
Экипаж отлетает от гориллы, проникшей в американский сегмент МКС (на самом деле — нет, но это не фотошоп)
Орбитальная станция имеет микроатмосферу. Рядом скапливаются газы и частички от прилетающих кораблей, сама станция немного газит из различных сочленений и разъёмов. Но большинство частиц всё же образуется от прилетающих грузовых и пилотируемых кораблей.
Поэтому, например, иллюминаторы загрязняются снаружи, особенно от частиц топлива.
Соответственно, бортинженер «Союзов» ТМА-18 и ТМА-16М Михаил Борисович Корниенко как-то выходил в открытый космос протирать стёкла. Ну, то есть снимать плёнку с иллюминатора, потому что она ухудшала качество обзора.
МКС вообще постоянно уворачивается от разного рода мусора. На Земле есть станции слежения: если крупные куски мусора идут на расчётное сближение, то отреагировать на это можно за сутки.
В плоскости орбиты каждый более-менее крупный объект опознан, поэтому нужно его отследить, рассчитать положение и траекторию, и если она проходит в опасной близости от станции, то включить двигатели и подняться выше: песчинка на скорости 10 километров в секунду может оставить трещину на иллюминаторе.
Самый неприятный случай: однажды американская служба слежения слишком поздно передала, что возможно пересечение с отработанным спутником. Перекрёстные скорости составляли 14 километров в секунду.
▍ Короткое пояснение
Мы тут для рекламы заключили контракт, по которому Михаил Борисович Корниенко стал лицом бренда RUVDS. Собственно, всё ради баннеров про аптайм сервера (он у нас в среднем чуть меньше, чем 340 дней второго полёта Михаила Борисовича). В общем, получилось немного поговорить и уточнить кое-какие вещи, о которых мы всё время хотели спросить у космонавта.
Начали мы с мусора, потому что буквально недавно отрелизили игрушку про мусор, но дальше будет и про космический перфоратор тоже.
▍ Возвращаемся к истории
Экипаж позакрывал все люки, ушёл в пристыкованный модуль «Союз». Логика этого действия в том, что сам по себе он маленький и возможность попадания мусора в него гораздо меньше, чем попадание в станцию. Кстати, он же выступает и спасательной шлюпкой, если что. Дальше сидели и ждали, пока они не разминутся. Спутник прошёл мимо — вышли, вернулись к работе.
Вот его краткая запись — одна из сотен:

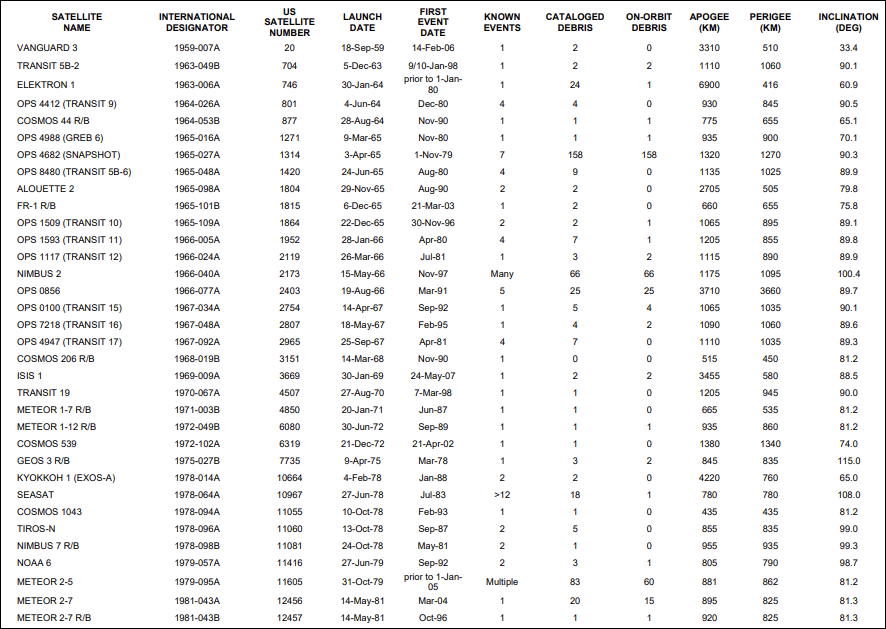
Такое случается со спутниками чаще, чем обычно предполагают. Вот, например, всего одна страница таблицы учёта обломков:

Полный документ — вот здесь, 602 страницы описания разного рода историй.
Собственно, такие манёвры уклонения бывают один-два раза в год (32 раза по октябрь 2022 года). На орбите каждый обломок достаточно крупного размера (с теннисный мяч, например) известен и проклассифицирован. Дальше — вопрос расчётов его орбиты и слежения, то есть обычно за сутки становится известно, что есть опасность пересечения и надо выполнить манёвр.
