Оценка контента одна из главных составляющих формулы релевантности. Знание текстовых признаков и вклад каждого из них в оценку сайта позволит приблизиться к более профессиональной работе с ресурсом. В данной статье будет рассмотрена модель, позволяющая восстановить формулу ранжирования по каждому конкретному запросу, указана значимость определение тематики сайта при продвижении по определенному запросу, а также проработан вопрос, связанного с определением неестественного текста.
Восстановление формулы ранжирования
Если переводить данную задачу в область математики, то входные данные можно представить набором векторов, где каждый вектор – множество характеристик каждого сайта, а координаты в векторе – параметр, по которым оценивается сайт. В описанном векторном пространстве обязательно должна быть задана функция, определяющая отношение порядка двух объектов между собой. Эта функция позволяет ранжировать объекты между собой по принципу «больше — меньше», однако при этом сказать, насколько именно одно больше или меньше другого – нельзя. Такого вида задачи относятся к задачам оценки порядковой регрессии.
Наши сотрудники разработали алгоритм на основе модели линейной регрессии с регулируемой селективностью, который позволил с определенной долей погрешности восстановить ранги сайтов и спрогнозировать изменение выдачи при соответствующих корректировках параметров сайта. Первым шагом алгоритма является обучение модели. В данном случае обучающая выборка представляет собой результаты ранжирования сайтов в рамках одного поискового запроса. Упорядоченность сайтов в рамках поискового запроса фактически означает, что в признаковом пространстве существует некоторое направление, на которое объекты обучающей выборки должны проектироваться в нужном порядке. Это направление и является искомым в задаче восстановления формулы ранжирования. Однако судя по рис.1, таких направлений может быть много.

Рис. 1. Выбор направляющего вектора
Для решения данного вопроса был рассмотрен подход, лежащий в основе метода опорных точек, а именно – выбор такого направления, которое будет обеспечивать максимальное удаление объектов друг от друга.
Следующая задача, которая была решена — выбор стратегии обучения. Рассматривалось два варианта – сокращенная стратегия обучения, при которой учитывается порядок двух соответствующих элементов, и полная стратегия, которая учитывает весь порядок объектов. В результате экспериментов была выбрана сокращенная стратегия, которая заключается в решении следующего уравнения:(1)
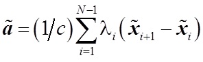
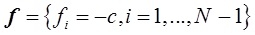
, где
— решение стандартной задачи квадратичного программирования при линейных ограничениях:
, где
— симметричная матрица
— вектор коэффициента
— разница векторов характеристик
Данный подход на различных выборках (100 признаков и 500 признаков на 20 различных множествах поисковых запросов) показал хорошие результаты (см. табл. 1).
Таблица 1. Результаты сокращенной модели


Рис. 2. Восстановленные коэффициенты регрессии при n=100

Рис. 3. Восстановленные коэффициенты регрессии при n=500
Если говорить о результатах на конкретных запросах, то проведенные эксперименты дают следующий показатель ошибка
Таблица 2. Ошибки вычислений

При работе над проектом данный подход использовался для прогнозирования позиций при конкретном изменении на сайте. Подобные эксперименты проводились на базе текстовых признаков. Первоначально были собраны данные по сайтам из ТОП20 по рассматриваемому запросу, затем данные подвергались стандартизации с помощью соответствующего алгоритма. После чего выполнялся алгоритм непосредственно по вычислению «релевантности» с помощью метода квадратичного программирования.
Полученные значения релевантности сайта сортируются и делается вывод о восстановленных позициях.
Таблица 3. Восстановление позиций



