Климатические изменения на планете влечу за собой увеличение температур и повышение необходимости в новых, более эффективных методах и более экологичных методах охлаждения. Одним из самых богатых на потенциал считается DRC (от daytime radiative cooling, т. е. дневное излучательное охлаждение), метод охлаждения поверхностей, подвергающихся солнечному излучению, без потребления энергии. Проблема в том, что DRC все еще обладает рядом недостатков, которые ограничивают его практическое применение. Одним из таких является отсутствие прозрачности, что не позволяет применять DRC в паре со стеклом. Группа ученых из Пхоханскиого университета науки и технологии (Южная Корея) добилась невероятного успеха, разработав прозрачную пленку излучательного охлаждения с перфорированной структурой, напоминающую москитную сетку. Из чего сделана охлаждающая москитная сетка, каковы принципы ее работы, и насколько эффективно она работает? Ответы на эти вопросы мы найдем в докладе ученых.
Основа исследования
В последние годы изменение климата повысило интерес к экологически чистым энергетическим технологиям. Дневное излучательное охлаждение (DRC от daytime radiative cooling) привлекло большое внимание как технология, которая может снизить температуру (T) материалов под воздействием солнечного излучения без каких-либо затрат энергии. DRC подавляет поглощение в энергоемком солнечном спектре (0.3 < λ < 2.5 мкм), одновременно излучая тепловую энергию через излучение черного тела в атмосферном окне (AW; 8 < λ < 13 мкм) во внешнее пространство. Обычные компоненты DRC делятся на две основные части: отражатель и излучатель. Отражатели способствуют низкому поглощению в солнечном спектре, тогда как излучатели способствуют высокой излучательной способности в AW. Тепловая эффективность этих устройств была улучшена путем манипулирования конструкцией и материалами, используемыми в тонких пленках, микро-/наноструктурах и композитах на основе частиц/пустот. Однако устройства DRC по-прежнему имеют непрозрачный белый или сероватый цвет из-за видимого (VIS) отражения, что снижает эстетику и прозрачность. Было предложено встроить резонатор Фабри-Перо в DRC для окрашивания, чтобы улучшить этот аспект.
Прозрачность также может расширить применение DRC. Почти все окна нуждаются в прозрачности для видимости, позволяя приток тепла через прозрачную область. Поскольку прозрачное излучательное охлаждение (TRC от transparent radiative cooling) допускает передачу солнечного излучения в режиме VIS, эффективное излучательное охлаждение является сложной задачей в дневное время, когда поглощение солнечной энергии является доминирующим. В одном из исследований ученые смоделировали подложку SiO2 в виде фотонного кристалла в форме отверстия и продемонстрировали TRC, который может снизить температуру на 1.3 °C по сравнению с плоской подложкой SiO2. В другом труде TRC были созданы путем интеграции селективного брэгговского отражателя (BR от Bragg reflector) с излучателем AW полидиметилсилоксаном (PDMS от polydimethylsiloxane). В результате полученный прототип отражал 73% солнечного излучения в полосе A ближнего инфракрасного (NIR) спектра (0.74 < λ < 1.4 мкм), обеспечивая при этом передачу VIS. Однако среднее поглощение в солнечной полосе пропускания (14.4%) увеличивает солнечную радиацию и снижает эффективность охлаждения. Поэтому системы TRC с повышенной эффективностью охлаждения пользуются спросом.
В рассматриваемом нами сегодня труде ученые предложили систему TRC, включающую излучатель PDMS в верхней части и прозрачный двойной отражатель в нижней части. Нижние двойные отражатели состоят из BR и Ag отражателя с отверстиями 90 мкм (WR от window screen reflector) для отражения полосы A и общего солнечного спектра соответственно. Эта структура обеспечивает прозрачность и усиливает отражение через металлическую зеркальную область проколотой пленки. Этот новый подход демонстрирует улучшенную эффективность охлаждения, сохраняя видимость и белый цвет. Таким образом, BR был оптимизирован для максимизации и унификации пропускания VIS при максимизации отражения NIR и полосы A. Примерно 50% солнечной энергии концентрируется в области VIS. Таким образом, даже малейшее поглощение резко снижает общую эффективность охлаждения излучающего охладителя. Поэтому ученые использовали WR с отверстием размером 90 мкм в Ag-пленке, что позволяет отражать любой нежелательный солнечный спектр в определенных областях. Общее количество отраженной солнечной энергии, которое напрямую связано с эффективностью охлаждения системы TRC, можно контролировать размером окна WR.
