
Лето неуклонно движется к своему логическому завершению, но это не значит, что солнечные деньки закончатся с приходом сентября. Пляжи все так же будут страдать от переизбытка людей (слова настоящего интроверта), а люди будут и дальше страдать от практически неотъемлемого атрибута пляжного отдыха или дачного огородопопакверхукопания — солнечных ожогов. Благо сейчас есть уйма кремов и лосьонов, которые могут предотвратить превращение человека в запеченную помидорку. Проблема в том, что большинство таких средств защиты изготавливаются из неорганических веществ, которые получаются тем или иным способом из природных ископаемых, которых, как мы знаем, не так и много осталось. Решить эту проблему, по мнению ученых из Витватерсрандского университета и их коллег из Германии, Танзании и Малави, может шелуха орешков кешью. Что такого особенного в кешью, как ученые превратили шелуху в солнцезащитный крем, насколько такое средство эффективнее и чем оно лучше имеющихся сейчас на рынке? Обо всем об этом мы узнаем из доклада исследовательской группы. Поехали.
Основа исследования
Какой самый большой минус нефтепродуктов? Да, есть экологический аспект, экономический аспект и даже порой геополитический. Но самый простой ответ на этот вопрос заключается в том, что нефть, а следовательно и все производные из нее, рано или поздно (по последним сведениям скорее рано, чем поздно) закончится. Об этом было известно уже очень и очень давно, но человечество не особо спешило предпринимать какие-либо действия по поиску альтернатив, будто у него в подполе еще «мешок» нефти спрятан. Сейчас же ситуация начинает меняться в лучшую сторону, а все из-за активации принципа, связанного с петухом, клюющим в мягкое место.
Одной из альтернатив нефтепродуктам может быть биомасса из отходов, которые нигде больше не применяются. Шелуха кешью относится именно к таким. Конечно, сказать, что орехи или, скажем, кукуруза спасут мир (я вам покажу кузькину мать!) — значит немного преувеличивать. Однако у хозяйственного человека ничего зря не лежит и не пропадает, а одна лыжа на балконе может еще послужить.
Именно потому авторы рассматриваемого нами сегодня труда и решили преобразовать «бесполезную» шелуху кешью в вещество, способное защитить кожу человека от воздействия ультрафиолета.
Солнце — это хорошо, как, например, ваши любимые конфеты. Но если вы съедите 10 килограмм, то они захотят выйти наружу и подышат свежим воздухом. Проще говоря, що занадто, то не здраво, т.е. все хорошо, что в меру. Ультрафиолет достаточно вредная штука, но только если ему полностью отдаться, т.е. голышом лежать на пляже по 3 часа кряду. Конечно, многие хотят красивый загар, но его лучше создавать постепенно, загорая на солнышке по чуть-чуть, а потом прятаться в тени. Кроме зонтов и прочих надголовных сооружений тенегенерирующего характера большой популярностью пользуются упомянутые ранее солнцезащитные кремы, спреи, лосьоны и прочее.
В их составе часто присутствуют органические соединение, но это не значит, что такой крем на 100% органический (как это часто пишут на упаковке в маркетинговых целях). Среди неорганических соединений, присутствующих в кремах, есть диоксид титана, диоксид цинка и др. К слову, диоксида титана в год добывается порядка 5 миллионов тонн, а объем производства кешью составляет порядка 4 миллионов тонн.
С точки зрения химии, большой интерес к орехам кешью обусловлен наличием его шелухе (а точнее в жидкости шелухи орехов кешью — CNSL — Cashew Nut Shell Liquid) остаточного количества легко экстрагируемых фенольных компонентов. Вдобавок к этому присутствуют вещества, обладающие противомикробными, противовоспалительными, противоопухолевыми, антиоксидантными и инсектицидными свойства.
Основной акцент химики ставят на фенольные компоненты CNSL: анакардиевая кислота, кардол и карданол.
Вернемся к нашим баранам, а точнее к УФ (ультрафиолет). Самые эффективные органические соединения демонстрируют высокую степень поглощения УФ-излучения в диапазоне от 315–400 нм (UVA*) до 280–315 нм (UVB*).
UVA* — ультрафиолетовое излучение типа А — длинноволновое.
UVB* — ультрафиолетовое излучение типа В — средневолновое.
Именно среди фенолов находят те самые очень важные поглощающие УФ молекулы, которые обладают внутримолекулярными связями O–H···O. Среди самых известных представителей этой группы молекул исследователи выделяют следующие (приготовьтесь к тесту по артикуляции): салицилаты, 2-гидроксибензофеноны, 2,2'-дигидроксибензофеноны, 3-гидроксифлавоны и ксантоны.
Также для эффективного поглощения УФ важную роль играют молекулы, обладающие O–H···N внутримолекулярными связями: 2-(2-гидроксифенил) бензотриазолы, 2-(2-гидроксифенил)-1,3,5-триазины и 2-(5-арил-)1,3,4-оксадиазол-2-ил)-фенолы.
Вышеперечисленные языколомательные соединения рассеивают УФ-излучение посредством безызлучательной дезактивации через таутомеризацию* за счет механизма внутримолекулярного переноса протонов в возбужденном состоянии (ESIPT).
Таутомеризация* — свойство вещества, позволяющее ему находиться в одном из взаимопереходящих химических состояний.
Вышеперечисленные соединения, названия которых я повторять не буду во избежание перелома языка, используются не только в кремах для кожи. Например, 2-гидрокси-4-метоксибензофенон (оксобензон) входит в состав многих солнцезащитных кремов и добавляется в пластмассы для ограничения ее деградации из-за УФ-излучения.
Исследователи отмечают, что помимо нефтехимического происхождения, основным недостатком современных средств защиты от УФ является их крайне негативное влияние на водные экосистемы, ввиду очень слабого и медленного биологического разложения данных веществ.
Получается, куда не плюнь, везде на один положительный эффект найдется минимум один отрицательный. Из этого следует, что необходимо создать более безопасное (как для человека, так и для экологии), органическое и эффективное средство против УФ-излучения, что исследователи и сделали.
Результаты исследования
А теперь от философских рассуждений перейдем к сложным химическим преобразованиям и красивым молекулярным схемам, которыми вдохновлялся бы даже Пикассо.
Цепочка химических преобразований
Первоначально карданол, полученный из CNSL, и анакардовую кислоту использовали в качестве исходных материалов, и ряд классов потенциальных поглотителей УФ-излучения готовили в коротких синтетических последовательностях. Водородная связь фенольной гидроксильной группы с C = X (X = O или N)-фрагментом хромофора была центральной особенностью конструкции для обеспечения эффективного ESIPT. В качестве отправной точки были синтезированы бензофеноны и ксантоны с соседними водородно-связанными гидроксильными заместителями*.
Заместитель* — атом или группа атомов, которые в результате химической реакции замещают атом водорода (Н) в органических соединениях.
Исходя из анакардиевой кислоты, полученной из CNSL, был приготовлен бензил-защищенный метиловый эфир 1.
Галогено-литиевый обмен на замещенных бромбензолах 2a-c, доступных из ксилохимикатов, с последующим добавлением сложного эфира 1 (схема №1 ниже) привел к образованию защищенных бензофенонов 3a-c с выходами от умеренного до плохого.

