Мозги на Марсе: как космические перелеты влияют на когнитивные функции

в 8:00, , рубрики: астронавты, астрономия, Блог компании ua-hosting.company, когнитивные искажения, колонизация марса, космонавтика, космонавты, космос, марс, мозг, Научно-популярное

Мозги на Марсе: как космические перелеты влияют на когнитивные функции - 1

Кто хочет на Марс? На удивление, не так и мало людей. Идея колонизировать красную планету циркулирует в обществе уже не первый год, но пока что картошку на Марсе никто не выращивает. Причин тому много. Одной из основных является необходимость просчитать все аспекты столь длительного, опасного и непредсказуемого путешествия, не говоря уже о пребывании на планете с весьма недружелюбной средой. Инженеры занимаются космическими кораблями, планетоходами, жилищами и скафандрами для будущих колонистов. Но в центре всего этого технологического богатства стоит человек, и понимание того, как его организм будет себя чувствовать во время длительных космических перелетов и во время жизни на другой планете, является приоритетной задачей. Посему ученые из университета Южной Каролины решили провести исследование мозга, его структуры и всех вероятных когнитивных изменений, которые могут в нем протекать, в случае путешествия на Марс. Как именно меняется мозг в зависимости от времени пребывания в космосе, как это влияет на поведение человека и стоит ли опасаться за будущее миссии по колонизации Марса? Ответы на эти вопросы мы узнаем из доклада исследовательской группы. Поехали.

Основа исследования

Мозги на Марсе: как космические перелеты влияют на когнитивные функции - 2

Загадочный и таинственный Марс, неоднократно побывавший в роли центральной локации научно-фантастических произведений, находится очень близко к нашей родной планете Земля, в масштабах Вселенной конечно. Минимальное расстояние между планетами составляет 54.6, максимальное — 401, а среднее — около 225. И все это в миллионах километров. Для обывателей это колоссальное расстояние, а для знатоков Космоса — короткая прогулка. Однако, для преодоления подобных расстояний с имеющимися у нас технологиями потребуется от 150 до 300 дней, в зависимости от скорости движения, положения Земли относительно Марса и траектории полета. Для многих космонавтов, побывавших на МКС, это не так и долго, однако между орбитальной станцией и пространством между планетами есть разница.

Ранее исследования мозга после пребывания на МКС уже проводились. Результатом этих исследований было выявление вертикального смещения мозга, скопления красноречивых (Eloquent) тканей* мозга в области вертекса (макушки) и расширение желудочков головного мозга.

Красноречивая ткань мозга* — данный термин обозначает область мозга, удаление которой приведет к потере лингвистических способностей, сенсорным проблемам, частичному или полному параличу.

Исследователи отмечают, что полученные ранее данные об изменениях, протекающих в теле астронавтов во время и после пребывания на орбите, хоть и известны ученым, однако до конца не изучены. Так, к примеру, пока остается неясной этиология и функциональная значимость структурных изменений мозга. В рассматриваемом нами сегодня труде, ученые решили детальнее рассмотреть такие аномалии и выяснить, насколько связаны между собой структурные изменения мозга до/после полета и когнитивные/моторные характеристики человека.

Кроме того, ученые решили связать изучение структуры мозга астронавтов и уже известного синдрома, связанного с космическими полетами. В 2017 году было установлено, что длительное пребывание на МКС вызвало у ряда астронавтов определенные офтальмологические изменения: изменение остроты зрения, «ватные» пятна и хориоидальные складки на сетчатке (ишемические изменения сетчатки), отек диска зрительного нерва. NASA дала этим изменениям общее название — SANS (spaceflight-associated neuro-ocular syndrome), т.е. нейро-глазной синдром, связанный с космическими полетами.

Исследователи считают, что изменения в головном мозге напрямую связаны с SANS и могут влиять на другие аспекты работы организма, в том числе и на когнитивные функции.

Результаты исследования

Изучение мозга астронавтов проводилось в несколько этапов, во время каждого из которых ученые уделяли внимание определенному показателю. Далее мы рассмотрим по пунктам результаты проведенных анализов и тестов.

Анализ объема по сегментам тканей головного мозга

Никаких существенных изменений до и после полета в общем объеме серого или белого вещества не было выявлено ни у космонавтов шаттла, ни у космонавтов с МКС.

Мозги на Марсе: как космические перелеты влияют на когнитивные функции - 3
Таблица №1: данные касательно изменений объема серого и белого вещества у космонавтов до/после полета на шаттле и на МКС.

