Длиннее, мощнее, точнее — Европа собирается построить гравитационно-волновой детектор нового поколения под названием Einstein Telescope.

Einstein Telescope концепт-арт, credit: www.gwoptics.org
Детектор LIGO только-только начал работать пару лет назад, и даже еще не достиг запланированной чувствительности. Однако ученым очевидно, что чувствительности LIGO будет недостаточно для настоящей гравитационно-волновой астрономии.
Я расскажу о том, что ограничивает LIGO, и как подземный криогенный детектор в 2,5 раза длиннее LIGO сможет обойти эти ограничения.
1. Введение о принципах работы ГВ детектора
Сначала я кратко напомню, как LIGO детектирует гравитационные волны, и определю некоторые понятия.

Детектор LIGO — интерферометр Майкельсона. Гравитационные волны растягивают одно плечо и сжимают другое, относительная фаза света на делителе лучей изменяется, и на выходе появляется интерференционная картинка. Image credit: induced.info
1.1 Принцип работы
Гравитационные волны (ГВ) — малые возмущения метрики пространства-времени. Они возникают при несимметричном движении массивных тел, например, при слиянии двух черных дыр. Эти возмущения приводят к изменению определения расстояния между предмета (“растягивают” и “сжимают” расстояние).
Гравитационно-волновой детектор создан так, что он позволяет измерить это изменение расстояний с помощью лазеров. В простейшем варианте детектор является интерферометром Майкельсона, где плечи детектора сбалансированы так, что за счет конструктивной интерференции весь свет отражается в сторону источника, а второй выход делителя луча за счет деструктивной интерференции остается темным.
Когда ГВ достигают детектора, они растягивают одно плечо и сжимают другое, что изменяет интерференционную картинку на выходе интерферометра и позволяет зарегистрировать сигнал.
В прошлой статье я объяснял, что ГВ детектор — не линейка, а часы, т.е. измеряет относительную задержку света в двух плечах, вызванную гравитационной волной. Также я показал, что относительное изменение фазы света:
Это уравнение объясняет, почему детекторы делаются такими длинными: это позволяет увеличить чувствительность.
Для дальнейшего увеличения чувствительности ученые придумали использовать оптические резонаторы. Они позволяют свету путешествовать в плече несколько раз mathcal{N}$inline$ раз.
Также фаза света пропорциональна мощности света внутри детектора, так что резонаторы решают сразу две задачи, так как усиливают мощность света.
1.2 Поляризация гравитационных волн
Гравитационные волны обладают поляризацией: они могут быть либо “+” (относительно детектора — растягивают одно плечо и сжимают другое), либо “х” (растягивают/сжимают оба плеча одновременно).

Смещение тестовых масс (шарики) под действием ГВ разных поляризаций в течение одного периода. Credit: [Tiec, Novak, 2017]
Детектор чувствителен только к “+” поляризации. Поэтому важно иметь несколько детекторов с несколько разной ориентацией плеч, чтобы можно было измерять волны любой поляризации: если один детектор ориентирован на “+”, а второй — на “х”, то если один детектор увидел волну, а другой нет — мы уверены, что это поляризация была точно “+”. А если оба увидели волну разной амплитуды, то мы можем рассчитать, какой была начальная поляризация.
Чувствительность к поляризации задает разную диаграмму направленности для двух поляризаций(т.е. какие точки на небе лучше всего видны детектору).