Схема №1: цифрами от 1 до 25 на схемах №1-7 для удобства помечены молекулярные схемы синтезированных соединений.
Гидрогенолитическое O-дебензилирование 3a-c дает бензофеноны 4a-c с превосходными выходами. Бензофенон 4с содержал желаемые два связанных водородом фенола. Воздействие 4a на AlCl3 дает второе желаемое соединение 5, тогда как связанные с водородом 2,2'-дигидроксибензофеноны (6) были получены обработкой 4b BCl3.
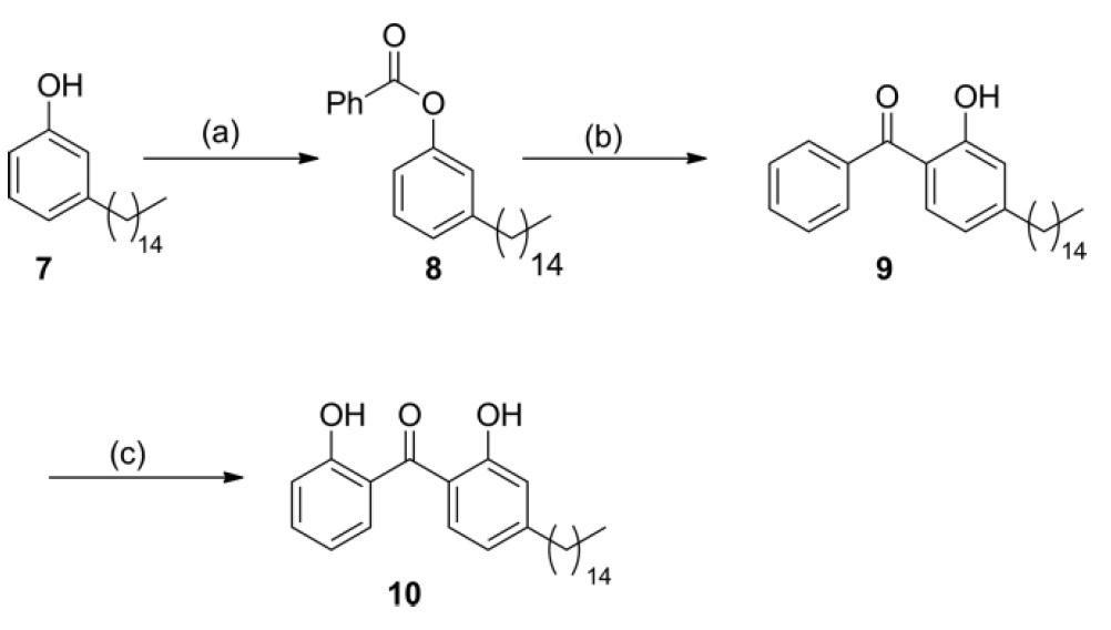
Еще один бензофенон, имеющий две водородно-связанные фенольные гидроксигруппы, был синтезирован с использованием карданола 7, полученного из CNSL, в качестве исходного материала. Этерификация* соединения 7 бензоилхлоридом в зеленом растворителе 2-Me-THF дает сложный эфир 8 с превосходными выходами.
Этерификация* — реакция образования сложных эфиров ввиду взаимодействия кислот и спиртов.
За этим последовала микроволновая фотоперегруппировка Фриса соединения 8 в присутствии AlCl3 для получения бензофенона 9. Катализируемая рутением C-H оксигенация соединения 9 дала в результате 2,2'-дигидроксибензофенон 10 с выходом 61% (схема №2).