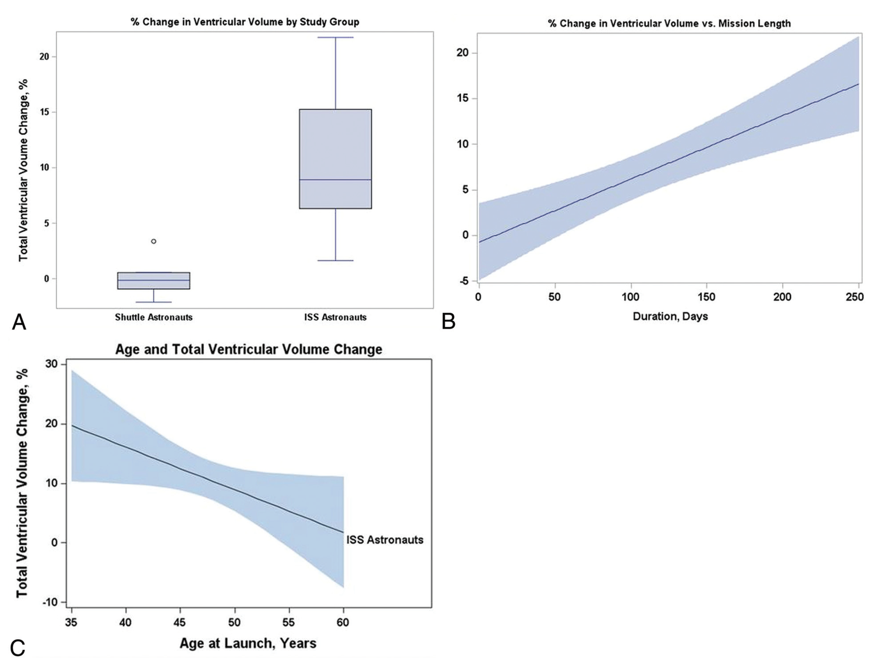
Как и ожидалось, было обнаружено значительное увеличение общего объема желудочков у астронавтов после полета на МКС, но не у астронавтов после полета на шаттле (10.7% — МКС и 0% — шаттл, ).

Мозги на Марсе: как космические перелеты влияют на когнитивные функции - 4
Изображение №1

Для астронавтов МКС процентное изменение объема желудочка для левого латерального, правого латерального, третьего и четвертого желудочков составило: 17.1% ± 6 7.3%, 15.2% ± 6 8.4%, 15.4% ± 6 4.9% и 0.83% ± 6 4.57%, соответственно. Значение %∆VV (процентное изменение общего желудочкового объема) варьировалось до/после полета в зависимости от его продолжительности (1B). Любопытно, что значение %∆VV у более молодых астронавтом было выше, чем у старших ().

Оценка локальных изменений границ мозга

Учитывая ранее установленный факт смещения тканей головного мозга ввиду пребывания на МКС, ученые провели анализ локального смещения тканей мозга в участке интерфейса между мозгом и спинномозговой жидкостью. У космонавтов, которые подвергались длительным космическим полетам, были отмечены значительные локальные изменения в структуре мозга (снимок ниже).

Мозги на Марсе: как космические перелеты влияют на когнитивные функции - 5
Изображение №2: МРТ снимок мозга астронавта, показывающий наличие скопления красноречивых тканей мозга в области вертекса (красный цвет) и локального смещения тканей (синий цвет).

Во время исследования наблюдалась скученность паренхимальных* тканей головного мозга в макушке, которая сопровождалась скученностью моторных, премоторных и первичных сенсомоторных областей. Также было выявлено смещение тканей мозга вдоль краев желудочка, что соответствует предыдущим наблюдениям касательно увеличения желудочков.

Паренхима* — функциональная ткань мозга, состоящая из нейронов и нейроглий. Травмы данного участка мозга могут привести к когнитивным расстройствам и даже к смерти.

В то же время, у астронавтов, которые испытали кратковременные космические полеты (шаттл) никаких отклонений не было выявлено.

Связь между структурными изменениями мозга и моторикой

Мозги на Марсе: как космические перелеты влияют на когнитивные функции - 6
Таблица №2: результаты тестов на моторику астронавтов до/после полетов на шаттле и до/после пребывания на МКС.

Тесты моторики показали, что локальные структурные изменения левого хвостатого ядра все же привели к снижению постурального* контроля ().

Постуральный рефлекс* — совокупность реакций и рефлексов, обеспечивающих сохранение определенного положения тела или части тела в пространстве.