Результаты исследования

Изображение №1
Выше представлено устройство TRC, разработанное путем интеграции BR и WR, нацеленных на полосу A, в излучатель PDMS (1a-i). BR отражает переданную полосу A NIR через отверстия, уменьшая доступ солнечного излучения. Более того, использование микроперфорированного отражающего WR позволяет точно контролировать компромисс между отражением и передачей света VIS, сохраняя прозрачность при частичном отражении всего солнечного спектра для блокирования поглощения солнечного излучения. Таким образом, излучатель PDMS подходит для устройства TRC из-за его почти идеальных излучательных свойств в области AW (1a-ii).
Прозрачность имеет решающее значение для приложений излучательного охлаждения. Предыдущие исследования показали, что BR был желтоватым из-за поглощения VIS гидрогенизированным аморфным кремнием (1b). Поэтому ученые ввели многослойную конструкцию, состоящую из TiO2 и MgF2 с низким поглощением в спектре VIS, чтобы оптимизировать BR. Более того, таким образом WR может равномерно отражать весь VIS, способствуя нейтрально окрашенному TRC (1c).
TRC был изготовлен с использованием BR с чередующимися слоями TiO2 и MgF2, добавленными посредством осаждения электронного пучка, и перфорированным WR, включенным посредством фотолитографии. TRC был изготовлен в масштабе пластины посредством покрытия стержня PDMS. Размер отверстия Ag-отражателя был установлен на уровне 90 мкм, чтобы минимизировать нежелательную дифракцию на рабочих длинах волн и сделать его неразличимым невооруженным глазом. Перфорированная Ag-пленка показала минимальную дифракцию по сравнению с пленкой размером 500 нм (видео ниже).
Видео №1
Соотношение диаметра отверстия (D) и длины ячейки (L) составило 0.8, учитывая как прозрачность, так и охлаждающие характеристики. Была нанесена Ag-пленка толщиной более 50 нм, чтобы предотвратить проникновение света. Кроме того, была применена оптимизация роя частиц (PSO от particle swarm optimization) для оптимизации толщины каждого слоя в BR. Целью было максимизировать отражение в диапазоне NIR A. Наконец, излучатель включал слой PDMS, поскольку высокий k и достаточная толщина (∼100 мкм) PDMS приводят к высокой излучательной способности по всей AW. Снимки сканирующей электронной микроскопии (SEM от scanning electron microscopy) продемонстрировали адекватное осаждение и покрытие оптимизированного BR (OBR от optimized-BR), перфорированного WR и излучателя (1d).

Изображение №2
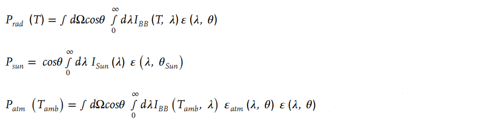
Тепловое соотношение в излучательном охладителе можно выразить следующим уравнением:
![]()
где Pcool — полная мощность охлаждения, Prad — лучистая энергия, Psun — лучистая энергия солнца, Patm — лучистая энергия, испускаемая атмосферой, и Pcc — нелучистая энергия, переданная излучательному охладителю в результате процессов конвекции и проводимости (2a). Первые три члена теплового потока задаются как уравнения:

где ∫ dΩ — интеграл всех телесных углов, θ — полярный угол, IBB/Isun — излучение черного тела/солнца, а ɛ/ɛatm — излучательная способность охладителя/атмосферы. Член ɛatm можно дополнительно модифицировать, чтобы получить ɛatm = 1 − t(λ)1/cosθ, где t(λ) — пропускание атмосферы в зенитном направлении. Неизлучающий член Pcc выражается как:

где hcc — комбинированный коэффициент теплопередачи конвекции и теплопроводности в излучающем охладителе.
