В прошлой статье я написал об истории появления теории о тёмной материи, «ошибке» Эйнштейна (у гениев даже ошибки гениальные) и о том, что пока непонятно, что именно представляет собой эта загадочная то ли субстанция, то ли константа, то ли энергия.
В одной статье невозможно уместить всю информацию на такую обширную тему, поэтому сейчас предлагаю рассмотреть некоторые более конкретные вопросы, связанные с попытками учёных разобраться в том, что такое тёмная энергия (а также существует ли она вообще).
▍ Без тёмной энергии — никуда
Как мы уже давно знаем, Вселенная расширяется. Однако расширяться она может по-разному. Если бы не существовало силы, заставляющей её расширяться, а первоначальное расширение было бы вызвано только энергией Большого взрыва, то всё зависело бы от первоначальной скорости расширения. Если бы она была слишком мала для всего находящегося в ней (вещества и энергии), Вселенная быстро реколлапсировала бы — сжалась обратно.
Если скорость расширения была бы слишком велика с учётом всего находящегося в ней, Вселенная быстро разлетелась бы так, что образовавшиеся в ней частицы никогда не встретили бы друг друга. И только когда скорость расширения Вселенной «тонко настроена», как сейчас, она может расширяться, охлаждаться, образовывать сложные вещи и сохранять интересные структуры в течение миллиардов лет. Если бы наша Вселенная на самых ранних стадиях горячего Большого взрыва была хоть немного более, или хоть немного менее плотной, или, наоборот, расширялась бы хоть чуть-чуть быстрее или медленнее, наше собственное существование было бы физически невозможным.
Почему так произошло, вопрос отдельный, и тоже спорный. Наличие тонкой настройки отнюдь не подразумевает наличия «настройщика» — может, играют роль законы природы, которых мы ещё не знаем, а может, как говорит теория инфляции, существует множество отдельных вселенных, каждая в своём пузырьке, с разными физическими законами и константами (или просто с разными начальными условиями), и мы появились в такой Вселенной, в которой все настройки оказались такими, что мы смогли в ней появиться (такой подход известен как «антропный принцип»).
Для нас интересно то, что закон гравитации и общая теория относительности настолько хорошо изучены, что если мы измерим скорость расширения Вселенной сегодня и определим, что представляют собой все различные формы материи и энергии, содержащиеся в ней, мы можем точно рассчитать, каковы были размер, масштаб, температура, плотность и скорость расширения наблюдаемой Вселенной в каждый момент нашей космической истории и каковы будут эти величины в любой момент в будущем.
Мы можем точно узнать, как материя, излучение и энергия будет эволюционировать по мере удаления двух любых точек Вселенной друг от друга. У нас есть обычная материя, плотность которой по мере увеличения объёма пространства убывает по закону обратного куба. У нас есть излучение, например, фотоны или гравитационные волны, энергия которых меняется по закону обратной четвёртой степени, поскольку количество квантов уменьшается, а ещё и длина волны каждого кванта растягивается в расширяющейся Вселенной. У нас есть тёмная материя (мы на самом деле не знаем, что это такое, но предполагаем, что это некая материя, которая в этом отношении ведёт себя идентично обычной материи). У нас есть нейтрино, которые ведут себя как излучение при больших энергиях, и как материя при малых. И ещё у нас есть та самая космологическая константа, плотность энергии которой постоянна повсюду в пространстве и остаётся неизменной независимо от расширения или сжатия Вселенной — это, судя по всему, свойство самого пространства.
Компоненты Вселенной, которые убывают быстрее всего, наиболее важны на ранних этапах её эволюции, в то время как компоненты, которые убывают медленнее (или не убывают вовсе), потребуют больше времени, чтобы их влияние можно было наблюдать, но на более поздних этапах именно они становятся доминирующими.
Я уже писал, что то, что Вселенная расширяется быстрее, чем если бы в ней были только материя и излучение, стало понятно благодаря изучению сверхновых. После того, как астрономы исключили варианты того, что с этими сверхновыми творится что-то необычное, самым успешным объяснением ускоренного расширения (с неопределённостью всего 7%) на сегодня является то, что тёмная энергия ведёт себя как космологическая константа.
Похоже, что без какой-то концепции тёмной энергии нам не обойтись. Другой вопрос, что она собой представляет — действительно свойство ли это пространства, космологическая константа, или же точно таким же образом на Вселенную может влиять нечто другое.
▍ Могут ли чёрные дыры отвечать за расширение Вселенной?
Одна из интересных идей, которая подробно рассматривалась в середине 2000-х годов, заключалась в том, что тёмная энергия могла возникнуть из-за (отрицательной) энергии связи, возникающей при образовании звёзд, галактик, скоплений галактик и великой космической паутины — структуры Вселенной. Уравнения, которые мы используем для расчёта расширения Вселенной, предполагают, что Вселенная подчиняется космологическому принципу: она изотропна (одинакова во всех направлениях) и однородна (одинакова во всех местах) повсюду.
