения, зависящие от функции синус, например:
• График функции {(1/{1/sin(x)}}, где {y} — дробная часть числа y.
Запрос в Wolfram|Alpha: Plot frac(1/frac(1/sin(x)))
Код на языке Wolfram Language (Mathematica):
![]()

• График функции sin (x!)! при x = -3 до 3
Запрос в Wolfram|Alpha: Plot sin (x!)! from x = -3 to 3
Код на языке Wolfram Language (Mathematica):
![]()

• Изобразить графически члены последовательности 1, sin(1), sin(sin(1)), ... (всего 101 член)
Запрос в Wolfram|Alpha: Plot nestlist(sin, 1., 100)
Код на языке Wolfram Language (Mathematica):


• График параметрически заданной кривой x=max(sin(t), cos(pi t)), y=max(cos(t), sin(pi t))} t = 0 до 100
Запрос в Wolfram|Alpha: Parametric plot {max(sin(t), cos(pi t)), max(cos(t), sin(pi t))} from t = 0 to 100
Код на языке Wolfram Language (Mathematica):
![]()

• Графики поверхности действительной и мнимой частей функции sin(sin(x + i y)) при x =-π до π и y =-π до π
Запрос в Wolfram|Alpha: Plot3d sin(sin(x + i y)) from x=-pi to pi and y =-pi to pi
Код на языке Wolfram Language (Mathematica):
![]()

• Полярный график функции r = min(sin(x), sin(sqrt(2) x), sin(sqrt(3) x), sin(sqrt(5) x)) при x = 0 до 100 π
Запрос в Wolfram|Alpha: Polar plot min(sin(x), sin(sqrt(2) x), sin(sqrt(3) x), sin(sqrt(5) x)) from x = 0 to 100 pi
Код на языке Wolfram Language (Mathematica):
![]()

• Полярный график функции r = exp(sin(theta)) — 2 cos(4 theta) + sin^5(theta/12 — pi/24)
Запрос в Wolfram|Alpha: Polar plot r = exp(sin(theta)) — 2 cos(4 theta) + sin^5(theta/12 — pi/24)
Код на языке Wolfram Language (Mathematica):
![]()

• График трехмерной параметрически заданной поверхности (тора) {sin(s + pi/2) + sin(s + pi/2)sin (t + pi/2)/2, sin(s) + sin(s)sin (t + pi/2)/2, sin (t)/2} при s = 0 до 2π и t = 0 до 2π
Запрос в Wolfram|Alpha: Parametric plot3D {sin(s + pi/2) + sin(s + pi/2)sin (t + pi/2)/2, sin(s) + sin(s)sin (t + pi/2)/2, sin (t)/2} from s = 0 to 2pi and t = 0 to 2pi
Код на языке Wolfram Language (Mathematica):


А также можете использовать синтаксис Mathematica для задания многих выражений и их обработки:
• График плотности потока некоторой векторной величины {Re(sin(x + iy)), Im(Sin(x + iy))}
Запрос в Wolfram|Alpha: StreamDensityPlot[{Re[Sin[x + I y]], Im[Sin[x + I y]]}, {x, -Pi, Pi}, {y, -Pi, Pi}, ColorFunction -> “ThermometerColors”]
Код на языке Wolfram Language (Mathematica):


• График семейства функций sin(kx) при k=0,1,2,3,...,30 пурпурного цвета
Запрос в Wolfram|Alpha: Plot[Table[Sin[k x], {k, 0, 30}],{x, 0, Pi/2}] in purple
Код на языке Wolfram Language (Mathematica):
![]()

Мы можем вычислять какие-то конкретные значения функции синус, скажем
• sin(π/88)
Запрос в Wolfram|Alpha: sin(pi/88)
Код на языке Wolfram Language (Mathematica):
![]()
![]()
Или, наоборот, ввести число 0.0356923338389804557600… и посмотреть результат:

…вы можете заметить, что Wolfram|Alpha выдает для этого числа его аналитическое приближение в виде функции синус от аргумента x = π/88 (первое из трех представленных возможных аналитических форм представленных выше в разделе “Possible closed forms”). Если вы заинтересовались этим, то можно было бы попросить Wolfram|Alpha предоставить список всех “особенных” значений аргументов функции синус и ее значений при этих значениях аргумента сразу. Одним из особенно красивых примеров такого типа является представление значения sin(π/17) через радикалы, которое демонстрирует один из классических результатов, который был получен великим математиком Гауссом в день своего 17-летия.
Можно спросить у Wolfam|Alpha имеют ли какие-то выражения определенные свойства или форму:
• Является ли число sin(2/3) алгебраическим?
Запрос в Wolfram|Alpha: Is sin(2/3) algebraic?
Код на языке Wolfram Language (Mathematica):
![]()
![]()
• Представление числа sin(pi/(2^4 3 5)) через радикалы
Запрос в Wolfram|Alpha: Toradicals(sin(pi/(2^4 3 5)))
Код на языке Wolfram Language (Mathematica):
![]()

Можно искать периоды различных функций:
• Период функции sin(x)
Запрос в Wolfram|Alpha: Period of sin(x)
Код на языке Wolfram Language (Mathematica):
![]()
![]()
• Период функции sin(x) + 2sin(2x) + 3sin(3x)
Запрос в Wolfram|Alpha: Period of sin(x)+2sin(2x)+3sin(3x)
Код на языке Wolfram Language (Mathematica):
![]()
![]()
А также находить максимумы и минимумы функций, содержащих функцию синус:
• Найти минимум функции sin(x) + |x|
Запрос в Wolfram|Alpha: Minimize sinx + |x|
Код на языке Wolfram Language (Mathematica):
![]()
![]()
• Найти максимум функции (sin(x)/x)^2 находящийся между точками π и 4π
Запрос в Wolfram|Alpha: Maximize (sin(x)/x)^2 between pi and 4 pi
Код на языке Wolfram Language (Mathematica):
![]()
![]()
Мы также можем построить как двумерные, так и трехмерные фигуры Лиссажу:
• График параметрически заданной двумерной кривой {sin(11t), sin(13t)}
Запрос в Wolfram|Alpha: Parametric plot {sin(11t), sin(13t)}
Код на языке Wolfram Language (Mathematica):
![]()

• График параметрически заданной трехмерной кривой {sin(2t), sin(3t), sin(5t)} from t = 0 to 2pi
Запрос в Wolfram|Alpha: Parametric plot {sin(2t), sin(3t), sin(5t)} from t = 0 to 2pi
Код на языке Wolfram Language (Mathematica):
![]()

Результат запроса Parametric plot {sin(11t), sin(13t)} о котором говорилось выше:

Можно не только строить кривые, но и вычислять их кривизну:
• Кривизна параметрически заданной кривой {sin(3t), sin(4t)} в точке t = 1
Запрос в Wolfram|Alpha: Curvature of {sin(3t), sin(4t)} at t = 1
Код на языке Wolfram Language (Mathematica):
![]()
![]()
Найти координаты точек перегиба кривой:
• Точки перегиба кривой sin(x)
Запрос в Wolfram|Alpha: Inflection points sin(x)
Код на языке Wolfram Language (Mathematica):
![]()
![]()
Или длину дуги кривой:
• Длина дуги параметрически заданной кривой {sin(t), sin(2t)} при t = 0 до π
Запрос в Wolfram|Alpha: Arc length {sin(t), sin(2t)} from t = 0 to pi
Код на языке Wolfram Language (Mathematica):
![]()
![]()
![]()
![]()
• Длина дуги полярной кривой r = phi sin(phi) при phi = 0 до 12π
Запрос в Wolfram|Alpha: Arc length r = phi sin(phi) from phi = 0 to 12pi
Код на языке Wolfram Language (Mathematica):
![]()
![]()
![]()
![]()
Ниже представлен результат, который выдает Wolfram|Alpha на предыдущий запрос о длине кривой, заданной в полярной системе координат:

Можно найти точки возврата некоторой функции:
• Точки возврата функции |sin(x)|
Запрос в Wolfram|Alpha: Corners |sin(x)|
Код на языке Wolfram Language (Mathematica):

![]()
Или проверить функцию на периодичность:
• Периодична ли функция sin (4x + pi/3)?
Запрос в Wolfram|Alpha: Periodicity sin(4x + pi/3)
Код на языке Wolfram Language (Mathematica):
![]()
![]()
Есть множество математических формул, которые могут потребоваться. Рассмотрим несколько конкретных примеров:
• Представить в виде суммы sin (x)^10
Запрос в Wolfram|Alpha: Trig reduce sin(x)^10
Код на языке Wolfram Language (Mathematica):
![]()
![]()
• Представить в виде суммы sin(10x)
Запрос в Wolfram|Alpha: Trig expand sin(10x)
Код на языке Wolfram Language (Mathematica):
![]()
![]()
Точно также можно получить основные формулы тригонометрии:
• Формула половинного угла для функции sin(x)
Запрос в Wolfram|Alpha: Half-angle formulas sinx
Код на языке Wolfram Language (Mathematica):


• Формула двойного угла для функции sin(x)
Запрос в Wolfram|Alpha: Double-angle formulas sinx
Код на языке Wolfram Language (Mathematica):

![]()
• Формулы синуса от суммы (разности) двух и более аргументов
Запрос в Wolfram|Alpha: Addition formulas sinx
Код на языке Wolfram Language (Mathematica):


Ниже представлен результат запроса о формуле двойного угла для синуса:

Wolfram|Alpha также знает множество всевозможных представлений функций через другие функциональные конструкции:
• Представление синуса в виде бесконечного произведения
Запрос в Wolfram|Alpha: Product representations sinx
Код на языке Wolfram Language (Mathematica):


• Представление синуса в виде предела
Запрос в Wolfram|Alpha: Limit representations sinx
Код на языке Wolfram Language (Mathematica):


• Представление синуса через гипергеометрические функции
Запрос в Wolfram|Alpha: Sinx in terms of hypergeometrics
Код на языке Wolfram Language (Mathematica):


Вы можете спросить у Wolfram|Alpha о связи функции синус с другими функциями:
• Представление функции sin(x) через экспоненциальную показательную функцию
Запрос в Wolfram|Alpha: Sinx in exponentials
Код на языке Wolfram Language (Mathematica):
![]()
![]()
• Связи между sin(x) и cos(x)
Запрос в Wolfram|Alpha: Relations between sin(x), cos(x)
Код на языке Wolfram Language (Mathematica):


• Связи между sin(x) и tg(x)
Запрос в Wolfram|Alpha: Relations between sinx, tanx
Код на языке Wolfram Language (Mathematica):


Также можно найти связь с обратной функцией и другими функциями, выраженными через синус:
• Связи с обратной функцией для sin(x)
Запрос в Wolfram|Alpha: Relations with inverse function sinx
Код на языке Wolfram Language (Mathematica):


• Функции, которые имеют собственные имена, выраженные через sin(x)
Запрос в Wolfram|Alpha: Named functions expressed through sin(x)
Код на языке Wolfram Language (Mathematica):


Ниже представлен результат предыдущего запроса, выдаваемый Wolfram|Alpha:

Вы можете решать уравнения и неравенства, содержащие функцию синус:
• Найти все решения уравнения cosx + sinx = tanx
Запрос в Wolfram|Alpha: Find all solutions for cosx + sinx = tanx
Код на языке Wolfram Language (Mathematica):
![]()

