
Дружба познается в беде. Эта знакомая нам всем фраза становится вопросом жизни и смерти, когда речь идет о дикой природе, а именно о социализированных животных. Также здесь будет уместна фраза — предупрежден значит вооружен. Вы наверняка видели дозорных у сурикатов или других зверьков, живущих в группах и опасающихся нападения хищников. В случае опасности сурикаты издают звук и все его товарищи тут же прячутся в норки. Но что делать, если ты немой, как рыба? А точнее, если ты и есть рыба. Использовать химические соединения, выделяемые телом, конечно. Ученые выяснили, что при необходимости некоторые виды групповых рыб способны выделять определенные вещества, предупреждающие сородичей об опасности. Как именно ученые это выяснили, чем их открытие отличается от предыдущих и насколько сложна система коммуникации в социуме рыб? За ответами нырнем в доклад исследовательской группы.
Основа исследования
Основным проявлением социальности у любых живых организмов является коммуникация, то есть общение между представителями вида внутри одной группы. Посредством общения передается информация, что вполне очевидно. Это может быть как и призыв бежать сюда, ибо тут много вкусного, и предупреждение об опасности и бежать нужно от нее.

Рыбки, прячущиеся от опасности.
Грубо говоря причины общения и передаваемая информация у разных существ достаточно схожи, а вот методы передачи разнятся: звуковые, световые, жесты, выделения химических соединений и т.д. И некоторые из этих сигналов не могут быть восприняты другим видом, что весьма полезно, если ты предупреждаешь группу о хищнике, который находится неподалеку. Человек тоже многие из этих сигналов не замечает. Именно это и привело к тому, что многие социальные аспекты у тех или иных видов были не изучены на протяжении десятков лет.

Изображение №1
Исследователи отмечают, что в любой сигнальной системе существует несколько основных компонентов: контекст (а), добровольный сигнал (b), ответ принимающей стороны (с) и польза для подающего и принимающего сигнал (d).
Сначала особь сталкивается с определенным контекстом (информацией / ситуацией), который может быть обусловлен внешними (i) факторами (обнаружение пищи, нахождение рядом других особей своего вида или хищников), внутренними (ii) факторами (голод, страх и т.д.) и фактом присутствия рядом получателя (iii) сигналов. Таким образом, сигнальный контекст состоит из внешних раздражителей, внутреннего состояния особи и целевой «аудитории» генерируемого сигнала, то есть на кого он нацелен. Также ученые отмечают, что сигналы эти добровольны и продуцируются особью по собственной воле.
Симбиотическая связь между морским бычком и креветкой. Одна из антенн креветки постоянно соприкасается с рыбой, которая в случае опасности прячется в нору. Креветка, получив такой сигнал, также прячется.
Этот момент (добровольность сигнала) крайне важен, поскольку не все сигналы таковы. Некоторые сигналы производятся случайно в зависимости от контекста без осознанного участия источника сигнала. Например, запах раненой особи является сигналом для других, что рядом опасность, однако этот сигнал по факту создал хищник, а не особь жертва. Другими словами, это был непроизвольный сигнал.
Следующий элемент это принимающая сторона. Сигнал вызывает у принимающей стороны некую ответную реакцию, которая может включать в себя поведенческие, физиологические и даже генетические изменения в зависимости от природы сигнала.
Не менее важную роль играет польза от сигнала для того, кто его подает и того, кто принимает. В данном случае ситуации могут быть как взаимовыгодные, так и нацеленные на пользу исключительно для особи вырабатывающей сигнал. Взаимовыгодные сигналы могут быть использованы как важный механизм выживания, а потому переходить из поколения в поколение посредством наследственности и/или обучения потомства.
