
Системы отсчёта для определения орбиты
Для нахождения траекторий относительных движений в классической механике используется предположение об абсолютности времени во всех системах отсчета (как инерциальных, так и неинерциальных).
Используя данное предположение, рассмотрим движение одной и той же точки в двух различных системах отсчета К и К', из которых вторая движется относительно первой с произвольной скоростью
— радиус-вектор, описывающий положение точки начала системы координат К' относительно системы отсчета К).
Будем описывать движение точки в системе К' радиус-вектором
, направленным из начала координат системы К' в текущее положение точки. Тогда движение рассматриваемой точки относительно системы отсчета К описывается радиус-вектором
:
(1)
а относительная скорость 
(2)
где
— скорость точки относительно системы К';
-скорость движения системы отсчета К' относительно системы отсчета К.

Таким образом, для нахождения закона движения точки в произвольной системе отсчета К необходимо:
1) задать закон движения точки относительно системы отсчета К' (функцию
;
2) задать закон движения системы отсчета К' относительно системы отсчета К (функцию
;
3) определить закон движения точки относительно системы отсчета К в соответствии с (1).
Построение орбиты Луны в гелиоцентрической системе отсчета

В гелиоцентрической системе отсчета (система К) Земля движется по окружности радиуса
R1 = 1.496*10**8 км (период обращения Т1= 3.156*10**7 с.). Луна, в свою очередь, движется вокруг Земли (система К') по окружности радиуса R2 = 3.844*10**5 км. (период обращения Т2= 2.36*10**6 с. Как известно [1,2], при движении материальной точки по окружности радиуса R с постоянной угловой скоростью
координаты радиус-вектора, проведенного из начала координат к текущему положению точки, меняются по закону:
(3)
где
— начальная фаза, характеризующая положение частицы в момент времени t= 0, которую в дальнейшем мы будем полагать равной нулю. Заменяя в (3) R на R1 и R2 и подставляя в (1), получаем зависимость радиус-вектора Луны в гелиоцентрической системе координат от времени:
(4)
Выражение (4) задает орбиту Луны
в параметрической форме, где параметром является время. Для построения искомой орбиты средствами Python, зададим радиусы орбит и периоды вращения Земли и Луны:

С учётом (4) определим функции зависимости координат от времени:
(5)
Используя (5), получим пару координат для орбиты Луны:
(6)
Зададим число точек, в которых вычисляются координаты N=1000 и дискретное время на интервале периода вращения Земли dt=T1/N. Напишем программу и построим график для положительной области изменения координат:
from numpy import*
from matplotlib.pyplot import*
R1=1.496*10**8
T1=3.156*10**7
R2=3.844*10**5
T2=2.36*10**6
N=1000.0
def X(t):
return R1*cos(2*pi*t/T1)
def Y(t):
return R1*sin(2*pi*t/T1)
def x(t):
return R2*cos(2*pi*t/T2)
def y(t):
return R2*sin(2*pi*t/T2)
k=100
t=[T1*i/N for i in arange(0,k,1)]
X=array([X(w) for w in t])
Y=array([Y(w) for w in t])
x=array([x(w) for w in t])
y=array([y(w) for w in t])
XG=X+x
YG=Y+y
figure()
title("Траектория орбит Земли и Луны.n Для положительных значений координат")
xlabel('X(t),XG(t)')
ylabel('Y(t),YG(t)')
axis([1.2*10**8,1.5*10**8,0,1*10**8])
plot(X,Y,label='Орбита Земли')
plot(XG,YG,label='Орбита Луны')
legend(loc='best')
grid(True)
show()
Получим:

Рис.1
Созданный график позволяет расширить задачу и посмотреть какой будет орбита луны, если радиус орбиты Луны будет равен R2=3.844*10e7. Внесём соответствующие изменения в программу:
from numpy import*
from matplotlib.pyplot import*
R1=1.496*10**8
T1=3.156*10**7
R2=3.844*10**7
T2=2.36*10**6
N=1000.0
def X(t):
return R1*cos(2*pi*t/T1)
def Y(t):
return R1*sin(2*pi*t/T1)
def x(t):
return R2*cos(2*pi*t/T2)
def y(t):
return R2*sin(2*pi*t/T2)
t=[T1*i/N for i in arange(0,N,1)]
X=array([X(w) for w in t])
Y=array([Y(w) for w in t])
x=array([x(w) for w in t])
y=array([y(w) for w in t])
XG=X+x
YG=Y+y
figure()
title("Гелиоцентрическая орбита Земли и Луны")
xlabel('X(t),XG(t)')
ylabel('Y(t),YG(t)')
axis([-2.0*10**8,2.0*10**8,-2.0*10**8,2.0*10**8])
plot(X,Y,label='Орбита Земли')
plot(XG,YG,label='Орбита Луны')
legend(loc='best')
grid(True)
show()
Получим:

Рис.2
Сравнивая орбиты Луны, представленные на рис. 1 и 2, обнаруживаем их существенные отличия. Для объяснения причины этих отличий необходимо сравнить линейные скорости движения Луны в первом и во втором случае и линейную скорость движения Земли.
Так как направление линейной скорости движения Земли относительно Солнца, как и направление линейной скорости движения Луны относительно Земли, меняется во времени, а скорость остается постоянной по величине.
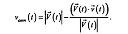
В качестве количественной характеристики соотношения линейных скоростей движения Луны и Земли в гелиоцентрической системе координат следует выбрать разность между модулем линейной скорости движения Земли и проекцией линейной скорости Луны на направление вектора линейной скорости Земли:
(7)
Определим функции, описывающие законы изменения составляющих скорости Земли и Луны:
(8)
Чтобы определить результирующую скорость с учётом проекции, воспользуемся соотношением:
(9)
Напишем программу с учётом(5), (8), (9) и радиуса орбиты Луны R2=3.844*10**5 км.:
from numpy import*
from matplotlib.pyplot import*
R1=1.496*10**8
T1=3.156*10**7
R2=3.844*10**5
T2=2.36*10**6
N=1000.0
k1=2*pi/T1
k2=2*pi/T2
def Vx(t):
return -k1*R1*sin(k1*t)
def Vy(t):
return k1*R1*cos(k1*t)
def vx(t):
return -k2*R2*sin(k2*t)
def vy(t):
return k2*R2*cos(k2*t)
def D(t):
return sqrt(Vx(t)**2+Vy(t)**2)-sqrt(vx(t)**2+vy(t)**2)*(Vx(t)*vx(t)+Vy(t)*vy(t))/((sqrt(Vx(t)**2+Vy(t)**2))*(sqrt(vx(t)**2+vy(t)**2)))
x=[T1*i/N for i in arange(0,N,1)]
y=[D(t) for t in x]
title("Луна движется в одном направлении с Землёй n Радиус орбиты Луны R2=3.844*10**5 км.")
xlabel('t')
ylabel('D(t)')
plot(x,y)
show()
Получим:

Рис.3.
Напишем программу с учётом (5), (8), (9) и радиуса орбиты Луны R2=3.844*10**7 км:
from matplotlib.pyplot import*
R1=1.496*10**8
T1=3.156*10**7
R2=3.844*10**7
T2=2.36*10**6
N=1000.0
k1=2*pi/T1
k2=2*pi/T2
def Vx(t):
return -k1*R1*sin(k1*t)
def Vy(t):
return k1*R1*cos(k1*t)
def vx(t):
return -k2*R2*sin(k2*t)
def vy(t):
return k2*R2*cos(k2*t)
def D(t):
return sqrt(Vx(t)**2+Vy(t)**2)-sqrt(vx(t)**2+vy(t)**2)*(Vx(t)*vx(t)+Vy(t)*vy(t))/((sqrt(Vx(t)**2+Vy(t)**2))*(sqrt(vx(t)**2+vy(t)**2)))
x=[T1*i/N for i in arange(0,N,1)]
y=[D(t) for t in x]
title(" Периодически Луна движется в противоположном к Земле n направлению. Радиус орбиты Луны R2=3.844*10**7 км.")
xlabel('t')
ylabel('D(t)')
plot(x,y)
show()
Получим:

Рис.4.
Анализ зависимостей позволяет объяснить причину отличий орбит. Функция D(t) при R2 =3,844*10**5 км всегда положительна, т. е. Луна всегда движется в направлении движения Земли и петли не образуются. При R2 = = 3,844*10**7 км величина D(t) принимает отрицательные значения, т. е. существуют моменты времени, в которые Луна движется в направлении, противоположном направлению движения Земли, а потому орбита имеет петли.
Построение орбиты Марса в системе отсчета, связанной с Землей
.