Мозги на Марсе: как космические перелеты влияют на когнитивные функции - 7
Изображение №3: локальные изменения паренхимы головного мозга, влияющие на результаты тестов на моторику.

Тесты на восстановление положения тела после падения и на сохранение неподвижного положения также показали влияние на моторику со стороны локальных изменений паренхимы головного мозга ().

Время, затраченное астронавтами на выполнение тестов «ходьба» и «приседание» (), было больше нормы, что говорит о влиянии локальных изменений в поясной коре мозга, играющей важную роль в реализации исполнительных функций.

Подводя промежуточный итог, изменения в головном мозге, вызванные длительным пребыванием на МКС (в контексте исследования) напрямую влияют на способность человека выполнять те или иные задачи, связанные с моторикой. Данные отклонения нельзя назвать критическими или негативно влияющими на повседневные или профессиональные задачи, однако сам факт их наличия говорит о необходимости дальнейшего изучения данного аспекта работы мозга человека.

Ученые также решили проверить связь между значениями %∆VV и результатами моторных тестов (таблица ниже).

Мозги на Марсе: как космические перелеты влияют на когнитивные функции - 8
Таблица №3: корреляция между процентным изменением общего объема желудочка и процентным изменением в результатах тестирования моторики 8 астронавтов (7 человек — МКС и 1 — шаттл).

Значительная корреляция была выявлена в тестах на восстановление положения тела после падения и на сохранение неподвижного положения. Это говорит о том, что подопытные с более значительным увеличением %∆VV ввиду космических полетов испытывали трудности с постуральным контролем.

Связь между структурными изменениями мозга и когнитивными функциями

Все испытуемые до проведения исследования проходили стандартное для всех астронавтов тестирование WinSCAT (Windows Spaceflight Neuro-Cognitive Assessment Tool), оценивающее нейрокогнитивные функции.

Мозги на Марсе: как космические перелеты влияют на когнитивные функции - 9
Скриншот ранней версии программы WinSCAT (найден тут).

Данная программа состоит из различных вопросов и задач (логика, математика и т.д.).

Однако результаты WinSCAT не показывают никакой корреляции с продолжительностью полета. Потому, как заявляют ученые, эту программу нельзя учитывать в данном исследовании.

Мозги на Марсе: как космические перелеты влияют на когнитивные функции - 10
Таблица №4: статистика тестов WinSCAT астронавтов до и после полетов на МКС.

После полета астронавты продемонстрировали значительное снижение точности выполнения тестов на CDS (закодированные последовательности) и тестов на обучение. Однако при этом было замечено улучшение скорости выполнения теста CDS и теста на сохранение внимания.

Далее ученые решили проверить объем мозга и когнитивные функции, а также связь между ними. Во время данного исследования было установлено 3 участка белого вещества, которые связаны с изменением времени реакции на CPT (когнитивные задачи).

Мозги на Марсе: как космические перелеты влияют на когнитивные функции - 11
Изображение №4: локальная деформация паренхимы головного мозга, связанная с успешностью выполнения теста непрерывной производительности.

Снимки мозга астронавтов после полета, у которых время реакции на тест подверглось минимальному сокращению, показали наличие структурных изменений трех областей белого вещества, а именно изменение объема.

Объем желудочков, как и в случае с тестом на расшифровку закодированных последовательностей, также обладал негативной корреляцией с успешностью тестов непрерывной производительности. Астронавты, чьи желудочки увеличились в объеме после полета, демонстрировали снижение точности и скорости выполнения тестов.

Из 12 астронавтов, ранее пребывавших на МКС длительное время, было четверо, у которых были признаки SANS: у троих были хориоидальные складки на сетчатке, а у четвертого посредством люмбальной пункции было выявлено повышенное внутричерепное давление и отек диска зрительного нерва.

Любопытно, что у четверки астронавтов с SANS изменения объема желудочков мозга было значительно меньше, чем у восьмерых без SANS: 12,8% против 6,5%. Однако ученые не готовы считать эти наблюдения на сто процентов верными и репрезентативными по отношению ко всем астронавтам, испытавших длительные космические полеты, так как число испытуемых в исследовании слишком мало. Но в дальнейшем это необычное наблюдение получит более детальное изучение.

Если собрать воедино результаты всех тестов и МРТ, то вырисовывается определенная картина связи между космическими полетами и структурными изменениями мозга.