Как признаются ученые, на практике достаточно сложно измерить интенсивность сигнала, его произвольную или случайную природу генерации и пользу от него для генератора и принимающей стороны. Как правило, эти характеристики определяются уже постфактум, то есть оценивается степень выживаемости группы, соотношение смертности и рождаемости и т.д. Проще говоря, если группа использует сигналы и они живы и здоровы, то сигналы работают им на пользу. Но такой подход очень неточный и не может ответить на ряд вопросов: сохраняется ли поведение группы вне контролируемых условиях, передается ли поведение потомству и т.д.
Если же упростить систему передачи сигналов об опасности, то можно выделить два основных контекстных элемента: внешний фактор (хищник) и аудитория (представители того же вида и/или группы). При этом интенсивность сигнала может отличаться в зависимости от ситуации. Если сородичи достаточно близко, то сигнал будет сильнее. Если же жертва нападения одна, а сородичи далеко, сигнал тревоги будет слабым, дабы не привлекать лишнего внимания со стороны хищника.
Вороны в группе куда смелее, чем поодиночке, потому могут напасть даже на белоголового орлана.
Состав аудитории, то есть принимающих сигнал особей, также имеет значение. Некоторые птицы и приматы усиливают сигнал об опасности, если поблизости находятся представители не просто того же вида, а именно общей группы (семья, партнеры, потомство).
Переходя к обсуждению обитателей морей и океанов, ученые вновь напоминают о важности различать добровольные и непроизвольные сигналы. К примеру, Карл фон Фриш в 1938 году открыл химическое соединение Schreckstoff, одним из компонентов которого был H3NO. Это соединение производится раненой или убитой особью, однако его никак нельзя назвать добровольным и обдуманным сигналом тревоги.

Карл фон Фриш
Основной составляющей большинства сигналов у рыб является урина, которая используется для выделения феромонов, демонстрации доминирования на определенной территории, дифференциации родственных особей и т.д. На основе этого ученые предположили, что урина может играть важную роль и в сигнализации тревоги.
В данном исследовании ученые провели тесты с участием черных толстоголовов (Pimephales promelas). Данный вид рыб ведет социальный образ жизни. В случае опасности они сначала начинают быстро и хаотично двигаться, потом замирают, а потом собираются в плотные группы и пытаются спрятаться в безопасном месте.
Исследователи провели ряд тестов, в которых на толстоголовов нападает хищник, дабы определить добровольность производимых сигналов тревоги, интенсивность сигнала в зависимости от аудитории принимающих особей (свои/чужие) или от наличия/отсутствия рядом аудитории как таковой.
Результаты тестов
В качестве генераторов сигналов было отобрано 69 особей, в качестве принимающих — 270 особей. Все особи не проходили обучение сигналам тревоги, но во время проведения испытаний находились в аквариуме со знакомыми им особями или с чужаками. Особых физиологических отличий между особями генераторов и принимающих не было: вес — 0.6 ± 0.2 г, длина тела — 40 ± 5 мм.
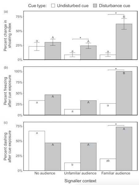
Показатель группирования до и после сигнала сильно отличался (2а) в зависимости от типа сигнала и от типа особи-генератора (двустороннее взаимодействие: LRT х22 = 9.94, p = 0.0069).

Изображение №2
Разделив данные по типу сигнала и типу генератора, ученые смогли детальнее понять связь между этими переменными. Не тревожные сигналы (обычные) не отличались между особями трех разных категорий генераторов сигналов (LRT х22 = 3.33, p = 0.19), а вот сигналы тревоги напротив (LRT х22 = 10.75, p = 0.0046). Также ученые заметили, что группы особей, которые знакомы с особью-генератором сигнала, значительно активнее реагируют на вырабатываемый им сигнал тревоги (LRT х21 = 16.86, p < 0.0001), а вот группы «незнакомцев» реагируют вяло и медленно (LRT х21 = 1.28, p = 0.26).