Диаграмма направленности детектора к х и + поляризациям, а также усредненная по двум поляризациям. Credit: arXiv:1501.03765
2. Ограничения LIGO
LIGO обладает невероятной чувствительностью: позволяет измерить относительное изменение длины плечей с точностью до 10-18 м.
Чтобы измерять сигналы с такой точностью, необходимо избавиться от всевозможных шумов в различных частях инструмента.
Чувствительность детектора обычно показывают как уровень шумов в детекторе на разных частотах в виде спектральной плотности. Спектральная плотность отражает вклад разных шумов в сигнал на выходе детектора (т.е. некоторые шумы могут быть значительны на месте возникновения, но давать малый вклад в шум на выходе). Обычно спектральную плотность нормируют на амплитуду гравитационных волн (что называется strain, )

Основные вклады в чувствительность LIGO на разных частотах, нормированные на амплитуду ГВ strain,
Рассмотрим несколько самых важных вкладов в шумы:
1. Сейсмический шум (ограничивает частоты <1Гц): любая сейсмическая активность может смещать зеркала. Чтобы изолировать от этого шума, зеркала подвешены на многоступенчатом подвесе, который в свою очередь закреплен на многоуровневой массивной подставке. Чем ниже резонансная частота подвеса, тем больше подавлены шумы на низких частотах. В принципе, нет ограничений в качестве подавления шума.
2. Ньютоновский гравитационный шум (ограничивает частоты~1Гц): даже если зеркала полностью изолированы от прямого сейсмического воздействия, смещение поверхности земли/пола может влиять на зеркала гравитационно. Акустические волны, распространяющиеся по поверхности земли, например, от ветра или волн, немного изменяют расстояние от зеркала до земли, а значит и силу притяжения, что может смещать зеркала. Изолировать полностью от этого нельзя, это фундаментальное ограничение.
3. Тепловой шум подвесов (ограничивает частоты ~1-10Гц): тепловое движение молекул в подвесах зеркал приводит к возбуждению колебаний в подвесе, что смещает зеркала. Подавить сложно, все упирается в качество материалов.
4. Тепловой шум зеркал (ограничивает чувствительность снизу): тепловое движение молекул в покрытиях зеркал, и в самом “теле” зеркал (подложка). Выглядит для луча света как смещение самого зеркала целиком. Ограничено материалами, самый важный технический шум.
5. Квантовый дробовой шум лазера (частоты >50Гц): свет имеет квантовую природу, отдельны фотоны летят с разной случайно задержкой. Эта задержка видна как измерение фазы на выходе интерферометра, и ограничивает все частоты. Чем больше мощность света внутри детектора, тем меньше шум. Фундаментальный предел, но может быть подавлен с помощью сжатого света
6. Квантовый шум радиационного давления (частоты 10-50Гц): тот же дробовой шум приводит к флуктуациям мощности внутри интерферометра и вызывает случайную силу радиационного давления на зеркала. Столь же фундаментален как и дробовой шум. В отличие от дробового шума, растет с увеличением мощности света.

Пояснение про квантовые шумы. Одиночные фотоны производят случайную силу радиационного давления (слева). С другой стороны, случайное распределение фотонов во времени приводит к флуктуациям амплитуды на фотодетекторе (справа). Оба шума зависят от длины волны, мощности света и длины плеча. Шум радиационного давления тем меньше, чем больше масса зеркал. Credit: [1].

Зависимость чувствительности от мощности света : дробовой шум (синий) уменьшается, а шум радиационного давления (зеленый) — пропорционально возрастает.
7. Остаточный газ в вакуумной системе (все частоты, но не ограничивает сейчас): сверхвысокий вакуум в системе всегда не идеален, и остаточные молекулы газа могут рассеивать свет. Может быть сколь угодно мал (зависит от качества насосов).
8. Классические лазерные шумы (не ограничивают): мощность и частота лазера могут флуктуировать и по классическим причинам (тепловые шумы, вибрации). Лазерная система включает в себя сверх-стабильные лазеры и многоуровневые системы контроля частоты и мощности лазера.
Все эти шумы можно разделить на две группы: силовые — флуктуации приводят к физическому смещению зеркал (шумы 1-3 и 6), и координатные — флуктуации приводят к изменению фазы света, но не смещают зеркала (шумы 4,5 и 7).
Силовые шумы вызывают смещение
тестовых масс по закону Ньютона
, или в частотном диапазоне:
. То есть, эти шумы можно уменьшить, увеличивая массу зеркал.
Дизайн LIGO принципиально не может решить проблему Ньютоновского шума 2, и без полной перестройки оптических систем проблему теплового шума зеркал 4.
В подбробностях про шумы можно почитать в замечательной статье про LIGO на Хабре.
3. Как новый детектор решит эти проблемы

