
Физики молчаливо предполагают, что мир состоит из материи. А что если из информации? В конце концов, материя – лишь название строительного материала, из которого, по мнению физиков, организован мир, но свойства материалов и укладка их в единое восхитительное и гармоничное целое – это уже информация. Поэтому при упоминании об устройстве мироздания правильней все-таки говорить об информации, чем о материи.
Ниже приводятся выводы из данного смелого предположения. Приверженцам традиционного физического представления о мире одни из них могут показаться безнадежно банальными, другие – вызывающе нелепыми. Что же, не все физикам удивлять обыкновенных людей черными дырами и квантовыми струнами, иногда и представители прочего человечества способны удивить физиков не менее безрассудными заявлениями.
Если мироздание есть информация, то мироздание необходимо рассматривать в виде базы данных. Конечно, существуют разные способы представления информации, но базы данных – именно то, что в настоящее время отождествляется с информацией: ее структурированием, хранением и использованием. Почему в таком случае не попытаться представить мироздание в виде… допустим, реляционной базы данных?
Не буду начинать с начала – соответствующие посты опубликованы (здесь, а продолжение здесь). Суть в том, что структура физического мироздания может быть быть представлена в табличке простейшего вида.

Пять присущих человеку ощущений структурированы тремя идентификаторами. Ощущения определяют запредельное (ну в самом деле, что такое «горячий», или «зеленый», или «горький», если рассматривать их самих по себе?! Они же совершенно неописуемы), а идентификаторы устанавливают внутреннюю структуру информационной системы (ID_1 указывает на объект, ID_2 – на его предшественника, из которого данный объект образовался, а ID_3 – на субъекта). Все вместе, ощущения и идентификаторы, дают представление об окружающей нас реальности.
Вот и давайте проверим, насколько реальность вписывается в данную схему. Возьмем и зарегистрируем в пустой информационной системе первый объект.

Это аналог большого взрыва, мыслимого теоретическими физиками в качестве начала вселенной. Как видите, никакого взрыва не происходит: первый зарегистрированный объект просто оказывается в системе, и все. Правда, вместе с ним в системе оказывается нулевой объект: то, из чего образовался первый объект (по всей видимости, то, что взорвалось при зарождении вселенной согласно гипотезе физиков). Нулевой объект появляется в системе при регистрации первого объекта в качестве ссылки, по причине чего не обладает какими-либо свойствами: о нем буквально нечего сказать, кроме того что из нулевого объекта образовался первый объект. А то, что любой объект, в том числе первый в информационной системе, из чего-то образуется, будьте уверены: объект – это нечто определенное, следовательно существует остальное, что этим объектом не является. Такой вот строгий философский пассаж, уже не знаю, насколько он приглянется читателям.
Субъекта, обозначенного как «А», оставляем в покое – он заметной роли в наших рассуждениях не играет. Сосредоточим внимание на объектах.
Представим, что нам необходимо зарегистрировать в системе второй объект. Для этого существуют возможности:
- либо регистрировать новый объект из нулевого, по аналогии с первым объектом;
- либо зарегистрировать его из первого объекта, представив, что первый объект разделился надвое.

Первое известно, поэтому познавательно второе. Но возникают сложности с идентификацией оставшейся части первого объекта.
Вы можете сказать, что остается после того, как от объекта отнята часть: совершенно новый объект или уменьшившийся прежний? Не спешите с ответом. Представьте, что имеется мебельный гарнитур в составе журнального столика, дивана и кресла. Если отнять от гарнитура кресло, что останется? Тот же мебельный гарнитур, только в неполной комплекции – без кресла. А если отнять журнальный столик и диван, останется почему-то не мебельный гарнитур в неполной комплекции, а всего лишь кресло.
Нет, пример не дурацкий, хотя проблема хорошо известна. Для нас она познавательна тем, что в таблице мироздания возможны различные способы кодировки объектов.
Вот первая ситуация, когда изъятие объекта сохраняет первоначальный объект в целости, хотя в измененном виде:

Был первый объект, из него вычленили второй, оставляя в итоге уменьшившийся первый.
А вот ситуация, когда изъятие объекта приводит к уничтожению первоначального объекта:

Был первый объект, а его разделили на второй и третий.
Ничего похожего, правда? А на самом деле в точности совпадающие операции, выполненные однако в различных кодировках.
Впрочем, возможности кодирования информации мы не рассматриваем (они все равно не касаются содержания информационной системы, это лишь способы задания ее внутренней структуры), останавливаемся на втором способе.
Замечаем, что при втором способе кодировки ID_1 весьма наглядно показывает появление (то есть приход) объектов, а ID_2 – исчезновение объекта (его расход).

Приход и расход – базовые философские понятия, а вы и не знали, наверное.
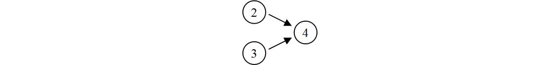
Конечно, в реальности возможно не только разделение объектов, но и их слияние. Допустим, я захотел восстановить первоначальное положение, объединив второй объект с третьим.