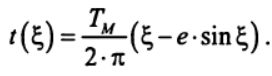
В гелиоцентрической системе отсчета (система К) Земля движется по окружности радиуса R1= 1.496*10**8 км, период обращения Т1= 365.24 сут, Марс двигается по эллипсу, большая полуось которого ам = 2.28*10**8 км, период обращения Марса Тм = 689.98 сут., эксцентриситет орбиты е = 0.093 [3]. Движение Земли описывается радиус-вектором R(t), задаваемым выражением (3). В связи с тем, что орбита Марса является эллипсом, зависимости x=x(t), y=y(t) от времени задаются параметрически [4]:
(10)
(11)
(12)
Полному обороту по эллипсу соответствует изменение параметра
от 0 до
. Для построения орбиты Марса необходимо вычислить в одни и те же моменты времени координаты радиус-векторов, описывающих положение Земли и Марса в гелиоцентрической системе отсчета, затем в соответствии с соотношением
вычислить координаты Марса в системе отсчета, связанной с Землей.
Для построения орбиты Марса в системе отсчёта связанной с Землёй воспользуемся ранее приведенными параметрами орбит Земли и Марса, соотношениями (10)-(12), а также соотношениями для координат Земли:
(13)
(14)
Следует учесть, что число периодов обращения Марса вокруг Солнца равно K=9, тогда количество точек, в которых следует произвести расчёт и расстояние между ними, будут определяться из соотношений:
(15)
from numpy import*
from matplotlib.pyplot import*
R1=1.496*10e8
T1=365.24
am=2.28*10e8
Tm=689.98
ee=0.093
N=36000
def x(g):
return am*(cos(g)-ee)
def y(g):
return am*sqrt(1-ee**2)*sin(g)
def t(g):
return Tm*(g-ee*sin(g))/2*pi
def X(g):
return R1*cos(2*pi*t(g)/T1)
def Y(g):
return R1*sin(2*pi*t(g)/T1)
y=array([y(2*pi*i/N) for i in arange(0,N,1)])
x=array([x(2*pi*i/N) for i in arange(0,N,1)])
X=array([X(2*pi*i/N) for i in arange(0,N,1)])
Y=array([Y(2*pi*i/N) for i in arange(0,N,1)])
t=array([t(2*pi*i/N) for i in arange(0,N,1)])
figure()
title("Гелиоцентрические орбиты Земли и Марса")
xlabel('x(g),X(g)')
ylabel('y(g),Y(g)')
plot(x,y,label='ОрбитаМарса')
plot(X,Y,label='ОрбитаЗемли')
legend(loc='best')
figure()
title("Положение Марса в системе отсчёта связанной с Землёй")
xlabel('x1/10e8')
ylabel('y1(g/10e8')
x1=(x-X)
y1=(y-Y)
plot(x1/10e8,y1/10e8)
figure()
title("Зависимость расстояния между Землёй и Марсом n от времени в годах")
xlabel('t/365.24')
ylabel('sqrt(x1**2+y1**2)/10e8')
y2=sqrt(x1**2+y1**2)/10e8
x2=t/365.24
plot(x2,y2)
show()
Получим:

Рис.5
Вычислим координаты радиус-вектора, описывающего положение Марса в системе отсчета связанной с Землей, и построим орбиты (Рис.6), используя соотношение:
(16)

Рис.6
Еще одной важной характеристикой движения Марса (в первую очередь для межпланетных космических полетов) является расстояние между Землей и Марсом s(t), которое определяется модулем радиус-вектора, описывающего положение Марса в системе отсчета, связанной с Землей. Зависимость расстояния между Землей и Марсом от времени, измеряемого в земных годах, представлена на рис.7.

Рис.7
Анализ зависимости, представленной на рис.7, показывает, что расстояние между Землей и Марсом является сложной периодической функцией времени. Если воспользоваться терминологией теории сигналов [5], то о зависимости s(t) можно сказать, что она представляет собой амплитудно-модулированный сигнал, который принято представлять в виде произведения двух функций высокочастотной (несущей) и низкочастотной функции, задающей амплитудную модуляцию (огибающей):
(17)
где
— постоянная составляющая функции u(t); а — амплитуда сигнала; — частота несущей; 
— амплитуда функции, задающая глубину амплитудной модуляции;
— частота модулирующей функции.
Из рис.7 видно, что период несущей составляет примерно 2 года, период модулирующей функции примерно 17 лет]6].
Построение гелиоцентрической орбиты кометы Галлея

