Скачать файл с кодом и данные можно в оригинале поста в моем блоге
В языке Wolfram Language есть четыре совершенно потрясающие функции: FindSequenceFunction, RSolve, DifferenceRootReduce и FindFormula. В этой статье мы обсудим их возможности и поговорим о функциях, тесно с ними связанных — для поиска параметров линейной рекурсии FindLinearRecurrence (коэффициентов линейного рекуррентного уравнения), производящих функциях GeneratingFunction и Z-преобразовании ZTransform.
Первая функция — FindSequenceFunction — по последовательности чисел ищет выражение для её n-го члена не требуя вообще ничего более.
Hold @ FindSequenceFunction[{1, 1, 2, 3, 5, 8, 13}, n]

FindSequenceFunction[
{-2, 4Sqrt[Pi],
-16, 16Sqrt[Pi],
-128/3, 32Sqrt[Pi],
-1024/15, 128Sqrt[Pi]/3,
-8192/105, 128Sqrt[Pi]/3},
n]

Вторая функция — RSolve — решает рекуррентные уравнения самых разных типов. Элементы могут иметь вид ,
,
, где f имеет вид: n+A (арифметические разностные уравнения), B*n — геометрические или q-разностные уравнения), B*n+a (арифметико-геометрические функциональные разностные уравнения), B*n^d (степеные геометрические функциональные разностные уравнения), (A*n+B)/(C*n+D) (линейные дробные функциональные разностные уравнения).
RSolve[
{
a[n + 3]==2 * a[n],
a[1]==α,
a[2]==β,
a[3]==γ
},
a, n
]

RSolve[
{
v[n]==(2 * Pi * v[n - 2]) / n,
v[2]==Pi,
v[3]==(4 * Pi) / 3
},
v @ n, n
]

Третья функция — DifferenceRootReduce — ищет рекуррентное соотношение для последовательности чисел, n-й член которой имеет заданный вид.
DifferenceRootReduce[-2 * n * Pi * Factorial[(n * 2) - 1],
n
]
RSolve[
{
(-8 * y[n]) + n * y[2 + n]==0,
y[-1]==1/4,
y[0]==0,
y[1]==-2,
y[2]==4Sqrt[Pi]
},
y, n
]

Эта функция может много чего ещё, скажем, проверять тождества относительно последовательностей, к примеру:
DifferenceRootReduce[Fibonacci[2 * n]==Fibonacci[n] * LucasL[n], n]

Здесь LucasL — последовательность чисел Люка (это, по сути, последовательность Фибоначчи, только первые члены не 1, 1, а 1, 3.
Hold @ DifferenceRootReduce @ LucasL @ n

DifferenceRootReduce[LucasL[n]==Fibonacci[n - 1] + Fibonacci[n + 1]]
Как найти рекуррентную формулу для последовательности?
Метод поиска общего члена последовательности часто основан на том, что нужно подобрать рекуррентное уравнение.
Работать это может примерно так: пусть мы ищем n-й член последовательности в виде . Пусть у нас есть первые члены последовательности:
sequence = {1, 0, 1, 2, 5, 12, 29, 70, 169, 408, 985, 2378, 5741, 13860, 33461}

Попробуем найти выражение для n-го члена в виде :
seauenseEq1 = MovingMap[
Function[
Dot[Part[#, 1;;1], {a @ 1}]==Part[#, -1]
],
sequence, 1
]
![]()
Hold @ Solve @ seauenseEq1

Как видно, решений нет.
Попробуем искать теперь в виде :
seauenseEq2 = MovingMap[
Function[
Dot[Part[#, 1;;2], {a @ 1, a @ 2}]==Part[#, -1]
],
sequence, 2
]

Hold @ Solve @ seauenseEq2

Как видим, получилось. Значит, n-й член имеет вид: .
На самом деле есть встроенная функция FindLinearRecurrence, которая позволяет найти линейную рекурсию, подобно тому, как мы это только что сделали:
Hold @ FindLinearRecurrence @ sequence