Если что, то наши пикоспутники формально — фрагменты материнского 3U-кубсата. То есть наземные службы знают, что спутник разделился на несколько фрагментов (рой пикоспутников вышел из орбитальной материнской станции), и учитывают каждый как часть первого спутника. К счастью, наши сойдут с орбиты и сгорят в ближайшие годы. Сейчас есть требование, чтобы спутники тем или иным образом утилизировались: либо захоронением на безопасной орбите, либо посадкой в специально предназначенную часть океана, либо сгоранием в атмосфере.
Мусор бывает самым разным — от многочисленных обломков столкновений спутников до перчатки.
Более серьёзный пример — столкновение спутников «Космос-2251» и Iridium 33.
Относительная скорость — выше 10 километров в секунду. Наш военный спутник «Космос-2251», работавший в 1993–1995 годах, имел массу 900 килограммов, а Iridium 33, фактически базовая станция для спутниковых телефонов, — примерно 600 килограммов. Спутники разрушились и образовали около 600 обломков.
С МКС мусор складывается в грузовой корабль. Отработанный материал размещается в соответствии с графиком распределения масс внутри, потом корабль отстыковывается и уходит вниз. Над Атлантикой он тормозится и сгорает в атмосфере.
Одной из задач Михаила Борисовича был учёт каверн на стекле от микрометеоритов. В станцию постоянно бьются небольшие кусочки, например, краска от третьих ступеней и другие объекты. Их не слышно и не видно, если не искать специально. В косых солнечных лучах в материале иллюминатора они становится заметны, и тогда их нужно пересчитывать и фотографировать новые, чтобы отправить данные на Землю. Собственно, создать облако такого мусора очень легко: достаточно постучать по стенке станции в воздушном шлюзе. Наружная краска со временем становится хрупкой, и хорошо видно, как пыль отлетает с противоположной стороны борта. Такие частицы не очень опасны для самой станции, но могут представлять опасность для других космических аппаратов из-за высокой кинетической энергии. При столкновении на скорости выше 10 километров в секунду разрушения могут быть значительными. Собственно, поэтому каждое столкновение так опасно: создаётся большое число обломков, и каждый из них увеличивает вероятность новых столкновений.
С МКС иногда вылетают и более крупные предметы: некоторые — в рамках экспериментов (например, чтобы экспонировать образцы материалов), некоторые — случайно. Например, в ноябре 2023 года Жасмин Могбели упустила сумку с инструментами: она большая, размером с ксерокс, медленно отходит от станции и спускается туда, где трение об атмосферу будет заметным. Летать она будет предположительно до марта 2024-го, сейчас её можно увидеть в любительский телескоп или хороший бинокль. Упускали перчатку, болт, шпатель, фотоаппарат, плоскогубцы. Ещё потеряли щит от микрометеоритов массой около восьми килограммов. Его должны были развернуть и разместить, но упустили 30 марта 2017 года. Он должен был защищать станцию от мусора, а не примкнуть к нему!
Собственно, метровый импульс по ходу движения станции даёт приращение высоты 3,5 километра через виток. Мусор со станции обычно для неё самой неопасен: он медленно отходит.
А вот то, что летит на пересекающихся орбитах, вполне может стать проблемой.
▍ Теперь — про обычный день космонавта на МКС
Собственно, скорее нас интересовала рутина. Обычный рабочий день — такой: подъём — в шесть утра, гигиенические процедуры, чистка зубов (это важно, потому что до стоматолога, если что, добраться будет очень сложно), потом надо взять гарнитуры и выйти на утренний стендап. На связи — пять ЦУПов: Хьюстон, Нэшвилл, Москва, Цукуба и европейское агентство.
Утром планируется день: у каждого уже есть понятное расписание, оно приходит накануне вечером. Уточняются вопросы по заданиям, обсуждаются пожелания. Хорошо готовиться заранее.
На компьютере есть специальный раздел «1С: Космо» про инвентаризацию. Например, если нужен спектрограф, то софтина показывает, где он последний раз учитывался, за какой панелью лежит. Проблема в том, что он там окажется с вероятностью 98 %, ещё 2 % — на то, что предыдущий космонавт не положил его на место из учёта. Либо положил в какое-то логичное место, а в базе не отметил. И придётся его искать. А без спектрометра эксперимент на завтра будет сорван, поэтому обязательно нужно готовиться заранее.