Подземный детектор KAGRA присоединится к наблюдениям уже в следующем году.
Итак, новый детектор будет расположен под землей. Это позволит уменьшить сейсмические шумы 1, и, что самое важное, ньютоновский шум 2:
основной вклад в него вызван поверхностными волнами, которых практически нет под землей.
В зависимости от того, где будет построен детектор (сейчас два главных варианта — в Нидерландах или на Сардинии, и возможно в Венгрии).

Сравнение сейсмики в разных возможных локациях с детектором AdvancedVirgo в Италии.
Конечно, будут сделаны наиболее очевидные технические шаги по подавлению сейсмики: новая система подвесов для пассивной изоляции и более тяжелые зеркала в 200кг каждое для подавления всех силовых шумов.

Одна из угловых станций телескопа Эйнштейна со множеством вакуумных камер. Credit: gwoptics.org
Проблема теплового шума зеркал сложнее. Очевидным решением было бы охладить зеркала, тем самым уменьшив броуновские шумы.
Однако, охлаждение приведет к изменению оптических свойств зеркал, и увеличит поглощение. Кроме того, с холодными зеркалами невозможно использовать большие мощности света: поглощение в зеркалах нагреет их и сведет охлаждение на нет.
То есть, нужно охладить детектор и уменьшить мощность света? Так тоже не получится — возрастет дробовой шум (4), и испортит чувствительность на низких частотах.
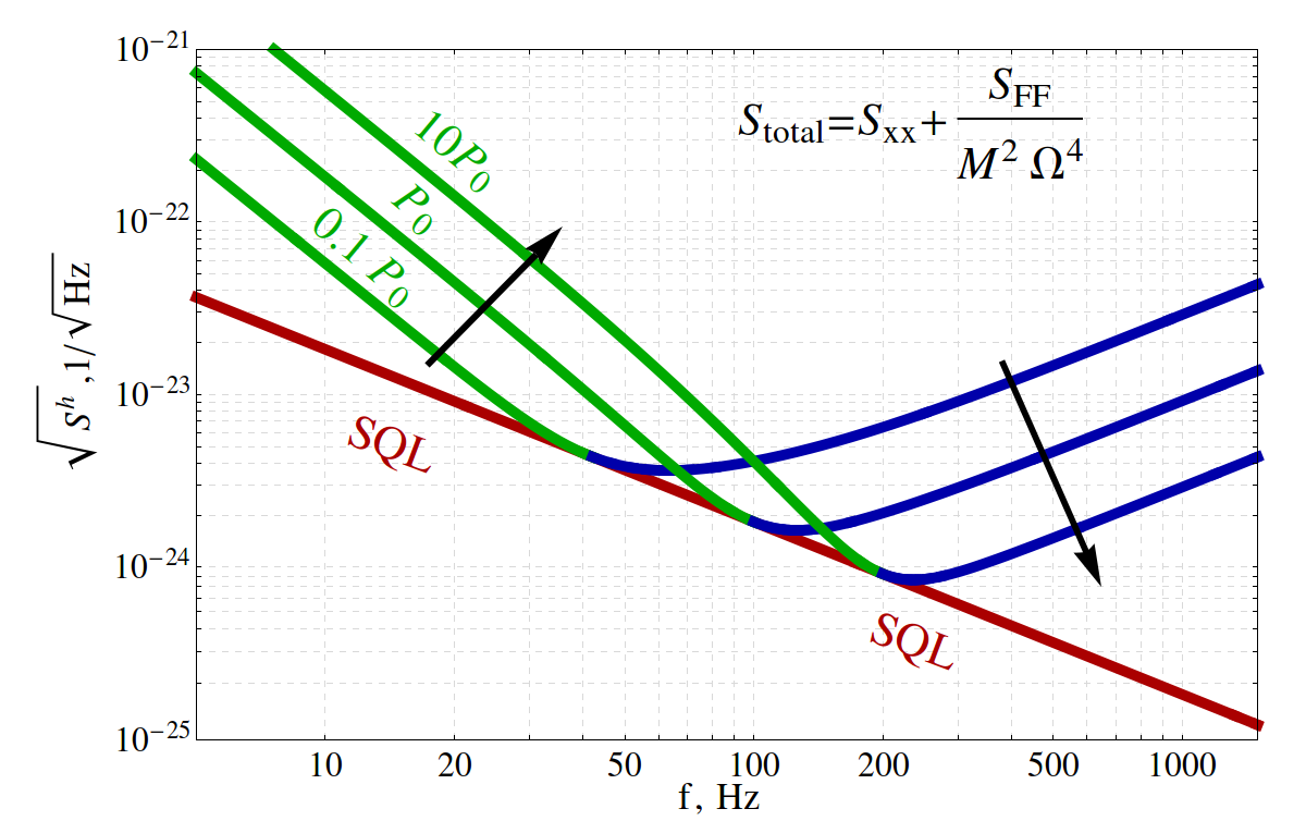
Ученые пришли к другому решению: использовать два интерферометра в одном месте.