В последний раз комета Галлея проходила через свой перигелий (ближайшая к Солнцу точка орбиты) 9 февраля 1986 года. (Само Солнце считается расположенным в начале координат.)
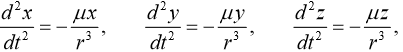
Координаты и компоненты скорости кометы Галлея в тот момент были равны P0 = (0.325514, 0.459460, 0.166229) и v0 = (–9.096111, –6.916686, –1.305721) соответственно, причем расстояние здесь выражено в астрономических единицах длины – а.е.д., или просто а.е. (астрономическая единица, т. е. длина большой главной полуоси земной орбиты), а время – в годах. В этих единицах измерения трехмерные уравнения движения кометы имеют вид:
(18)
где:
,
from numpy import*
from scipy.integrate import odeint
import matplotlib.pyplot as plt
from matplotlib.patches import Circle
def f(y, t):
y1, y2, y3, y4,y5,y6 = y
return [y2, -(4*pi*pi*y1)/(y1**2+y3**2 +y5**2)**(3/2),y4,-(4*pi*pi*y3)/(y1**2+y3**2 +y5**2)**(3/2),y6,-(4*pi*pi*y5)/(y1**2+y3**2 +y5**2)**(3/2)]
t = linspace(0,300,10001)
y0 = [0.325514,-9.096111, -0.459460,-6.916686,0.166229,-1.305721]
[y1,y2, y3, y4,y5,y6]=odeint(f, y0, t, full_output=False).T
fig, ax = plt.subplots()
plt.title("Орбита кометы Галлея(расстояние в а.е., время в годах) n Солнце в центре координат")
plt.xlabel('x(t)')
plt.ylabel('y(t)')
fig.set_facecolor('white')
ax.plot(y1,y3,linewidth=1)
circle = Circle((0, 0), 0.2, facecolor='orange')
ax.add_patch(circle)
plt.axis([1,-21,-1,29])
plt.grid(True)
fig, ax = plt.subplots()
plt.title("Орбита кометы Галлея n Солнце в центре координат")
plt.xlabel('x(t)')
plt.ylabel('z(t)')
fig.set_facecolor('white')
ax.plot(y1,y5,linewidth=1)
circle = Circle((0, 0), 0.1, facecolor='orange')
ax.add_patch(circle)
plt.axis([1,-21,1,-11])
plt.grid(True)
fig, ax = plt.subplots()
plt.title("Орбита кометы Галлея n Солнце в центре координат")
plt.xlabel('y(t)')
plt.ylabel('z(t)')
fig.set_facecolor('white')
ax.plot(y3,y5,linewidth=1)
circle = Circle((0, 0), 0.2, facecolor='orange')
ax.add_patch(circle)
plt.axis([-1,29,1,-11])
plt.grid(True)
fig, ax = plt.subplots()
plt.title("Проекция скорости движения кометы Галлея n на плоскости ZOX и ZOY ")
ax.plot(t,y1,linewidth=1)
ax.plot(t,y3,linewidth=1)
plt.show()
Получим:




Ваша собственная комета
Попробуйте провести эксперимент. В ночь вы установите свой телескоп на вершине, недалеко расположенной от вашего дома возвышенности. Ночь должна быть ясной, безоблачной, звездной и, если вам улыбнулась фортуна: в 0 часов 30 минут ночи вы заметите новую комету.
После повторных наблюдений в следующие ночи вам удастся вычислить ее координаты в ту первую ночь. Координаты в гелиоцентрической системе координат: P0= (x0, y0, z0) и и вектор скорости v0 = (vx0, vy0, vz0).
Используя эти данные, определите:
- расстояние кометы от Солнца в перигелии (самая близкая к Солнцу точка орбиты) и в афелии (самая дальняя от Солнца точка орбиты);
- скорости кометы при прохождении через перигелий и через афелий;
- период обращения кометы вокруг Солнца;
- следующие две даты прохождения кометы через перигелий.
Если измерять расстояние в астрономических единицах, а время — в годах, то уравнение движения кометы примут вид (18). Для вашей собственной кометы выберите произвольные начальные координаты и скорости того же порядка, что и у кометы Галлея.
В случае необходимости, повторно осуществляйте произвольный выбор начального положения и вектора скорости до тех пор, пока не получите правдоподобную эксцентрическую орбиту, выходящую за пределы орбиты Земли (как у большинства настоящих комет).
Ссылки:
- Фейнман Р., Лейтон Р., Сэндс М. Фейнмановские лекции по физике. 3-е изд. Т. 1.-2. М.: Мир, 1977.
- Матвеев А. Н. Механики и теория относительности. М.: Высш. шк., 1986.
- Физическая энциклопедия. Т. 3. М.: Большая российская энциклопедия, 1992.
- Ландау Л. Д., Лифшиц Е. М. Курс теоретической физики. Механика. М.: Фю-матгиз, 1958.
- Баскаков С. И. Радиотехнические цепи и сигналы. М.: Высш. шк., 1988.
- Поршнев C.В. Компьютерное моделирование физических процессов с использованием пакета mathcad.
Автор: Юрий Тараненко