Можно сделать расчёт, чтобы фактически количественно оценить влияние этой «энергии неоднородности» и посмотреть, как она себя ведёт. Оказалось, что количественно это влияние никогда не поднимается выше уровня ~0,1%, кроме того, она никогда не ведёт себя так, как ведёт себя тёмная энергия: как космологическая постоянная или какая-то другая форма энергии, присущая самому пространству.

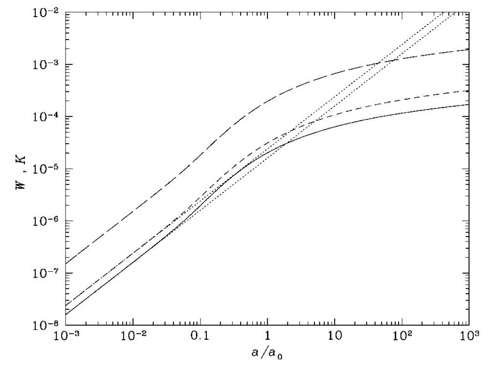
Как влияют космические неоднородности, т. е. отклонения от идеальной «гладкости», на космическое расширение? Три линии показывают вклад в общую плотность энергии гравитационной потенциальной энергии (вверху), энергии неоднородностей (в середине) и кинетической энергии (внизу) в расширяющейся Вселенной. Ось y масштабирована так, что «1» — это 100% плотности энергии, а ось x устроена так, что «1» — это сегодня, прошлое — слева, а будущее — справа.
Единственное место, где оставалась хоть какая-то «свобода манёвра» для возникновения подобного эффекта, было там, где возникают сингулярности: внутри чёрных дыр. Учёные называют это «эффектом обратной реакции» — это эффект, возникающий, когда Вселенная реагирует противоположным образом на то, что происходит внутри неё.
Было трудно представить, что чёрные дыры будут иметь большое значение в расширении Вселенной по трём причинам:
- Во-первых, мы можем количественно определить, сколько гравитационной энергии связывания содержится в чёрных дырах, и это всего лишь около 0,01% от количества энергии, необходимого для объяснения тёмной энергии.
- С другой стороны, плотность тёмной энергии должна оставаться постоянной во времени, а плотность числа и массы чёрных дыр уменьшается со временем, особенно в очень поздние времена.
- Отдельные чёрные дыры действительно растут со временем, и постоянно образуются новые чёрные дыры, но этот рост происходит гораздо медленнее, чем скорость расширения Вселенной.
Пару лет назад несколько исследователей опубликовали научную статью, общее утверждение состоит в том, что чёрные дыры, и, в частности, сверхмассивные чёрные дыры, участвуют в расширении Вселенной на самых больших космических масштабах, и что особый способ их взаимодействия может потенциально объяснить некоторые или даже все наблюдаемые нами эффекты тёмной энергии.
Авторы рассмотрели несколько выборок эллиптических галактик из разных периодов космического времени и сделали определённые выводы на основе наблюдений за ними и того, что эти чёрные дыры со временем растут.
Однако бритва Оккама предполагает другой вариант объяснения: на самом деле эти чёрные дыры растут за счёт чисто астрофизических процессов: падения и аккреции материи с течением времени, а также слияний и актов галактического каннибализма. Авторы предполагают существование связи, которой нет, и приписывают предполагаемую эволюцию соотношения масс чёрных дыр и звёзд этой связи, в то время как на самом деле происходит эволюция галактик и их чёрных дыр. Поскольку мы видим каждую галактику только в один конкретный момент времени, у нас нет возможности узнать, как эволюционирует каждый отдельный объект, поэтому авторы, по сути, выдают желаемое за действительное.
▍ Эволюционирует ли тёмная энергия со временем?
Казалось бы, ситуация с тёмной энергией постепенно становится понятнее — по крайней мере, все наблюдения свидетельствуют о том, что она ведёт себя как космологическая константа. К сожалению (или к счастью, это как посмотреть) последние наблюдения коллаборации DESI могут свидетельствовать о том, что эта самая константа на самом деле меняется со временем, то есть константой не является.

Спектроскопический прибор для изучения тёмной энергии (Dark Energy Spectroscopic Instrument, DESI) — это научно-исследовательский инструмент для проведения спектрографических астрономических исследований далёких галактик. Прибор позволяет проводить наблюдения по изучению истории расширения Вселенной и физики тёмной энергии. В полную силу DESI заработал в мае 2021 года. Он находится на высоте 2100 м над уровнем моря в 89 км от Тусона, штат Аризона, США.