Схема №2
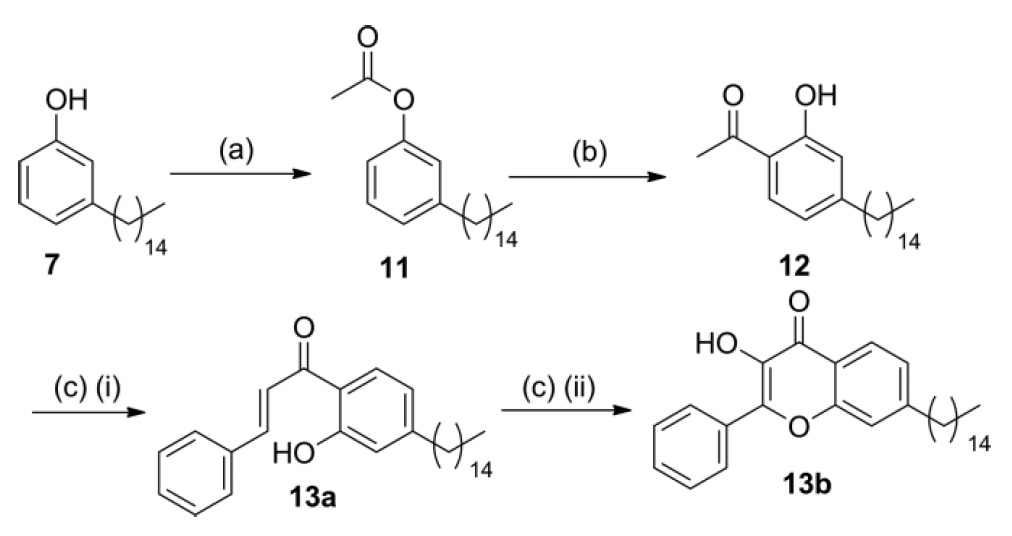
Другим классом потенциальных поглотителей ультрафиолета, имеющих гидроксильную группу, где водород связан с карбонилом, являются 3-гидроксифлавоны. Используя полученный из CNSL карданол 7, первый этап осуществляли аналогично схеме №2 путем первоначального ацетилирования карданола 7 с получением соединения 11. Опять же, перегруппировка Фриса с помощью микроволнового излучения, примененная к соединению 11, при катализе AlCl3 дала 1-(2-гидроксифенил) этанон 12 с превосходным общим выходом.
Конденсация альдола соединения 12 с бензальдегидом дала промежуточное соединение халкона 13a, окисление которого пероксидом водорода дало возможность получить желаемый 3-гидроксифлавон 13b со степенью выхода 54% за 2 стадии данного процесса (схема №3).