Касательно оцепенения (2b) также была обнаружена взаимосвязь между типом сигнала и типом его генератора (критерий хи-квадрат: х27 = 28.2, p = 0.0002). В случае обычного сигнала в группе принимающих часто была одна оцепеневшая особь вне зависимости от типа генератора сигнала. Однако, при тревожном сигнале отличия были, как и с показателем группирования. Принимающие чаще и в большей численности цепенели, если сигнал тревоги исходит от знакомой особи, нежели от чужака (точный тест Фишера: p = 0.002) или одиночной (изолированной) особи (p = 0.0002). Показатели реакций на сигналы чужаков и изолированных особей достаточно схожи, что еще раз подтверждает важность социальных связей между особями одной группы. Как говорится, они доверяют своим куда лучше, чем чужакам.
С показателем хаотичных перемещений ситуация была еще любопытнее (2с). Группа не реагировала на обычные сигналы, исходящие от генераторов любого типа (знакомые особи, чужаки и изолированные особи). На сигналы тревоги со стороны знакомых особей реакция у группы была значительно сильнее, чем на сигналы чужаков и изолированных особей.
Для более детального ознакомления с нюансами исследования рекомендую заглянуть в доклад исследовательской группы.
Эпилог
Исследователи, проведя вышеописанные тесты, подтвердили факт того, что сигналы тревоги (в данном случае химические) являются важной составляющей защиты от хищников для особи, генерирующей сигнал, и для особей, принимающих сигнал. Также было установлено, что эти сигналы генерируются добровольно и осознанно, в отличие от непроизвольных сигналов со стороны раненой или убитой особи.
Кроме того, исследование показало, что группа будет охотнее реагировать на сигналы тревоги, генерируемые особью из этой же группы, чем чужаками или изолированными особями. Это наблюдение подтверждает факт наличия более сильных социальных связей внутри конкретных групп, а не видов в целом.
Данное исследование позволяет лучше понять социальную структуру и ее основополагающие элементы у подводных обитателей. Мир дикой природы это опасное место, особенно для маленьких рыбок, у которых достаточно много голодных врагов. Формируя группы, они повышают свои шансы на выживание. Но если группа будет слепа к опасностям, окружающим ее, толку от массовости будет мало. Именно потому информированность каждого члена группы об окружающей среде играет столь важную роль в борьбе за выживание.
Адский кальмар-вампир (Vampyroteuthis infernalis), при неожиданном появлении которого не только рыбы начали бы бить тревогу, но и люди.
Что будет, если объединить трейлер к мультфильму «В поисках Немо» и звуковой ряд трейлера фильма «Логан»?
Благодарю за внимание, оставайтесь любопытствующими и отличных всем выходных, ребята :)
Спасибо, что остаётесь с нами. Вам нравятся наши статьи? Хотите видеть больше интересных материалов? Поддержите нас оформив заказ или порекомендовав знакомым, 30% скидка для пользователей Хабра на уникальный аналог entry-level серверов, который был придуман нами для Вас: Вся правда о VPS (KVM) E5-2650 v4 (6 Cores) 10GB DDR4 240GB SSD 1Gbps от $20 или как правильно делить сервер? (доступны варианты с RAID1 и RAID10, до 24 ядер и до 40GB DDR4).
(KVM) E5-2650 v4 (6 Cores) 10GB DDR4 240GB SSD 1Gbps до лета бесплатно при оплате на срок от полугода, заказать можно тут.
Dell R730xd в 2 раза дешевле? Только у нас 2 х Intel TetraDeca-Core Xeon 2x E5-2697v3 2.6GHz 14C 64GB DDR4 4x960GB SSD 1Gbps 100 ТВ от $199 в Нидерландах! Dell R420 — 2x E5-2430 2.2Ghz 6C 128GB DDR3 2x960GB SSD 1Gbps 100TB — от $99! Читайте о том Как построить инфраструктуру корп. класса c применением серверов Dell R730xd Е5-2650 v4 стоимостью 9000 евро за копейки?
Автор: Dmytro_Kikot