• Решить неравенство cos(x) > 2sin(x)
Запрос в Wolfram|Alpha: Solve cos(x) > 2sin(x)
Код на языке Wolfram Language (Mathematica):
![]()
![]()
Можно доказывать (проверять верность) тригонометрических тождеств, включающих в себя функцию синус:
• Проверить тождество sin(x + y) sin(x — y) = sin^2x — sin^2y
Запрос в Wolfram|Alpha: Verify: sin(x + y) sin(x — y) = sin^2x — sin^2y
Код на языке Wolfram Language (Mathematica):
![]()
![]()
Можно искать точки разрыва и полюсы функциональных выражений, содержащих синус:
• Точки разрыва функции x / sin(x)
Запрос в Wolfram|Alpha: Discontinuities x / sin(x)
Код на языке Wolfram Language (Mathematica):
![]()
![]()
• Полюсы функции x / sin(x)
Запрос в Wolfram|Alpha: Poles x / sin(x)
Код на языке Wolfram Language (Mathematica):

![]()
Можно продифференцировать функцию синус:
• Найти значение шестой производной функции x sin(2^x) при x=0
Запрос в Wolfram|Alpha: Sixth derivative of x sin(2^x) at x = 0
Код на языке Wolfram Language (Mathematica):
![]()
![]()
• Найти n-ю производную функции sin(x)
Запрос в Wolfram|Alpha: d^n / dx^n sin(x)
Код на языке Wolfram Language (Mathematica):
![]()
![]()
Можно находить конечные суммы:
• Найти сумму sin(kx) при k = 1 до n
Запрос в Wolfram|Alpha: Sum sin(kx) for k = 1 to n
Код на языке Wolfram Language (Mathematica):
![]()
![]()
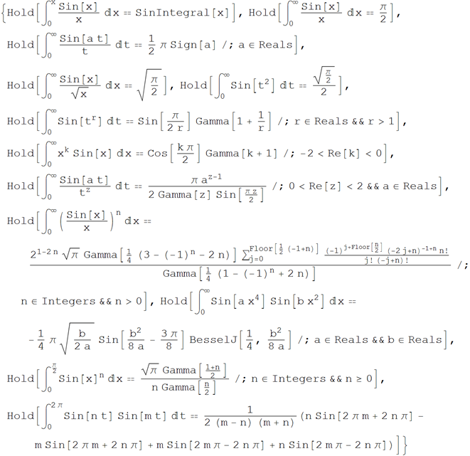
И, безусловно, также легко можно находить разнообразные интегралы, содержащие синус:
• Найти интеграл от функции sin(x) по переменной х в пределах от 0 до π
Запрос в Wolfram|Alpha: Integrate sin(x) dx from x = 0 to pi
Код на языке Wolfram Language (Mathematica):
![]()
![]()
• Найти неопределенный интеграл от функции sin(x^3)^3 по x
Запрос в Wolfram|Alpha: Integrate sin(x^3)^3 dx
Код на языке Wolfram Language (Mathematica):
![]()

• Применить формулу интегрирования по частям к интегралу с подынтегральной функцией cos^2(x) sin^4(x)
Запрос в Wolfram|Alpha: Integrate by parts cos^2(x) sin^4(x)
Код на языке Wolfram Language (Mathematica):


• Среднее квадратическое значение функции sin(4x+pi/3)
Запрос в Wolfram|Alpha: Root mean square sin(4x+pi/3)
Код на языке Wolfram Language (Mathematica):
![]()
![]()
Ниже представлен результат запроса о интегрировании по частям (см. выше), который выдает Wolfram|Alpha:

Вы можете получить списки формул на основе интегралов, сумм, рядов и произведений, которые содержали бы в себе функцию синус:
• Конечные суммы, содержащие синус
Запрос в Wolfram|Alpha: Finite sums containing sin(x)
Код на языке Wolfram Language (Mathematica):


• Бесконечные суммы, содержащие синус
Запрос в Wolfram|Alpha: Infinite sums containing sinx
Код на языке Wolfram Language (Mathematica):


• Произведения, содержащие синус
Запрос в Wolfram|Alpha: Products containing sinx
Код на языке Wolfram Language (Mathematica):


• Неопределенные интегралы, содержащие синус
Запрос в Wolfram|Alpha: Indefinite integrals containing sinx
Код на языке Wolfram Language (Mathematica):