По плану примерно 60 % уходит на науку (разные эксперименты), а 40 % — на обслуживание станции. Постоянно нужно делать какой-то регламент, что-то осмотреть, поменять, обслужить и так далее. Ради науки делаются полёты, но станция тоже постоянно требует внимания.
Ещё в плане обязательно есть физическая нагрузка: нужно заниматься полтора-два часа в день, иначе на Землю приедете атрофированными. Есть две беговые дорожки, два велотренажёра, электростимулятор мышц, силовой тренажёр. Не фитнес-клуб, конечно, но покрутить педали, пролетая над Челябинском, можно. Во второй полёт часто ставили звуки дождя с грозой, занимаясь под них: аудиофайл прислали психологи специально для Михаила Борисовича, он его включил на громкую — пришли американцы, попросили себе тоже. Потом в их сегментах часто был слышен звук грома.
Есть время на еду. Оно без жёсткой привязки, просто закончили эксперимент примерно в обед — можно есть, потом начинаете следующий.
Восемь часов — сон. Свободное время есть, суббота и воскресенье — вообще выходные, если нет динамических режимов или прихода кораблей. В субботу — обычно уборка, потом — совсем свободное время. Можно заняться физкультурой, посмотреть в иллюминатор, поснимать Землю, поменяться едой с американцами. В пятницу — обычно дружеские совместные ужины.
Их-то, собственно, и ждут, потому что это такой маленький праздник.
Михаилу Борисовичу очень хотелось огурцов, помидоров и укропа, но на станции этого всего в силу объективных обстоятельств нет. Есть чеснок и лук: они долго хранятся. Тут, кстати, надо напомнить, что продукты ещё достаточно долго отлёживаются на Земле в корабле перед стартом, как и любой груз. Наши спутники, например, с разомкнутым контуром питания лежали несколько недель, за это время важно, чтобы не произошёл полный саморазряд аккумулятора. Ну или помидоры не испортились. А вот яблоки и лимоны, например, не портятся.
На выходных (как и в другое время) важно не действовать другим на нервы. Собственно, один из критериев отбора в космонавты — нераздражительность. В полёте на 340 суток (а именно такой был у Михаила Борисовича) вы находитесь с другими людьми на территории одной квартиры.
Карантин показал, как это может быть сложно: многие почувствовали себя космонавтами в этом плане. Так вот, слаженность экипажа важна, поэтому лучше всего тихо смотреть фильм или читать книгу. Для этого есть большие библиотека и фильмотека, есть личные устройства. Ещё можно позвонить родным на Землю — есть возможность коммутировать с любым сотовым. В субботу можно увидеть семью по видеосвязи. Есть личные предметы, сейчас их можно брать довольно много по сравнению с первыми полётами. Скотт Келли, например, привёз костюм гориллы. Когда разгрузили корабль, он его потихоньку вытащил и потихонечку надел. Достаточно полная имитация: лапы, башка. Начал так ходить по станции.
Для осмысления понадобилось некоторое время: горилла в американском сегменте! Наши заказали у психологов звук перфоратора. В ближайшее же воскресенье начали сверлить.
График практически не меняется. Исключения — дни приходов кораблей или динамических режимов. Во время адаптации на орбите первые три-четыре дня ЦУП тоже не особо нагружает, даются простые рутинные работы. Адаптация к невесомости безболезненная, например, позвоночник растягивается на три-четыре сантиметра: это может зацепить разве что мышцы, которые и так натренированы. Самое неприятное, по опыту Михаила Борисовича, — перераспределение крови, когда отекают лица. А вот на Земле уже идёт обратный процесс — компрессия с возможными защемлениями, это болезненно. Кстати, после второго полёта он адаптировался к Земле лучше, чем после первого. Главное — опыт, понимание того, что можно, а чего нельзя. «После первого полёта прошло три-четыре денька и я побежал по стадиону. На следующий день коленки были, как арбузы. Хотели откачивать жидкость», — рассказывает Михаил Корниенко. Нельзя делать резких телодвижений — нужно плавно входить в режим.
Дальше он уже принимал хондроитин, во время второго полёта много занимался спортом, в свободное время вставал на беговую дорожку или садился на велосипед. Говорит, что если полёт длится больше месяца, то уже не очень важно, сколько он в итоге продлится: это не постоянная деградация мышц, удаётся стабилизироваться.
Кстати, Михаил Борисович развеял старый миф про то, что космонавты после приземления часто ведут себя так, как привыкли в невесомости. Чашку в воздухе никто не оставлял, в самолёте тарелку или кусок хлеба другим не бросал. быстро адаптируется, руки становятся субъективно тяжёлыми, как рельсы, дальше всё — по привычным шаблонам.
Автор: Никита Цаплин