Используя функцию LinearRecurrence можно продлить последовательность:
LinearRecurrence[{2, 1}, sequence[[1;;2]], 50]

Или объединить все в одну строчку, построив функцию, которая: продлит последовательность, выдаст разностное уравнение и найдет общую формулу для n-го члена:
sequenseExtension[list_, n_] := Module[
{lr, eq},
lr = FindLinearRecurrence @ list;
eq = Flatten[
{
a[k]==Total[
Table[
a[k + -i] * Part[lr, i],
{i, 1, Length @ lr}
]
],
Table[a[i], list[[i]]], {i, 1, Length @ lr}]
}
];
<|
"Уравнение" -> eq,
"Формула" -> FullSimplify[a[k] /. Part[RSolve[eq, a, k], 1]],
"Продление" -> LinearRecurrence[lr, Part[list, Span[1, Length[lr]]], n]
|>
];
Hold @ sequenseExtension[{1, 1, 2, 3, 5}, 20]

Hold @ sequenseExtension[{1, 2, 2, 1, 1, 2, 2, 1}, 20]

Hold @ sequenseExtension[
{1, 0, -1, 0, 2, 0, -2, 0, 3, 0, -3, 0, 4, 0, -4},
25
]

Как найти формулу для n-го члена последовательности?
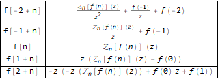
Z-преобразование
Z-преобразование состоит в вычислении ряда вида от дискретной функции
. Это преобразование позволяет свести рекуррентное уравнение для задания последовательности к уравнению относительно образа функции
, что аналогично преобразованию Лапласа, которое сводит дифференциальные уравнения к алгебраическим.
Вот как это работает:
Grid[
Transpose[
Function[
{
#,
Map[TraditionalForm, Map[FullSimplify, ZTransform[#, n, z]]]
}
][
{
f[n - 2],
f[n - 1],
f @ n,
f[n + 1],
f[n + 2]
}
]
],
Background -> White, Dividers -> All
]

Посмотрим на примере, скажем, возьмем хорошо известную последовательность Фибоначчи:
fibonacciEq = f[n]==f[n - 1] + f[n - 2];
initialConditions = {f[1] -> 1, f[2] -> 1};
Ясно, что её стоит переписать в виде, как показано ниже, чтобы не появлялись конструкции типа после применения Z-преобразования.
fibonacciEq = f[n + 2]==f[n + 1] + f[n];
initialConditions = {f[0] -> 1, f[1] -> 1};
Осуществим Z-преобразование:
fibonacciEqZTransformed = ReplaceAll[fibonacciEq, pattern:f[__] :> ZTransform[pattern, n, z]]

Решим уравнение относительно образа функции f — ZTransform[f[n],n,z]:
fZTransformed = ReplaceAll[
ZTransform[f @ n, n, z],
Part[Solve[fibonacciEqZTransformed, ZTransform[f @ n, n, z]], 1]
]

Выполним обратное Z-преобразование, подставив одновременно начальные условия (заменим n на n-1 в финальном выражении, чтобы наша последовательность имела правильную индексацию (с первого, а не нулевого члена):
ReplaceAll[InverseZTransform[fZTransformed /. initialConditions, z, n],
n -> (n - 1)
]

Естестевенно это можно автоматизировать, создав свой аналог RSolve:
myRSolve[eq_, initials_, f_, n_] := Module[
{z, initialsInner, eqZTransformed, fZTransformed},
initialsInner = ReplaceAll[initials, f[x_] :> f[x - 1]];
eqZTransformed = ReplaceAll[eq, pattern:f[__] :> ZTransform[pattern, n, z]];
fZTransformed = ReplaceAll[ZTransform[f @ n, n, z],
Part[Solve[eqZTransformed, ZTransform[f @ n, n, z]], 1]
];
FullSimplify[
InverseZTransform[fZTransformed /. initialsInner, z, n] /. n -> (n - 1)
]
];
myRSolve[
{
f[n + 2]==(2 * f[n + 1]) + -(5 * f[n])
},
{f[1] -> 20, f[2] -> 0},
f, n
]