В принятой кодировке необходимо выполнить записи:

Обратите внимание, что при регистрации составного объекта не требуется указывать объектные признаки (зрение, слух, обоняние). Объект-то составной, состоит из частей, каждая из которых обладает собственными признаками, а они зарегистрированы ранее.

Это объясняет эффект периферийного зрения, о котором я писал в одном из предыдущих постов. Зрение у человека всё периферийное: на самом деле человек способен зрительно воспринимать не более одной точки за раз (потому что регистрация данных в таблице мироздания дискретна). Тем не менее человек видит сразу все? В том-то и дело, что нет. В нашем примере субъект «А» не видит даже и одной зрительной точки, а воспринимает идентификатор, который отсылает его к признакам, зарегистрированным в прошлом. Причем это прошлое может быть сколько угодно далеким, так как составной объект иногда составлен из составных объектов, которые сами составлены из составных объектов и т.д. Но при восприятии составного объекта человек воспринимает прошлые регистрации: это своеобразная машина времени, отсылающая человеческое сознание по месту и соответственно времени регистрации и позволяющая видеть цельную зрительную картинку, не видя по сути ничего, кроме того, что зарегистрировано в череде прошлых объектных слияний и разделений.
Почему слияний и разделений, откуда взялись две противоположных операции? Видимо, от самого акта преобразования объекта, предполагающего два варианта:
а) новое меньше прежнего – отсюда разделение;

б) новое больше прежнего – отсюда слияние.

А в качестве промежуточной точки между слиянием и разделением – изменение свойств объекта, при котором (если использовать принятую нами кодировку) вместо одного объекта появляется новый объект с измененными свойствами. Случай равенства нового и прежнего объектов:
![]()
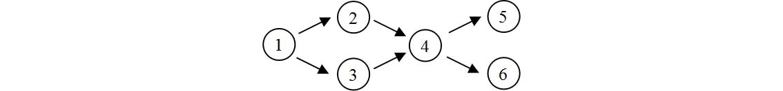
Указанные действия заполняют информацией таблицу мироздания, например так, как было записано ранее.

Обратите внимание, четвертый объект вроде бы идентичен первому (сначала объект разломили надвое, а потом соединили), но с другой – не вполне идентичен, и не только идентификатором (четвертый, а не первый), это-то никакой роли не играет, это всего лишь обозначение. Различие в том, что четвертый объект – составной, так как был составлен из второго и третьего, а первый объект, казалось бы, обладающий теми же свойствами, что четвертый, по определению элементарный (поскольку был вычленен из нулевого).
Кажется, физика такого не предполагает: чтобы элементарный объект мог быть разделен на части. Составной – да, пожалуйста: например, мы можем разделить на части четвертый объект, некогда полученный из второго и третьего. Обозначения согласно принятой нами кодировки будут другими, но части объекта сохранятся.

Однако первый объект под эту аналогию не подпадает, он ведь изначально элементарный.
Получается, что элементарный (ранее не имевший частей) объект может быть разделен на части! Что из приведенных рассуждений вытекает неопровержимо, поскольку законы функционирования информационных систем приняты нами в качестве аксиомы. Либо придется предположить, что объект, вычленяемый из нулевого, уже обладает какой-то внутренней структурой, позволяющей делить или не делить его на части. Но из информационной системы этого во всяком случае не следует.
Сколько выводов – пусть в силу отрывочности изложения выглядящих сумбурными, но ведь любопытных, любопытных же! И это первое приближение в грубой прикидке.
Однако продолжаю.
Пока я не коснулся признаков объектов – того, что изначально задается значениями полей «Зрение», «Слух» и «Обоняние». Но послушайте, с приходом объекта они способны изменяться! Прежний объект может обладать одними свойствами, а новый объект – совсем другими.
Имеем два базовых (остальные могут быть сведены к ним) варианта:
1) свойства объектов сохраняются;

2) свойства объектов не сохраняются.