Наша текущая общепринятая теория, описывающая устройство Вселенной, сегодня известна как «ΛCDM». Символ Λ означает тёмную энергию, которая, как предполагается, является космологической постоянной в её простейшей форме и составляет сегодня 68% всей энергии Вселенной. «CDM» означает холодную тёмную материю, которая составляет большую часть остального космического энергетического бюджета (27%), а оставшиеся 5% — это обычная материя на основе атомов, плюс ещё немного массы/энергии в виде фотонов и нейтрино.
Картинка красивая, но не идеальная. Хаббловская напряжённость показывает нам, как измерение Вселенной разными способами приводит к разным значениям скорости расширения. Также существует противоречие в том, насколько быстро формируется структура на определённых масштабах: противоречие Сигмы-8. И вот теперь, после публикации последних данных коллаборации DESI, у нас есть достаточно веские, хотя и не неопровержимые доказательства в пользу эволюционирующей тёмной энергии.
В прошлом году DESI выпустила свой первый набор данных и пришла к удивительному выводу: собранные ими данные по барионным акустическим колебаниям (БАК) указывают на то, что тёмная энергия, возможно, не является космологической константой.
В космологии барионные акустические колебания — это флуктуации плотности видимой барионной материи (то есть обычной материи) Вселенной, вызванные акустическими волнами плотности в первозданной плазме ранней Вселенной. Подобно тому, как сверхновые служат «стандартной свечой» для астрономических наблюдений, кластеризация материи по БАК служит «стандартной линейкой» для шкал длины в космологии. Длина этой стандартной линейки определяется максимальным расстоянием, которое акустические волны могли пройти в первозданной плазме, прежде чем плазма охладилась до точки, где она превратилась в нейтральные атомы (в эпоху рекомбинации), что остановило расширение волн плотности плазмы, «заморозив» их. Длину этой стандартной линейки (≈490 миллионов световых лет в современной Вселенной) можно измерить путём изучения крупномасштабной структуры материи с помощью астрономических исследований.
В данных DESI можно найти, пусть и слабые, свидетельства того, что тёмная энергия эволюционирует, а конкретно — ослабевает с течением времени. Пока у нас нет более совершённых, возможно, даже окончательных данных от текущих и будущих телескопов, мы просто должны полагаться на лучшие данные, которые у нас есть. Буквально в прошлом месяце DESI выпустила свой второй набор данных, в котором они увеличили мощность приборов, глубину и охват неба. Теперь в их обзор включено более 14 миллионов галактик и квазаров: это самый большой набор данных о крупномасштабных структурах за всю историю наблюдений.

Утверждается, что тёмная энергия больше не выглядит как космологическая постоянная, и что вместо этого данные свидетельствуют в пользу такой формы тёмной энергии, которая была сильнее в прошлом, а теперь ослабевает. Если объединить эти данные о крупномасштабных структурах с данными о сверхновых и реликтовом излучении (РИ), то получится довольно значимый результат: предпочтение в пользу меняющейся тёмной энергии колеблется между 2,8 и 4,2 сигмы. Это не совсем соответствует «золотому стандарту» значимости в 5 сигм, но уже близко к тому.
Правда, поспешных выводов делать тоже не стоит. В статье авторы оценивают различные вероятности, которые возникают при измерении общей плотности материи во Вселенной: параметра, известного как Ωm. Они учитывают:
- первый выпуск данных DESI (DR1),
- второй выпуск данных DESI (DR2),
- лучшие данные по реликтовому излучению (CMB на картинке) от спутника «Планк»,
- и три различных обзора сверхновых: Pantheon+, Union и DESY5.

Видно, что данные по БАК слабо согласуются с данными по РИ, а данные по РИ слабо согласуются с данными по сверхновым, при этом данные по БАК и данные по сверхновым вообще почти не согласуются друг с другом. Появляется очередная космологическая «напряжённость».
Кроме того, в их космологической модели, которая наилучшим образом соответствует данным, собранным на основе БАК, один из параметров, а именно сумма масс нейтрино, получается отрицательным, чего, понятно, быть не может.
Конечно, из того, что мы не можем объединить три независимых набора данных — БАК, РИ и данные по сверхновым типа Ia — и получить нечто, согласующееся с нашей стандартной (ΛCDM) космологией, не следует сразу же, что стандартная космология неверна. Но какие-то из наших представлений о Вселенной определённо нуждаются в серьёзном уточнении.
В итоге мы имеем нечто интересное: противоречие между сочетанием трёх основных наборов космологических данных. Кроме того, мы уже знали, что данные по РИ и данные по сверхновым порождают хаббловскую напряжённость, если мы пытаемся их объединить; это признак того, что в космологии нас ждёт какой-то сюрприз.
Продолжение следует…
© 2025 ООО «МТ ФИНАНС»
Автор: valisak