Схема №3
Поскольку уксусная кислота и бензальдегид являются ксилохимическими веществами, то есть они могут быть получены из древесины и связанных с ней видов биомассы, можно смело сказать, что весь молекулярный скелет 13a и 13b получен из возобновляемого углерода.
Следующим классом соединений, исследованных в качестве потенциальных поглотителей УФ лучей, были ксантоны, связанные водородом. В качестве примера из карданола был синтезирован 1,8-дигидроксиксантон 14.
Применив опять же перегруппировку Фриса на соединение 15 удалось получить бензофенон 16 (схема №4) с выходом 84% за 2 захода.
Использование дефлегмации* соединения 16 с карбонатом калия в ацетоне привело к формированию ксантона 17. Катализируемая рутением C-H оксигенация соединения 16 дала 1,8-дигидроксиксантон 14 с выходов в размере 54% за 2 захода.
Дефлегмация* — частичная конденсация смесей различных паров и газов для их обогащения низкокипящими компонентами.

Схема №4
Ученые отмечают, учитывая, что 2-фторбензойная кислота может быть получена из природной антраниловой кислоты, весь молекулярный скелет в соединении 14 формально выводится с помощью ксилохимии.
Кроме вышеописанных соединений, считается, что азотсодержащие вещества (например, 2-гидрокситриазины) также отлично могут справляться с поглощением УФ излучения за счет внутримолекулярной водородной связи O-H ··· N. В рамках данного исследования, учитывая этот факт, из CNSL был синтезирован 2-(4,6-дифенил-1,3,5-триазин-2-ил) фенол 20.
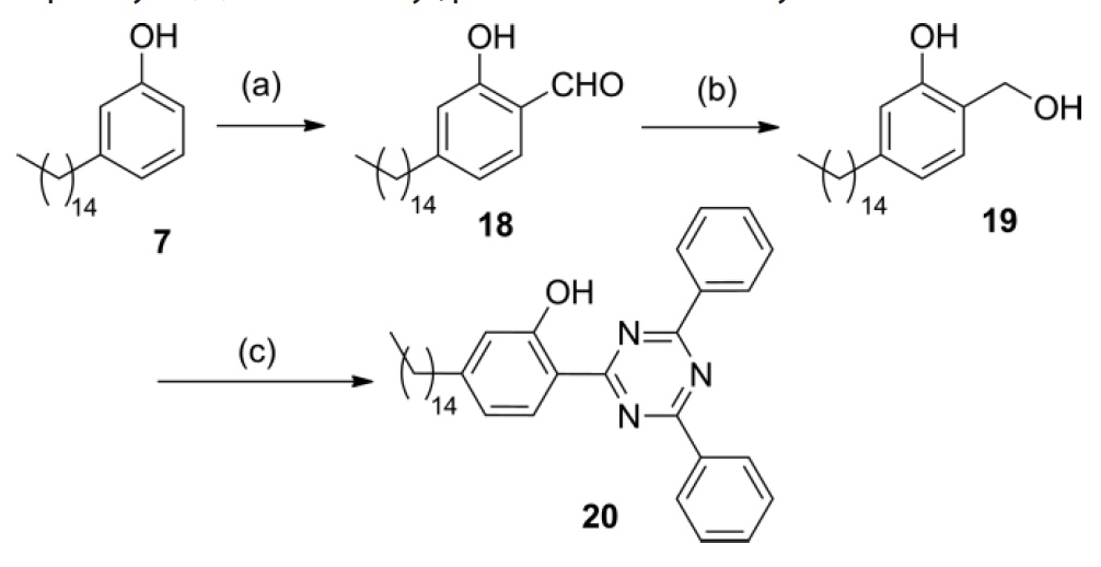
Опосредованное SnCl4 формилирование карданола 7 давало бензальдегид 18 с превосходным выходом, за которым следовало LiAlH4-восстановление альдегида 18 с получением бензилового спирта 19 (схема №5). Воздействие спирта 19 на бензамидин под катализом Cu(OAc)2 дает 2-(4,6-дифенил-1,3,5-триазин-2-ил) фенол 20 с выходом 62%.