Основная цель — повысить Pcool, одновременно увеличив видимость прозрачного охладителя. Критерий видимости TVIS определяется как средний коэффициент пропускания в диапазоне длин волн 400–700 нм. Тепловые/оптические характеристики зависят от толщины многослойного материала. Здесь PSO использовался для выбора толщины излучающего охладителя (2b). На k-й итерации толщина pki i-й частицы оптимизируется на основе наилучшего решения частицы (pbesti) и наилучшего решения из всех частиц (gbest). Количество частиц было установлено равным 100 и итерировалось до тех пор, пока не были достигнуты TVIS > 0.4, Psun < 330 Вт/м2. Кроме того, параметры PSO были настроены на 0.6, 0.2 и 0.4. TVIS и Psun были получены с помощью расчета спектра с использованием модального метода Фурье. Результаты PSO были 96 нм TiO2, 175 нм MgF2, 102 нм TiO2 для трехслойного охладителя и 98 нм TiO2, 163 нм MgF2, 91 нм TiO2, 162 нм MgF2, 93 нм TiO2 для пятислойного охладителя.
Ученые изготовили трех- и пятислойные OBR, попеременно сложенные из TiO2 и MgF2 (2c). TiO2 демонстрирует сильное поглощение при длине волны ниже 400 нм, но остается прозрачным в других областях VIS и NIR. Однако легкие синие и фиолетовые оттенки могут возникать из-за интерференции отражения света между интерфейсами, и это явление меняется в зависимости от показателя преломления и толщины пленки. Тем не менее большинство цветных стекол в основном демонстрируют синие тона, а цветовой эффект находится в пределах приемлемых уровней. Сравнивая рассчитанные и измеренные спектры, ученые подтвердили, что OBR были изготовлены в соответствии с расчетами (2d). Трех- и пятислойные OBR показали TVIS приблизительно 0.68 и 0.54 соответственно и схожие ИК-характеристики. Наблюдалось селективное усиление отражательной способности для пятислойного OBR в ближнем ИК-диапазоне A, что указывает на усиление резонансного эффекта в определенных областях с увеличением количества слоев. Хотя пятислойный OBR продемонстрировал более высокую отражательную способность в этом режиме, ученые остановились на трехслойных OBR, чтобы обеспечить более высокую TVIS посредством оптимального процесса изготовления (2d).

Изображение №3
OBR достиг высокоселективного отражения для NIR полосы A, но при этом все еще подвергался воздействию 61.1% солнечного излучения в оставшемся солнечном спектре. Это занимает большую часть в Psun. Поэтому ученые ввели концепцию москитной сетки, которая в обычных условиях позволяет проходить воздуху, но предотвращает прохождение насекомых и пыли. Применяя этот подход к свету, ученые ввели WR решетку 90 мкм на OBR (3a). Предлагаемый интегрированный двойной отражатель позволяет свету проходить через отверстие (т. е. область OBR), отражая почти весь солнечный спектр через пленку Ag, радикально снижая Psun (3b).
Ученые визуализировали двойной отражатель на основе отношения D/L (3c). Когда отношение D/L приближается к 0.5, прозрачность может быть сохранена путем пропускания VIS через отверстие, но по мере увеличения площади поверхности Ag преобладает общее отражение VIS, что приводит к сероватому цвету. Этот цвет похож на тот, который наблюдается в обычных излучательных охладителях на основе отражателя. В результате возникает компромисс между повышенным отражением и пониженным пропусканием. Таким образом, было выбрано отношение D/L 0.8 для оптимизации производительности двойного отражателя, достигнув около 50% пропускания при снижении Psun примерно на 50%.
