Как я обещал в предыдущей статье, этот материал будет посвящен обзору аккумулятора фантома. О достоинствах этих аккумуляторов и о том, какие они умные, за меня расскажут на сайте производителя, я же дам то мнение, которое у меня сформировалось за время просмотра кучи полётных логов джедаевских фантомов.

Качество батареи зависит от партии.
Cовсем новые аккумуляторы могут вести себя совершенно по-разному. Джедаи чинят баги обновляют прошивки, возможно меняют на ходу технологию производства, открывают заводы, и среди такого бурного развития видимо сложно отследить качество. Сами они признают шанс нарваться на бракованную продукцию и в этом случае идут на контакт, предлагая скинуть им логи полётов по которым они и определяют качество аккумулятора, после чего бракованный аккумулятор меняется по гарантии.
Здесь я оценивал качество батареи по девиации банок и обнаружил два варианта изначального состояния батареи. В первом варианте малая девиация со временем медленно начинает увеличиваться, чего увы не избежать, либо изначально может присутствовать девиация около 30-50мВ, но после первых циклов обкатки уменьшается и дальше ведёт себя аналогично.

Второй вариант, когда девиация после первых циклов использования начинает быстро расти и грозится достичь опасных значений за первые пару десятков полётов.

Если линейно аппроксимировать этот график и попробовать предсказать что будет дальше, то девиация первой банки с графика чуть выше может достичь опасных значений примерно через 20-30 циклов. Под опасными значениями я понимаю 0.1В. Следует добавить что за девиацию я считаю наибольшее отклонение какой-либо банки аккумулятора от средне-арифметического значения по всем банкам и если девиация 100мВ, то дельта между наиболее заряженной и просаженной банками заведомо больше 100мВ. После этого порога, за аккумулятором стоит следить очень внимательно, не летать над опасными участками, поскольку просадки даже одной банки грозят потерей мощности, и педолить письма в тех поддержку джедаев.

Первая банка умирает быстрее
По графикам видно, что девиация первой банки всегда немного больше, чем у других. Обычно это банка, расположенная ближе к плюсу, но не суть. Факт в том, что аккумулятор умирает не постепенно целиком, а начиная с одной из банок. Заменить же умирающую банку можно, но хотя в сети и существуют подробные инструкции с видео о замене, этим готовы заниматься только самые рукастые.
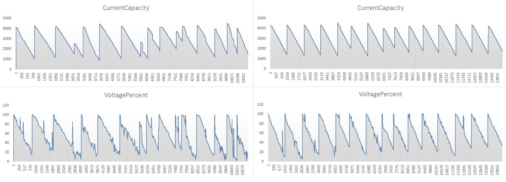
Срок службы зависит от стиля вождения

На графиках почти новые аккумуляторы, прошедшие 10-15 циклов. Слева аккумулятор, у которого девиация быстро увеличиваться, а справа батарея в идеальном состоянии. Можно заметить, что девиация банок аккумулятора чаще начинает увеличиваться у тех, кто агрессивно пилотирует. Стиль пилотирования я оценивал по графикам напряжений, на которых видны просадки в тот момент, когда пилот резко меняет направление движения, быстро взлетает и вообще совершает действия, приводящие к большому потребляемому току и нагрузке на аккумулятор. Я бы не стал однозначно утверждать что агрессивный стиль вождения портит аккумулятор, и оставил бы этот вопрос на открытое обсуждение, но я нашёл интересным рассказать о корреляции этих факторов. Хотя литий-полимерные аккумуляторы рассчитаны на большие токи, всё равно они используются в экстремальных для них условиях и повышенные нагрузки влияют на них не лучшим образом.
Также нужно учесть что аккумуляторы желательно немного «обкатать» перед тем как давить стик до упора. Этого требования нету у производителей аккумуляторов, а скорее рекомендация из личного опыта.

Напоследок приведу примеры графиков температур. Здесь тот же плохой слева и хороший справа аккумуляторы. Видна стабильность использования хорошего и то что потенциально плохой аккумулятор использовался в гораздо более широком диапазоне температур. Это могло произойти как из-за агрессивного пилотирования, приведшего к большой нагрузке на аккумулятор и тем самым разогрев его, так и из-за банально тёплой погоды, поэтому ориентироваться на них не стоит, но учесть можно. Экстремальных температур на графиках я ещё не встречал, поскольку разбирал только зимние логи. Нижняя граница ограничена мозгами, не дающими стартовать пока аккумулятор не нагреется хотя бы до 15 градусов, а верхней границей я всегда считал 60 градусов. Если у кого-то есть логи в которых аккумулятор перегревался, то было бы очень интересно посмотреть как это отражается на его состоянии.
Автор: martsen