Во-первых, это временная корреляция — изменения в мозге становятся более выраженными с увеличением времени пребывания в космосе. Во-вторых, возрастная — влияние длительных космических путешествий более выражено у молодых астронавтов. В-третьих, когнитивная — все найденные изменения в мозге так или иначе влияли на когнитивные функции астронавтов, качество реализации которых снижалось после полетов.

В исследовании принимали участие 19 астронавтов: 6 мужчин и 1 женщина (средний возраст 46.7 ± 2.1 лет), которые летали на шаттле (14.7 ± 1.6 дней), а также 10 мужчин и 2 женщины (средний возраст 47.5 ± 4.8 лет), которые пребывали на МКС (162.7 ± 21.8 дней). С одной стороны, такого числа испытуемых может быть недостаточно для описания всех аспектов влияния космоса на изменения в мозге человека, но этого вполне достаточно, чтобы однозначно утверждать, что подобного рода изменения есть. Следовательно, их необходимо учитывать при планировании длительных космических перелетов и возможной колонизации Марса.

Для более детального ознакомления с нюансами исследования рекомендую заглянуть в доклад ученых и дополнительные материалы к нему.

Эпилог

В данном труде было установлено, что пребывание в космосе имеет непосредственное влияние на изменения в структуре мозга человека и, как следствие, на его когнитивные функции. Подобное утверждение можно было высказать и без проведения исследования, однако необходимо было установить какие именно изменения имеют место быть и как именно они влияют на астронавтов после длительных полетов.

Тесты моторики и мыслительных процессов показали снижение скорости и точности их выполнения, а МРТ дало возможность определить какие именно участки мозга были затронуты и являются источником подобных изменений когнитивных функций.

Стоит также учесть, что участниками исследования были тренированные астронавты, которые перед полетами проводят уйму времени в подготовке, затрагивающей не только их физическое, но и ментальное состояние. Если профессионалы были затронуты отрицательной корреляцией между космосом и когнитивными функциями, то что можно говорить о простых обывателях.

Именно в этом и заключается важность данного исследования. Раз уж рвение человека исследовать космос и колонизировать планеты нельзя унять, то необходимо быть максимально готовым к столь опасному и непредсказуемому занятию.

Авторы рассмотренного нами исследования считают, что необходимо уделить приоритетное внимание именно мозгу человека, если мы хотим успешно бороздить просторы галактики. Прежде всего, по их мнению, нужно сосредоточиться на изучении адаптации мозга к космосу и разрабатывать новые методики, которые могут этот процесс усовершенствовать и ускорить.

Космические путешествия — дело непростое и требует учета всех деталей, всех возможных вариантов развития событий, всех проблем и всех путей решения. Это должно касаться не только технической составляющей, ибо в центре всех этих шаттлов, ракет, спутников, планетоходов и прочего удивительного оборудования всегда будет человек — существо со своими преимуществами и недостатками.

Пятничный офф-топ:

Как простыми словами доказать, что Земля не плоская (да, в 2019 году все еще приходится доказывать очевидное).

Небольшой репортаж, в котором журналисты беседовали с теми, кто верит в плоскую Землю.

Благодарю за внимание, оставайтесь любопытствующими и отличных всем выходных, ребята! :)

Спасибо, что остаётесь с нами. Вам нравятся наши статьи? Хотите видеть больше интересных материалов? Поддержите нас, оформив заказ или порекомендовав знакомым, облачные VPS для разработчиков от $4.99, 30% скидка для пользователей Хабра на уникальный аналог entry-level серверов, который был придуман нами для Вас: Вся правда о VPS (KVM) E5-2650 v4 (6 Cores) 10GB DDR4 240GB SSD 1Gbps от $20 или как правильно делить сервер? (доступны варианты с RAID1 и RAID10, до 24 ядер и до 40GB DDR4).

Dell R730xd в 2 раза дешевле? Только у нас 2 х Intel TetraDeca-Core Xeon 2x E5-2697v3 2.6GHz 14C 64GB DDR4 4x960GB SSD 1Gbps 100 ТВ от $199 в Нидерландах! Dell R420 — 2x E5-2430 2.2Ghz 6C 128GB DDR3 2x960GB SSD 1Gbps 100TB — от $99! Читайте о том Как построить инфраструктуру корп. класса c применением серверов Dell R730xd Е5-2650 v4 стоимостью 9000 евро за копейки?

Автор: Dmytro_Kikot

Источник

* - обязательные к заполнению поля


https://ajax.googleapis.com/ajax/libs/jquery/3.4.1/jquery.min.js