RSolve[
{
f[n + 2]==(2 * f[n + 1]) + -(5 * f[n]),
f[1]==20,
f[2]==0
},
f, n
]

Но, конечно, RSolve содержит намного больше возможностей для решения самых разных дискретных уравнений, на которых мы не будем останавливаться подробнее:
RSolve[a[n]==(n * a[n]) + n, a, n],
RSolve[
{
a[n + 1]==(2 * a[n]) + (3 * a[n]) + 4,
a[0]==0
},
a, n
],
RSolve[
y[n + 1 * 3]==(2 * y[n + 1 * 6]) + n * 2,
y, n
]



Производящие функции
Производящая функция последовательности это такая функция
, разложение которой в ряд Тейлора (или, более широко, Лорана) имеет вид —
. Другими словами, коэффициенты при степенях x в разложении функции в ряд задают нашу последовательность.
Скажем, функция является производящей функцией последовательности 1, 1, 1, 1, ...:
Series[1 / (1 + -x), {x, 0, 10}]

А функция является производящей функцией последовательности Фибоначчи 1, 1, 2, 3, 5, 8, 13, ...:
Series[(1 * 1) + (-x) + -(x * 2),
{x, 0, 10}
]

Ещё есть разновидность производящей функции — экспоненциальная производящая функция, которая для последовательности имеет вид —
.
Скажем, для последовательностей 1, 1, 1, 1… и 1, 1, 2, 3, 5, 8, 13,… экспоненциальные производящие функции таковы — и
:
ReplaceAll[Normal[Series[E ^ x, {x, 0, 10}]],
Power[x, n_] :> ((x ^ n) * Factorial[n])
]

ReplaceAll[
Normal[
FullSimplify[
Series[
Plus[E,
(-(2 * x * 1)) + 5 * ((E * 5 * x) - 1) * 5
],
{x, 0, 10}
]
]
],
Power[x, n_] :> ((x ^ n) * Factorial[n])
]

Производящую функцию в Wolfram Language можно найти двумя функциями — GeneratingFunction и FindGeneratingFunction (экспоненциальную с помощью ExponentialGeneratingFunction):
GeneratingFunction[-(m * Factorial[n]), {n, m}, {x, y}]

TraditionalForm[
FullSimplify[
ExponentialGeneratingFunction[-(n * Factorial[n - 1] * Factorial[2 * n]), n, x]
]
]

Есть много методов поиска общего члена последовательности с помощью производящих функций. Не будем подробно останавливаться на этом, скажем, только что неплохая теория есть на сайте genfunc.ru.
Один из методов похож на Z-преобразование:
generatingFEq = ReplaceAll[
f[n + 2]==f[n + 1] + f[n],
pattern:f[__] :> GeneratingFunction[pattern, n, z]
],
generatingF = ReplaceAll[
GeneratingFunction[f @ n, n, z],
Part[Solve[generatingFEq, GeneratingFunction[f @ n, n, z]], 1]
],
nthTerm = SeriesCoefficient[generatingF, {z, 0, n}],
FullSimplify[
ReplaceAll[ReplaceAll[nthTerm, {f[0] -> 1, f[1] -> 1}],
n -> (n - 1)
],
GreaterEqual[n, 1]
]




OEIS — Онлайн-энциклопедия целочисленных последовательностей и интеграция с Wolfram Language
В интернете доступна совершенно потрясающая коллекция числовых последовательностей — OEIS (On-Line Encyclopedia of Integer Sequences). Она была создана Нилом Слоуном во время его исследовательской деятельности в AT&T Labs. В OEIS хранится информация о целочисленных последовательностях, представляющих интерес как для любителей, так и для специалистов в математике, комбинаторике, теории чисел, теории игр, физике, химии, биологии, информатике. На данный момент там собрано 329085 последовательностей. Запись в OEIS включает в себя первые элементы последовательности, ключевые слова, математическое описание, фамилии авторов, ссылки на литературу; присутствует возможность построения графика или проигрывания музыкального представления последовательности. Поиск в базе данных может осуществляться по ключевым словам и по подпоследовательности.
Недавно появилась интеграция с этой базой внутри Wolfram Language (при использовании важно понимать, что это разработка пользователей — с недавного времени можно выгружать свой код в репозиторий Wolfram Function Repository). Достаточно просто указать номер интересующей вас последовательности или список номеров.
OEISSequenceData = ResourceFunction @ "OEISSequenceData";
OEISSequence = ResourceFunction @ "OEISSequence";
ResourceFunction[«OEISSequence»] — просто выдает первые члены последовательности:
Hold @ OEISSequence @ "A666"