Схема №5
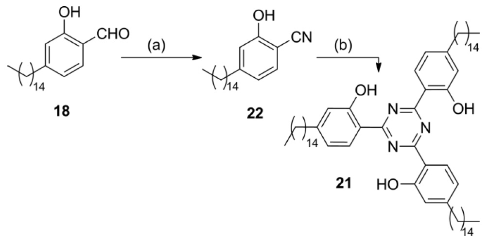
Еще один важный элемент будущего шелухового солнцезащитного крема является бензамидин, который можно получить из бензойной кислоты или бензальдегида. Ученые синтезировали 2,2’,2’’(1,3,5-триазин-2,4,6-триил) трифенол 21 для проверки УФ поглощения в случае увеличения числа водородно связанных внутримолекулярных атомов N. Предполагалось, что добиться такого результата можно посредством формилированного карданола 18 (схема №6).
Реакция альдегида 18 с гидрохлоридом гидроксиламина и FeCl3 в ДМФА (диметилформамиде) в условиях дефлегмации дает нитрил 22, который можно тримеризовать* с помощью микроволнового облучения, чтобы получить полностью симметричный s-триазин 21 с выходом 73%.
Тримеризация* — образование олигомера (молекула из цепочки одинаковых звеньев) из трёх молекул.

Схема №6
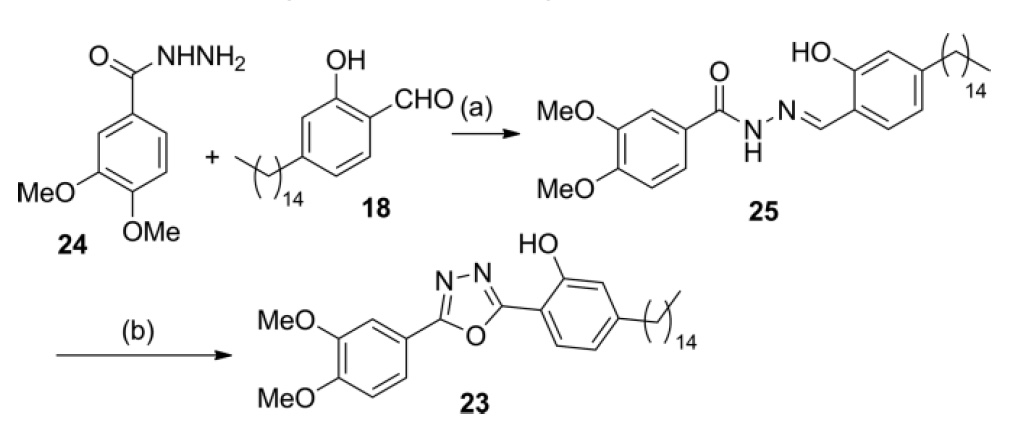
Конечным соединением (слава богам), которое также должно проявлять водородную связь N ··· H и, следовательно, быть в теории хорошим поглотителем УФ, является оксадиазол 23. Воздействие альдегида 18 на гидразид вератриновой кислоты (24, синтезированный из веральдегида) дает соединение 25. Окислительное образование оксадиазольного кольца дает 23 с общим выходом 39% за два захода (схема №7).

Схема №7
Важной особенностью соединения 23 является то, что веральдегид получается из ксилохимикатов, а это значит, что весь углеродный скелет этого соединения можно получить из органической массы и без каких-либо нефтехимических элементов.
Итак, мы пережили этот долгий и увлекательный путь преобразования одного в другое и другого в совсем другое (а говорят алхимия это выдумки), теперь стоит ознакомиться со свойствами полученных соединений, в частности с их возможностями противостоять ультрафиолету.
Анализ УФ профилей синтезированных соединений
Синтезированные соединения 4с, 5, 6, 9, 10, 13а, 13b, 14, 20, 21 и 23 были проанализированы на предмет их УФ-поглощения, в результате чего были получены их коэффициенты молярной экстинкции (ε). Все соединения проверялись как с UVA излучением, так и с UVB, после чего их результаты сравнивали с теми, что демонстрируют коммерчески доступные защитные средства (кремы, спрей и т.д.).
2,2’-дигидроксибензофенон (4с), синтезированный из анакардиевой кислоты, показал вполне неплохое поглощение УФ-излучения в области UVA с экспериментальными значениями ε 10538 л⋅моль−1⋅см−1 при 335 нм. В случае с 261 нм, который не входит в диапазон UVA и UVB, данное соединение показало гораздо лучший результат: 36366 л⋅моль−1⋅см−1 (изображение ниже).