Чтобы проверить производительность спроектированного отражателя, ученые изготовили различные образцы в диапазоне от D/L 0.9 до 0.5 и проанализировали их поведение в солнечном спектре (3d). По мере уменьшения отношения D/L устройство последовательно демонстрировало увеличение общей отражательной способности по всему солнечному спектру, что приводило к быстрому снижению Psun и напрямую влияло на эффективность охлаждения. Кроме того, перфорированная пленка Ag давала различные оптические отклики из-за различий в оптическом пути в зависимости от угла падения. Небольшое поглощение пленки Ag, происходящее под определенными углами, можно не учитывать с точки зрения эффективности охлаждения благодаря сильным характеристикам отражения солнечного света серебром.
Кроме того, были проведены расчеты TVIS и Psun предлагаемых и других прозрачных устройств излучательного охлаждения для оценки прозрачности и эффективности излучательного охлаждения двойного отражателя (3e). Оптимизированный двойной отражатель демонстрирует конкурентоспособный TVIS с устройствами излучательного охлаждения. Кроме того, оптимизированный излучательный охладитель увеличивает среднюю отражательную способность по всему солнечному спектру, что приводит к заметному снижению Psun (472 Вт/м2) по сравнению с Psun (852 Вт/м2) от прямого солнечного излучения. Таким образом, разработанный подход показывает значительно более низкий Psun, чем у предыдущих TRC.

Изображение №4
Тепловые характеристики OBR-WR сравнивались с характеристиками OBR и слоя PDMS на стеклянной подложке, чтобы подчеркнуть охлаждающую способность перфорированного отражателя (графики выше). Четыре члена теплового потока сравнивались с фиксированным значением hcc 8 Вт/м2/К (4a). Psun является доминирующим фактором в Pcool. OBR-WR показал более высокий Psun по крайней мере на 300 Вт/м2 по сравнению с другими устройствами. Остальные три фактора не отличались друг от друга, поскольку их спектры излучательной способности в AW были схожи. В целом, устройства показали высокую охлаждающую способность в порядке OBR-WR > OBR > PDMS (4b). X-пересечения графиков указывают на равновесную температуру (т. е. температуру, при которой нет обмена энергией).
В отличие от других членов теплового потока, Pcc зависит от hcc, на который влияет погода. Равновесная температура устройств изображена на основе изменяющихся значений hcc (4c). Мощность охлаждения может быть отрицательной из-за неизбежного поступления солнечной энергии, что приводит к высокой равновесной температуре. Тем не менее равновесная температура OBR-WR была ниже, чем у PDMS и OBR, на 32 ˚C и 22 °C соответственно.
На 4d показаны карты мира, изображающие солнечную освещенность и охлаждающую способность устройства на основе моделирования. Солнечная освещенность была проиллюстрирована с использованием температуры поверхности Земли. Солнечная освещенность в июле 2020 года была получена из проекта POWER исследовательского центра NASA Langley (LaRC). Области с широтами ниже −60 °C или выше 80 °C были опущены (4d-i), поскольку солнечное излучение в этих регионах незначительно, а потому излучательное охлаждение не требуется. Кроме того, на карте мира были выбраны пять городов, и их значения солнечного излучения представлены справа. Pcool OBR-WR, OBR и их разность (∆Pcool) изображены с использованием того же формата (4d-ii). Значение ∆Pcool положительно для всех регионов мира с максимальным значением 170 Вт/м2. Данные Pcool OBR-WR показывают положительные значения, тогда как данные OBR — нет. Этот результат демонстрирует эффективность разработанного перфорированного излучательного охладителя. Максимальное значение ∆Pcool наблюдается в Каире (145.7 Вт/м2), тогда как максимальное значение Pcool OBR составляет 46.0 Вт/м2 в Сеуле.