ResourceFunction[«OEISSequenceData»] — выдает датасет с полной информацией из базы:
sequenceData[666] = OEISSequenceData[666, "Dataset"]

Скажем, можно «вытащить» код на языке Wolfram Language:
Hold @ Normal @ sequenceData[666]["CodeWolframLanguageStrings"]

Или набор случайно выбранных последовательностей с интересующей по ним информацией:
randomSequences = Dataset @ Map[
Normal,
OEISSequenceData[RandomInteger[{1, 300000}, 10], "Dataset"]
];
Function[
Framed[#, FrameStyle -> None, FrameMargins -> 5, Background -> White]
][
Grid[
Join[
{
Map[Style[#, Bold, 18]&,
{"Название", "Формулы", "Ссылки", "Первые члены", "График первых членов"}
]
},
Map[
Function[
Map[
Function[
TextCell[#, LineIndent -> 0, FontSize -> 12, FontFamily -> "Open Sans Light"]
],
{
Style[Part[#, 1], 16],
Row[Part[#, 4], "n"],
Row[Part[#, 3], "n"],
Style[Row[Part[#, 2], "; "], 10],
ListLinePlot[Part[#, 2], ImageSize -> Full]
}
]
],
Values @ Normal @ randomSequences[All, {"Name", "Sequence", "References", "Formulae"}]
]
],
Dividers -> {{None, {LightGray}, None}, {None, {LightGray}, None}},
ItemStyle -> Directive[FontSize -> 12, FontFamily -> "Open Sans Light"],
ItemSize -> {{15, 25, 10, 15, 15}, Automatic},
Alignment -> {Left, Center},
Background -> {None, {LightOrange, White}}
]
]

Поиск потенциально возможной формулы
Наконец, хотелось бы отметить функцию FindFormula, которая по заданному набору чисел строит формулу, которая их может описать. Примем зависимостей подобрать можно много и из разных классов функций.
data = Table[
{
x,
Sin[2 * x] + Cos[x] + RandomVariate[NormalDistribution[0, 0.2]]
},
{x, RandomReal[{-10, 10}, 1000]}
];
ListPlot[data, Background -> White, ImageSize -> 600]

formulas = FindFormula[data, x]

Как видно, Wolfram Language подобрал функцию, очень близкую к той, на основе которой были построены «зашумленные» данные, а именно — Sin[2x]+Cos[x]:
Plot[formulas,
{x, -10, 10},
PlotStyle -> AbsoluteThickness[3],
Prolog -> {AbsolutePointSize[5], Gray, Point @ data},
Background -> White, ImageSize -> 800, PlotLegends -> "Expressions"
]

Можно построить и большее количество зависимостей, скажем, 10:
formulas = FindFormula[data, x, 10]

Plot[formulas,
{x, -10, 10},
PlotStyle -> AbsoluteThickness[3],
Prolog -> {AbsolutePointSize[5], LightGray, Point @ data},
Background -> White, ImageSize -> 800, PlotLegends -> "Expressions"
]

Стоит отметить, что есть функция, аналогичная по функционалу, которая ищет вероятностное распределение — FindDistribution.
Для сотрудничества — пишите личное сообщение на Хабре или в мою группу ВКонтакте.
Канал YouTube — вебинары и обучающие ролики.
Регистрация на новые курсы. Готовый онлайн курс.
Автор: OsipovRoman
