Разнообразие природных явлений столь велико, а скрытые в небесах сокровища столь богаты, что благодаря их количеству человеческий разум никогда не будет нуждаться в подпитке.
— Иоганн Кеплер
Так говорил человек, открывший в 1604 году самую свежую на тот момент сверхновую, находящуюся в нашей Галактике и наблюдаемую в видимом спектре. И хотя, скорее всего, после неё было ещё два взрыва, их не было видно невооружённым глазом, а их остатки были открыты уже при помощи мощных телескопов.
В январе 2012 года была открыта первая в том году сверхновая, в галактике, отстоящей от нас на 25 миллионов световых лет, NGC 3239. Изображённая ниже сверхновая получила имя SN 2012a.

С типичной периодичностью в примерно одну сверхновую в одной галактике за одну сотню лет, становится интересно, что бы мы увидели – и как быстро – если бы сверхновая образовалась в нашей Галактике.
Вспомним, что сверхновая может образоваться одним из двух способов, но оба они включают в себя вышедшую из-под контроля реакцию ядерного синтеза, высвобождающую огромное количества света и энергии. Большая часть энергии, что удивительно, выделяется не в виде света! Давайте заглянем внутрь звезды, которая через несколько секунд должна превратиться в сверхновую.

Кроме встрясок и большой температуры, внутренние реакции производят нейтрино, из которых большая часть не взаимодействует с внешними слоями звезды! С ними взаимодействуют лишь некоторые нейтрино, а также все протоны, нейтроны и электроны, появление которых не происходит моментально. И хотя у взрывной волны проход до внешних слоёв звезды отнимает пару часов, нейтрино проделывают этот путь почти мгновенно!
Это значит, что когда звезда превращается в сверхновую, поток нейтрино возникает до потока света! Мы открыли это при наблюдениях в 1987 году.
Когда сверхновая 1987а взорвалась на расстоянии всего в 168 000 световых годах от нас, это было достаточно близко – и у нас было достаточное количество детекторов нейтрино – чтобы засечь 23 (анти)нейтрино за период в 13 секунд. Самый крупный детектор, Камиоканде-II, содержавший 3 000 тонн воды, засёк 11 антинейтрино.
Сегодня находящийся на его месте детектор Супер Камиоканде-III, содержит 50 000 тонн воды и 11 000 фотоувеличительных трубок. (В мире есть множество других прекрасных детекторов нейтрино, но я остановлюсь на этом для примера).

Его устройство удивительно потому, что он может не только обнаруживать нейтрино, но и определять направление, энергию и точку взаимодействия даже единственного нейтрино, которому повезло провзаимодействовать с любой из частиц в 50 000 тонн воды!

В зависимости от того, в каком месте нашей Галактики появится потенциальная сверхновая, Супер Камиоканде-III должен будет зарегистрировать от нескольких тысяч антинейтрино (в случае взрыва с противоположной стороны Галактики) до более чем десятка миллионов, и всё это за 10 – 15 секунд!
Детекторы нейтрино по всему миру увидят поток нейтрино, одновременно и с одной и той же стороны. В этот момент у нас останется 2-3 часа на определение направления на источник этих нейтрино, и поворот телескопов для попытки визуального наблюдения сверхновой – в первый раз в истории – с самого её начала!

Ближайшая после 1987 года сверхновая была та, что изображена выше, и мы сумели разглядеть её через полдня после взрыва.
В основном благодаря счастливому случаю, мы довольно близко подобрались к интенсивной гиперновой в 2002 году.

И всё равно мы начали наблюдать эту звезду, SN 2002ap, только спустя 3-4 часа после первого взрыва. Если сверхновая, которой предстоит появиться, будет принадлежать к категории Ia – то есть, происходить от белого карлика – у нас нет возможности предсказать, в какой части галактики это произойдёт. Белых карликов слишком много, расположение большинства из них неизвестно и считается, что они разбросаны по всей Галактике.
Если же сверхновая случится у очень массивной звезды с ядром, коллапсирующим под собственной тяжестью, (сверхновая типа II), у нас для этого есть набор неплохих кандидатов и отличных мест для поисков.