Изображение №5
Измерения охлаждения наружного пространства проводились в Эр-Рияде, Саудовская Аравия, чтобы продемонстрировать эффективность излучательного охладителя, поскольку в регионе высокая температура окружающей среды и низкая влажность. PDMS, OBR с верхним слоем PDMS (OBR-PDMS) и OBR-WR с верхним слоем PDMS (OBR-WR-PDMS) были подготовлены, поскольку образцы имели схожую ɛ в AW. PDMS имел толщину 100 мкм. Образцы были закреплены на верхней стороне внутреннего акрилового ящика в измерительной камере (5a, 5b). Ящик был спроектирован так, чтобы отражать солнечный свет сбоку и позволять оставшемуся солнечному свету поступать в камеру. Медная проволока термопары типа К располагалась в центре каждой коробки для измерения внутренней температуры PDMS (TPDMS), OBR-PDMS (TOBR-PDMS) и OBR-WR-PDMS (TOBR-WR-PDMS). Для сравнения также измерялись внутренняя температура акриловой коробки без прикрепленного образца (Tchamber) и внешняя температура (Toutside).
Деревянные рамы, установленные на каждой камере, были покрыты алюминиевой лентой для блокировки солнечного света и были просверлены по бокам для обеспечения свободного потока воздуха для предотвращения накопления тепла. Кроме того, ветровое стекло из полиэтилена низкой плотности (LDPE) покрывало сверху измерительную камеру для минимизации конвективной теплопередачи. Были сделаны фотографии PDMS, OBR-PDMS и OBR-WR-PDMS (5c), и их оптические свойства были проанализированы (5d) перед измерением. Усредненные коэффициенты отражения ®, пропускания (T) и поглощения (A) были рассчитаны с учетом плотности солнечной мощности. Их значения (R, T, A) составили 6.2%, 92.0% и 1.8% для PDMS, 25.3%, 72.3% и 2.4% для OBR-PDMS и 57.9%, 39.1% и 3.0% для OBR-WR-PDMS соответственно.
Значения коэффициента пропускания в видимой области (TVIS), отражения в ближней ИК-области (RNIR) и ɛAW имеют решающее значение для производительности TRC. Их значения (̄TVIS, RNIR, ɛAW) составили 91.6%, 6.0% и 95.4% для PDMS, 79.9%, 31.9% и 94.9% для OBR-PDMS и 43.3%, 63.4% и 94.6% для OBR-WR-PDMS соответственно.
Примечательно, что RNIR усиливался при наличии WR. Чтобы подчеркнуть это, ученые сравнили OBR-WR-PDMS с WR-PDMS и ITO-WR-PDMS. Роль OBR заключается в отражении солнечного излучения в диапазоне A; таким образом, OBR-WR-PDMS продемонстрировал лучшую эффективность охлаждения излучением, чем два других образца. ɛAW образцов были схожи, поскольку все три использовали один и тот же излучатель AW. Измеренные профили температуры представляют охлаждающую способность образцов вместе с информацией о погоде, такой как солнечный поток, скорость ветра и относительная влажность (5e). Охлаждающая способность OBR-WR-PDMS (синяя линия) очевидна при сравнении с PDMS (черная линия) и OBR-PDMS (красная линия). Поскольку солнцезащитный козырек появился в 14:10, TPDMS, TOBR-PDMS, TOBR-WR-PDMS и Tchamber быстро уменьшались, в конечном итоге сходясь к Toutside.
В середине дня при солнечном потоке 769 Вт/м2, скорости ветра 4.3 м/с и относительной влажности 27% средние температуры (Tavg) PDMS, OBR-PDMS, OBR-WR-PDMS, камеры и внешней среды составляли 81.6, 74.9, 59.5, 57.9 и 34.0 °C соответственно (5f). Таким образом, по сравнению с PDMS и OBR-PDMS, разработанный излучательный охладитель демонстрирует замечательную охлаждающую способность с разницей температур 22.1 и 15.4 °C соответственно. Кроме того, учитывая, что такие приложения, как здания и автомобили, должны позволять закрывать для предотвращения опасностей, желательны аналогичные Tchamber и TOBR-WR-PDMS. Соответственно, данный охладитель может защитить внутреннюю сторону объекта и снизить температуру пространства с помощью высокопроизводительного TRC.