Изображение №1: профиль поглощения УФ соединения 4c, 5 и 6, полученных из анакардиевой кислоты.
Для бензофенона 5 значения ε составляли 8785 л⋅моль−1⋅см−1 при 374 нм и 18439 л⋅моль−1⋅см−1 при 265 нм.
Бензофенон 6 продемонстрировал отличную абсорбцию UVA со значениями ε 25014 л⋅моль−1⋅см−1 при 358 нм и 34096 л⋅моль−1⋅см−1 при 287 нм.
Для сравнения, бензофеноны 9 и 10, полученные из карданола, показали превосходное поглощение на краю области UVB со значениями ε: 47909 при 279 нм и 31659 при 282 нм для моно- и дигидроксибензофеноны соответственно (изображение №2).

Изображение №2: профиль поглощения УФ бензофенонов 9 и 10, полученных из карданола.
3-гидроксифлавон 13b продемонстрировал превосходный профиль поглощения в области UVA со значениями ε 39870 при 314 нм и 44979 при 345 нм (изображение ниже).
Промежуточный фенилпропенон 13a достиг ε в размере 20403 при 314 нм и 10250 при 347 нм. Дигидрокси ксантон 14 также показал хороший профиль поглощения, а его ε составило 23765 л⋅моль−1⋅см−1 при 254 нм.

Изображение №3: профиль поглощения УФ халкона 13a, флавона 13b и ксантона 14.
S-триазин 21 показал лучшую абсорбцию ультрафиолетовых лучей как в области UVA, так и в области UVB со значениями ε 21452 при 300 нм и 12515 при 364 нм. Из этих показателей следует, что именно соединение 21 является УФ-блокирующим агентом широкого спектра, так как оно отлично себя показало в обеих областях ультрафиолетового излучения.
А вот 2-(4,6-дифенил-1,3,5-триазин-2-ил) фенол 20 показал отличное поглощение УФ в начале UVB области: ε = 29252 л⋅моль−1⋅см−1 при 278 нм.

Изображение №4: профиль поглощения УФ триазинов 20 и 21.
Оксадиазол 23 демонстрировал умеренное поглощение ультрафиолета в области UVА, а его ε составило 6367 при 326 нм и 3373 при 293 нм (изображение №5).

Изображение №5: профиль поглощения УФ оксадиазола 23.
Что касается коммерчески доступных солнцезащитных средств, то самые распространенные из них имели следующие результаты:
- оксибензон (ОВ) — ε = 15150 при 287 нм;
- 2-этилгексил-4-метоксициннамат (ОМС) — ε = 39470 при 1356 нм;
- авобензон — ε = 31670 при 310 нм.
Сравнивая эти показатели с экспериментальными, можно с уверенностью сказать, что исследуемые соединения обладают весьма хорошими УФ-поглощающими свойствами.
Для более детального ознакомления с нюансами исследования рекомендую заглянуть в доклад ученых.
Эпилог
Использование с толком того, что по мнению большинства не имеет никакой пользы, это всегда хорошо. Если же учесть еще и то, что нефтепродукты не бесконечные, а их влияние на экологию далеко от положительного, то создание заменителей из биоматериалов становится одним из альтернативных путей для человечества. Солнцезащитный крем на основе шелухи орехов кешью, т.е. на основе биомассы, это лишь начальная стадия исследования того, какие еще «бесполезные» вещества обладают скрытыми полезными свойствами и практическим применением. Ведь у всего есть применение, просто порой мы не знаем какое.
Благодарю за внимание, оставайтесь любопытствующими и хорошей всем рабочей недели, ребята! :)
Спасибо, что остаётесь с нами. Вам нравятся наши статьи? Хотите видеть больше интересных материалов? Поддержите нас оформив заказ или порекомендовав знакомым, 30% скидка для пользователей Хабра на уникальный аналог entry-level серверов, который был придуман нами для Вас: Вся правда о VPS (KVM) E5-2650 v4 (6 Cores) 10GB DDR4 240GB SSD 1Gbps от $20 или как правильно делить сервер? (доступны варианты с RAID1 и RAID10, до 24 ядер и до 40GB DDR4).
Dell R730xd в 2 раза дешевле? Только у нас 2 х Intel TetraDeca-Core Xeon 2x E5-2697v3 2.6GHz 14C 64GB DDR4 4x960GB SSD 1Gbps 100 ТВ от $199 в Нидерландах! Dell R420 — 2x E5-2430 2.2Ghz 6C 128GB DDR3 2x960GB SSD 1Gbps 100TB — от $99! Читайте о том Как построить инфраструктуру корп. класса c применением серверов Dell R730xd Е5-2650 v4 стоимостью 9000 евро за копейки?
Автор: Dmytro_Kikot