• Определенные интегралы, содержащие синус
Запрос в Wolfram|Alpha: Definite integrals containing sinx
Код на языке Wolfram Language (Mathematica):


Можно найти разнообразные интегральные преобразования функции синус:
• Преобразование Фурье функции sin(x)
Запрос в Wolfram|Alpha: Fourier transform of sin(x)
Код на языке Wolfram Language (Mathematica):
![]()
![]()
• Преобразование Лапласа функции sin(x)
Запрос в Wolfram|Alpha: Laplace transform of sin(x)
Код на языке Wolfram Language (Mathematica):
![]()
![]()
• Преобразование Гильберта функции of sin(x)
Запрос в Wolfram|Alpha: Hilbert transform of sin(x)
Код на языке Wolfram Language (Mathematica):
![]()
![]()
А также можно вычислять разнообразные пределы:
• Предел при x стремящемся к 0 функции ln(2 + sqrt(arctan(x)*sin(1/x)))
Запрос в Wolfram|Alpha: Limit as x goes to 0 of ln(2 + sqrt(arctan(x)*sin(1/x)))
Код на языке Wolfram Language (Mathematica):
![]()
![]()
• Предел sin (x)/x при x -> 0
Запрос в Wolfram|Alpha: Lim sin(x)/x as x -> 0
Код на языке Wolfram Language (Mathematica):
![]()
![]()
Ниже представлен результат запроса о поиске предыдущего предела, который выдает Wolfram|Alpha:

Можно получить разложение функции синус в ряд:
• Найти разложение функции sin(x) до десятого порядка малости в окрестности точки x=0
Запрос в Wolfram|Alpha: Series of sin(x) to order 10
Код на языке Wolfram Language (Mathematica):
![]()
![]()
Найти сумму ряда Тейлора бесконечного порядка в аналитическом виде:
• Просуммировать частичные суммы ряда Тейлора функции sin(x)
Запрос в Wolfram|Alpha: Summed truncated Taylor series of sin(x)
Код на языке Wolfram Language (Mathematica):


Или получить аппроксимацию Паде функции синус:
• [5/5] аппроксимация Паде функции sin(x)
Запрос в Wolfram|Alpha: [5/5] pade of sin(x)
Код на языке Wolfram Language (Mathematica):
![]()
![]()
Или же можно упростить сложные выражения, которые содержать в себе синус:
• Упростить sin(2 arctan(3x) + pi)
Запрос в Wolfram|Alpha: Simplify sin(2 arctan(3x) + pi)
Код на языке Wolfram Language (Mathematica):
![]()
![]()
Ниже представлен результат запроса о упрощении тригонометрического выражения, рассмотрено выше, который выдает Wolfram|Alpha:

Также легко можно найти разложение функции в ряд Фурье по синусам:
• Разложение функции unitstep(x) в ряд Фурье по синусам
Запрос в Wolfram|Alpha: Fourier sin series unitstep(x)
Код на языке Wolfram Language (Mathematica):


Функция синус имеет множество смежных функций и обобщений, которые включают, но не ограничиваются только ими, скажем следующие:
• haversin(x)
Запрос в Wolfram|Alpha: haversin(x)
Код на языке Wolfram Language (Mathematica):
![]()
![]()
• versin(x)
Запрос в Wolfram|Alpha: versin(x)
Код на языке Wolfram Language (Mathematica):


• qsin(x)
Запрос в Wolfram|Alpha: qsin(x)
Код на языке Wolfram Language (Mathematica):
![]()
![]()

Вы можете использовать функцию синус в теории вероятностей, скажем, можно найти математическое ожидание случайной величины sin(x), если случайная величина x распределена нормально с математическим ожиданием 0 и дисперсией 1:
• Математическое ожидание sin(x) если х имеет стандартное нормальное распределение
Запрос в Wolfram|Alpha: E(sin(x)) where x ~ N(0,1)
Код на языке Wolfram Language (Mathematica):
![]()
![]()
Ниже представлен результат запроса о значении математического ожидания выражения sin(x), рассмотренного выше, который выдает Wolfram|Alpha:

Мы можем найти решения дифференциальных уравнений, содержащих синус:
• y’ + sinx y = 0
Запрос в Wolfram|Alpha: y’ + sinx y = 0
Код на языке Wolfram Language (Mathematica):
![]()
![]()
• y “ — 1/3 y’ + sin x y^3 = 0
Запрос в Wolfram|Alpha: y” — 1/3 y’ + sin x y^3 = 0
Код на языке Wolfram Language (Mathematica):


• cos(x) dx + sin(y) dy = 0
Запрос в Wolfram|Alpha: cos(x) dx + sin(y) dy = 0
Код на языке Wolfram Language (Mathematica):
![]()
![]()
Можно вычислить Вронскиан системы функций, которая содержит синус:
• Вронскиан системы функций {cos(x), sin(x)}
Запрос в Wolfram|Alpha: Wronskian({cos(x), sin(x)}, x)
Код на языке Wolfram Language (Mathematica):
![]()
![]()
А также можно найти дифференциальное уравнение, решением которого является заданная функция, зависящая от синуса:
• Найти дифференциальное уравнение для функции sin(x^p)
Запрос в Wolfram|Alpha: Differential equation for sin(x^p)
Код на языке Wolfram Language (Mathematica):


Вы можете работать с теоремой синусов или ее сферическим аналлогом:
• Калькулятор теоремы синусов
Запрос в Wolfram|Alpha: sine law calculator
Код на языке Wolfram Language (Mathematica):
![]()

• Теорема синусов в сферической геометрии
Запрос в Wolfram|Alpha: spherical law of sines
Код на языке Wolfram Language (Mathematica):
![]()

Ниже представлен результат запроса калькуляторе теоремы синусов, рассмотренного выше, который выдает Wolfram|Alpha:

Можно выразить и приблизить значение числа π через значения функции синус:
• Выразить 3.14 через sin(1) и sin(2)
Запрос в Wolfram|Alpha: Express 3.14 through sin(1) and sin(2)
Код на языке Wolfram Language (Mathematica):
![]()

А также получить интерактивную модель функции синус:
• Варьировать параметры a, b, c в выражении Plot[a Sin[b x + c], {x, -3, 3}]
Запрос в Wolfram|Alpha: Vary Plot[a Sin[b x + c], {x, -3, 3}]
Код на языке Wolfram Language (Mathematica):
![]()

Также можно выполнять вычисления на объектах, которые находятся в Интернете, еслии вы просто имеете ссылку на них, например, произведем анализ изображения функции синус, которое взято с сайта The Wolfram Functions Site о функциях Wolfram Research:
• Произвести анализ wolfr.am/OA39R2
Запрос в Wolfram|Alpha: Analyze wolfr.am/OA39R2
Ниже представлен результат предыдущего запроса, который выдает Wolfram|Alpha:

Наконец, можно «проиграть» функцию синус:
• Проиграть sin(440 t)
Запрос в Wolfram|Alpha: Play sin(440 t)
Код на языке Wolfram Language (Mathematica):
![]()

Мы можем конечно продолжать дальше (и дальше и дальше), но написанных примеров уже наверняка достаточно (их на самом деле много конечно).
Так как многие из вас собираются вернуться в школу после того, как мы надеемся, вы приятно провели лето, пожалуйста, помните о сервисе Wolfram|Alpha и его мощном наборе функциональных возможностей, когда вы возобновите ваши исследования и учебу. Мы понимаем, что конечно не все будут рады возвращению к учебе настолько, насколько они были рады безмятежным летним денькам, но мы надеемся, что найдется по крайней мере несколько человек, которые получать больше удовольствия от обучения вместе с Wolfram|Alpha теперь, когда вы знаете о том, как это можно делать, чем от длительного отдыха летом. :)
Автор: OsipovRoman