«Ксилофонная» конфигурация детектора с двумя интерферометрами вложенными друг в друга. Credit: [1]
Один будет оптимизирован для низких частот, работать с охлажденными до 20К зеркалами, и использовать малую мощность света. Дробовой шум возрастет, однако детектор не будет использоваться на частотах, где дробовой шум имеет значение. Второй детектор будет работать при комнатной температуре на большой мощности: это позволит подавить дробовой шум на высоких частотах, но испортит чувствительность на низких частотах возросшим шумом радиационного давления. Но этот детектор не будет использоваться на низких частотах. В итоге комбинированная чувствительность будет оптимальна на всех частотах.

Низкочастотный детектор ET-D-LF с охлажденными зеркалами и малой мощностью (и малым шумом радиационного давления), и высокочастотный ET-D-HF с большой мощностью (и малым дробовым шумом). Credit: [1]
Другая проблема нового поколения детекторов: на момент постройки он будет только один с такой чувствительностью. Во-первых, не будет возможности отличить случайный всплеск от сигнала, если нет возможности проверить совпадения между детекторами. Во-вторых, не будет возможности измерять разные поляризации гравитационных волн. Ученые предлагают построить не один детектор, а три с разной ориентацией (в виде треугольника, как на картинке).


Концепция треугольной конфигурации детектора (слева); туннели с разными плечами (справа).
Это позволит улучшить диаграмму направленности детектора и регистрировать гораздо больше событий:

Сравнение диаграммы направленности одного детектора (слева) и трех детекторов в треугольной конфигурации (справа).
Напомню, каждый из них будет состоять из двух: один для низких, а другой для высоких частот. В итоге шесть детекторов будут расположены треугольником.

Все эти ухищрения позволят увеличить чувствительность детекторов как минимум на порядок.
Такая чувствительность позволит увеличить дальность наблюдения практически до границы видимой Вселенной, видеть слияния ЧД первого поколения звезд и наблюдать слияния черных дыр и нейтронных звезд постоянно.
Увеличение чувствительности на низких частотах позволит наблюдать более ранние стадии слияния объектов, и получать больше информации об их параметрах.
Высокие частоты позволят наблюдать за эволюцией черной дыры или нейтронной звезды, образовавшейся в результате слияния. Этот режим наиболее интересен для проверки ОТО и возможных альтернатив. Например, гравитационно-волновое эхо может наблюдаться именно на высоких частотах.