Очевидное место – центр Галактики, где взорвалась последняя из известных сверхновых Млечного пути, а также место пребывания самых массивных звёзд, существующих в нашей Галактике. В следующие 100 000 лет там совершенно точно появится множество сверхновых II типа, но у нас нет возможности узнать, когда мы увидим следующую. Разглядывая картинку выше, подумайте о том, что взрывы этих сверхновых уже, скорее всего, произошли, и мы лишь ждём момента, когда нейтрино (а за ними и свет) дойдут до нас!
Но у нас есть кандидаты и поближе галактического центра.

Заглянем в недра огромной туманности, в которой рождаются звёзды, и найдём там самые горячие и молодые звёзды среди всех, что можно встретить во Вселенной. Именно там живут ультрамассивные звёзды – и, в частности, Туманность Орла на фото выше может быть домом для очень недавней сверхновой. Туманность Орла, Туманность Ориона и множество других регионов, заполненных молодыми звёздами, служат прекрасными местами для рождения следующей сверхновой.
А что насчёт отдельных звёзд? Хотя есть множество хороших кандидатов, два из них особенно часто участвуют в наших разговорах.

Эта Киля, находящаяся на самых последних стадиях жизни, может буквально в любой момент стать сверхновой. Или до этого момента могут пройти сотни, тысячи и десятки тысяч лет. Но если мы обнаружим поток антинейтрино, идущих примерно с её позиции в космосе, то именно на неё мы направим свои телескопы в первую очередь!
В отличие от кандидатов, расположенных на расстояниях в тысячи световых лет от нас, есть ещё один, гораздо ближе. Это самый близкий кандидат на сверхновую!

Поздоровайтесь с Бетельгейзе, красным супергигантом в 640 световых годах от нас. Бетельгейзе такой огромный, что его диаметр сравним с орбитой Сатурна! Если Бетельгейзе превратится в сверхновую, наши детекторы нейтрино по всей Земле зарегистрируют порядка сотни миллионов антинейтрино, что в сумме превзойдёт количество всех нейтрино всех типов, когда-либо зарегистрированных за всю историю.
Но если сверхновыми станут не эти известные кандидаты, сможем ли мы сказать, была ли это сверхновая типа Ia или типа II?

Всегда можно подождать. У сверхновых разных типов очень разные световые кривые, и то, как свет затухает после достижения пиковой яркости, покажет нам, какой это был тип сверхновой.
Но в таком удивительном случае я не собираюсь испытывать своё терпение. К счастью, мне это и не будет нужно, поскольку сверхновая в нашей галактике, скорее всего, станет первым регистрируемым наблюдением новейшего типа астрономии: астрономии гравитационных волн!

На гравитационные волны ничего не влияет, и такие волны от взрыва сверхновой должны будут пройти через находящиеся у них на пути звёзды, газ, пыль или материю без нарушений, и прийти одновременно с первой волной (анти)нейтрино! А плюс будет в том, что, согласно нашим лучшим симуляциям ОТО, сверхновые типа II (коллапс ядра) и типа Ia (белый карлик, падающий по спирали) должны будут породить совершенно разные гравитационные волны!
Если это будет сверхновая типа Ia, мы должны будем зарегистрировать три отдельных региона в сигнале:

Фаза спирального падения должна будет произвести периодическую пульсацию, увеличивающую частоту и силу по мере того, как белые карлики достигают финальной стадии разделения. В момент зажигания в сигнале должен произойти всплеск, за которым последует фаза затухания. Очень разные вещи.
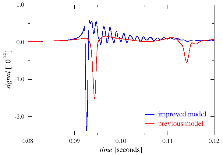
Но если у нас будет сверхновая типа II, от сверхмассивной коллапсирующей звезды, мы увидим всего две интересные вещи.

Огромный всплеск – сама сверхновая – через одну десятую секунды после коллапса ядра, за которым следует быстро затухающий (в пределах 0,02 сек) отклик. И если нам нужно будет понять, что мы видели, нам понадобится лишь вот такой говорящий сигнал гравитационных волн.
Вот что мы бы увидели, если бы следующая сверхновая в нашей Галактике взорвалась бы сегодня!
Автор: SLY_G