Тепловое изображение измерительных камер было получено в определенный момент времени (5g). Температуры центральных точек измерительных камер, содержащих PDMS, OBR-PDMS, OBR-WR-PDMS и эталонную камеру, составляли 46.8, 44.1, 33.9 и 53.8 °C соответственно. Для получения изображений на основе теплового излучения в диапазоне длин волн 8–14 мкм использовалась ИК-камера. Таким образом, поскольку стеклянная подложка не пропускает свет в этом диапазоне, температура полученного изображения рассматривается как температура поверхности. Таким образом, поскольку нагретый воздух увеличивал температуру внутренней поверхности образцов посредством конвекции, центральная точка OBR-WR-PDMS имела более низкую температуру, чем у PDMS и OBR-PDMS, которые показали низкую производительность TRC.
Для более детального ознакомления с нюансами исследования рекомендую заглянуть в доклад ученых.
Эпилог
В рассмотренном нами сегодня труде ученые разработали новую систему излучательного охлаждения, которая может применяться на окнах без значительной потери видимости, как это было с более ранними вариантами технологии.
Объекты, подверженные солнечному излучению, нагреваются, но с помощью технологии излучательного охлаждения они могут выделять тепло и охлаждаться естественным образом без использования внешнего источника энергии. Излучательное охлаждение не является совершенно новой технологией, однако оно обладало рядом недостатков, одним из которых является отсутствие прозрачности устройств, что предотвращало их применение в окнах.
Попытки интеграции излучательных охладителей в прозрачные пленки не увенчались успехом, так как последние пропускают слишком много солнечного тепла, что сильно снижает эффективность охлаждения. Решение этой проблемы оказалось весьма простым — отверстия. Ученые создали пленку, состоящую из перфорированной серебряной подложки, зеркала Брэгга и покрытия из полидиметилсилоксана (PDMS). Полученная пленка обеспечивает не только прозрачность, но и излучательное охлаждение.
Зеркало Брэгга, многослойная тонкопленочная структура, предназначено для отражения ближнего инфракрасного света, который отвечает за большую часть солнечного тепла. Чтобы сохранить видимость, ученые создали перфорированную конструкцию, похожую на москитную сетку, сделав микрометровые отверстия в серебряной подложке, чтобы пропускать свет. Для эффективного излучения дальнего инфракрасного излучения в пределах атмосферного окна было добавлено высокопоглощающее покрытие PDMS на основе кремния. В ходе опытов было установлено, что стекло с разработанной пленкой было на 22.1 °C холоднее, чем стекло, покрытое только PDMS.
Авторы разработки заявляют, что их творение готово к массовому производству и повсеместному использованию. Стоит также отметить, что данный метод охлаждения не требует внешних источников энергии, а потому является весьма экономичным и экологичным.
Немного рекламы
Спасибо, что остаётесь с нами. Вам нравятся наши статьи? Хотите видеть больше интересных материалов? Поддержите нас, оформив заказ или порекомендовав знакомым, облачные VPS для разработчиков от $4.99, уникальный аналог entry-level серверов, который был придуман нами для Вас: Вся правда о VPS (KVM) E5-2697 v3 (6 Cores) 10GB DDR4 480GB SSD 1Gbps от $19 или как правильно делить сервер? (доступны варианты с RAID1 и RAID10, до 24 ядер и до 40GB DDR4).
Dell R730xd в 2 раза дешевле в дата-центре Maincubes Tier IV в Амстердаме? Только у нас 2 х Intel TetraDeca-Core Xeon 2x E5-2697v3 2.6GHz 14C 64GB DDR4 4x960GB SSD 1Gbps 100 ТВ от $199 в Нидерландах! Dell R420 — 2x E5-2430 2.2Ghz 6C 128GB DDR3 2x960GB SSD 1Gbps 100TB — от $99! Читайте о том Как построить инфраструктуру корп. класса c применением серверов Dell R730xd Е5-2650 v4 стоимостью 9000 евро за копейки?
Автор: Dmytro_Kikot