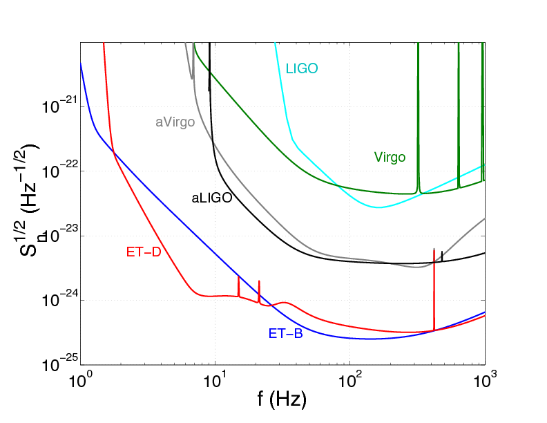
Сравнение чувствительности ET и LIGO-Virgo
Но самое важное — это будет не просто детектор, а целая инфраструктура, которая позволит увеличивать чувствительность детектора многие десятилетия.
4. Заключение
О чем я не упомянул
Я не обсудил еще такую важную часть ET как системы подавления квантовых шумов с помощью частотнозависимого сжатого света. Про сжатый свет можно подробнее почитать в отличной статье на хабре. Я планирую рассказать более подробно про квантовые шумы в детекторе в следующей статье.
Кроме того, в ET будет использована так называемая оптическая жесткость — усиление сигнала за счет нелинейного взаимодействия между механическим осциллятором и светом внутри резонтаторов. Подробнее про квантовую оптомеханику — науку о взаимодействии между механическими системами и светом — скоро на хабре;)
Конечно, я затронул только самые основные особенности ET, деталей есть великое множество — добро пожаловать в комменты.
Кроме того, я не упомянул, что в США планируется строительство еще более длинного 40км наземного телескопа Cosmic Explorer, но его дизайн пока менее проработан, нежели ЕТ, так что никаких интересных подробностей не расскажу.
Статус Einstein Telescope

В настоящий момент ET еще не получил одобрение Еврокомиссии. Отдельные страны вкладывают деньги в предварительные исследования. Коллаборация постепенно формируется. Можно почитать официальный сайт и даже присоединиться к коллаборации, подписав Letter of Intent.
По плану в ближайшие год-два Европа рассмотрит заявку на создание и утвердит местоположение. Запуск ET в таком случае произойдет в начале 2030х.

Один из вариантов — треугольник на границе Германии, Бельгии и Нидерландов, расположенный так, что в каждой стране будет по одной угловой станции. Будет символом объединенной Европы.
Новости LIGO
Тем временем, LIGO объявило о результатах обработки данных от предыдущего наблюдательного цикла О2: было еще четыре новых слияния черных дыр. Таким образом, за все время LIGO уже увидело 10 слияний черных дыр и одно слияние нейтронных звезд. Завтра все данные будут официально представлены, и я дополню статью некоторыми подробностями.
Тем временем, вовсю идет обновление детекторов, направленное на увеличение их чувствительности, и на весну 2019 запланирован запуск детекторов в новом годичном цикле наблюдений О3. Чувствительность будет так велика, что планируется в среднем наблюдать одно событие в неделю. Летом 2019 по плану к двум детекторам LIGO и детектору Virgo присоединится японский детектор KARGA.
Этот цикл О3 будет интересным для открытой науки, так как теперь все потенциальные кандидаты на слияния будут объявляться в режиме реального времени вместе с оценкой на их источник, что позволит всем заинтересованным производить наблюдения в других диапазонах. Подробнее тут.
Эпоха гравитационно-волновой астрономии только начинается, впереди много всего интересного. Stay tuned!
Также приглашаю почитать предыдущие публикации, где я рассказываю, чем так важно наблюдение нейтронных звезд в ГВ, какую интересную физику позволяют нам изучать слияния черных дыр, и как вообще LIGO может работать, если ГВ растягивают свет вместе с пространством.
[2] ET Design Study
[3] LIGO Open Science Data center.
Автор: Михаил Коробко