Несложно сообразить, что перед нами не что иное как физическое и химическое преобразование материи-информации:
- в первом случае имеем физическое преобразование: просто разделяем объект надвое, при том что свойства объекта сохраняются в обеих ее частях;
- во втором случае свойства частей изменяются, что свидетельствует о химической реакции – не свидетельствует даже, а является химической реакцией.
Используемый способ противоположен привычному «материальному» подходу: не химическая реакция выражается при помощи таблицы, а возможности таблицы – в общем смысле, возможности представления информации, – определяют возможности объектов в информационной системе. Применительно к нашему случаю комбинаторика задает способы физического или химического преобразования объектов.
Мне возразят, что в результате химической реакции не из всякого объекта могут быть получены всякие, а из определенного лишь определенные в соответствии с известными законами химии. А никто и не спорит. Тут мы сталкиваемся с базовыми законами, по которым существует информационная система, и с тем, что в некотором смысле слова является привнесенным в информационную систему извне, хотя не менее рациональным.
Когда, к примеру, от объекта отделяется одна часть и от объекта очевидным образом остается другая часть – это базовый закон, или способ существования информационных систем (наверное, не любых, но известных нам, по крайней мере). Однако в информационной системе может быть зарегистрирован тот или другой объект либо объект, обладающий теми или иными свойствами, – и это уже никакой не базовый закон информатики, а чистый волюнтаризм мироздания. Запрещают ли законы информатики химическое разложение железа таким образом, чтобы одной полученной частью являлось золото, а другой частью – платина? Нет, не запрещают. Но возможно ли такое в реальности? Нет, не возможно – по той очевидной причине, что мироздание устроено иначе: из куска железа не получить золото и платину.
Я пытаюсь объяснить, что мироздание каким-то образом – рациональным, тут нет спору, – устроено, но названная рациональность мироздания обусловливается двумя не идентичными частями:
1) законами информационных систем, чрез которые не преступить;
2) компоновкой таблицы мироздания посредством определенной последовательности записей и чередования свойств объектов.
Вопрос, что получается из объектов в результате их химического разложения, относится к пункту два, туда же относятся многие причинно-следственные зависимости, которые принято считать природными физическими законами.
Я держу в руках мячик, но разжимаю пальцы. В результате мячик падает. Что послужило причиной падения? Сила всемирного тяготения? А если бы мячик не упал на пол, а взвился в воздух, причиной его воспарения послужила бы другая сила, которая была бы неминуемо и немедленно открыта физиками? А может, все проще устроено – проще не в смысле причинно-следственных зависимостей, а в смысле того, что на мячик не действуют никакие силы, а дальнейшее поведение мячика после того, как я разжал пальцы, определяется последовательностью записей в таблице мироздания?
Если взглянуть на мир со стороны информатики, нет и быть не может никаких сил, действующих между объектами. В таблице мироздания регистрируются объекты (иначе говоря, объекты есть то, что регистрируется в таблице мироздания), и на их роль могут претендовать лишь вещи окружающей нас реальности. Между объектами протягиваются бесчисленные отношения, но это далеко не силы в их физическом понимании. В замкнутой системе, которую представляет собой любая регистрационная таблица, силы попросту немыслимы. Один объект воздействует на другой, а на тот объект воздействует предыдущий, а на предыдущий – пред-предыдущий, а на самый первый в этой причинно-следственной цепочке объект что воздействует, спрашивается? Вопрос не нов и красноречив, но ответа на него по сию пору не получено.
Силы, действующие в природе, – это измышление физиков, хотя и весьма полезное с той точки зрения, что позволяет устанавливать действительно существующие взаимозависимости между объектами (пункт 2 в вышеприведенном списке). В этом состоит назначение любой науки. Но физические силы, проявляя себя лишь в объектах, не могут претендовать на онтологический статус. Рассуждать об онтологическом статусе каких-то физических сил все равно, что всерьез рассуждать о плавающей в воздухе улыбке чеширского кота, после того как сам чеширский кот исчез. Мне кажется, физики этого не осознают, хотя проблема стара как мир: об универсалиях писано еще средневековыми схоластами, и что такое гипостазирование, прекрасно известно.
Информационный взгляд на мироздание приводит к результатам, отличным от привычного физического подхода: это особенный мир со своими бесспорными истинами и своими познавательными лакунами. То, что трехмерная пространственность инфомационного мироздания определяется идентификаторами, я доказывал в одном из предыдущих постов. Что такое время информационного мироздания, тоже довольно понятно: определенные объекты, или их совокупности, или отношения между ними (стрелки часов, небесные светила и т.п.), регистрируемые в таблице мироздания. В этом смысле между двумя объектами, определяющими мгновение времени, может располагаться (то есть быть зарегистрировано) любое число других объектов – этому ничто не препятствует. Время способно сжиматься или растягиваться, это его имманентное качество. А движение, по всей видимости, определяется эффектом кинематографа: сменой в таблице мироздания кадров-записей. Но что касается упомянутых ранее лакун в концепции информационного мироздания, они тоже имеют место, не без этого. К примеру, укладывание мироздания в реляционную таблицу никак не объясняет движение настоящего от прошлого к будущему, которое называют еще «стрелой времени». Сложность в том, чтобы объяснить данный несомненный факт нашего бытия без привлечения самого времени. Например, некорректно объяснять «стрелу времени» тем, что записи вносятся в таблицу мироздания одна за другой, так как в подобной трактовке задействована последовательность внесения записей, которая в свою очередь определяется моментом их внесения. А объяснить иначе не удается: записи в таблице вроде бы равноправны и уж тем более не предусматривают плавного скольжения от одной записи к другой.
Нерешенных проблем множество, и они требуют внимания. Не понимаю, почему в век несомненного расцвета информатики мало кого волнует информационная составляющая мироздания. Не потому ли, что некоторые области знания монополизированы физикой? Тем не менее физика не способна дать единственно возможный и правильный взгляд на мир и, существуют веские подозрения, кое-в-каких вопросах уперлась в потолок своих возможностей.
Автор: mikejum
