Статья служит шпаргалкой для тех, кто хочет сделать свой обратный маятник. Здесь описаны проблемы, из-за которых я все переделывал несколько раз, приведен краткий обзор теории, необходимый для понимания, как стабилизировать систему.
Зачем мне это было нужно?
Коротко: хотел расширить свой ЧПУ станок, но что-то пошло не так…
Неудачные попытки
Проект занял почти два года проб и ошибок, перепроектирования, ожидания деталей и неполно прожитых выходных, чтобы желающие повторить сэкономили себе время и нервы, считаю нужным рассказать о неудачных решениях.
- гироскоп (MPU6050) вместо энкодера — принципиально ничего против, но датчик должен располагаться на вращающемся стержне, это вносит непредсказуемое воздействие и невозможность прокрутить стержень несколько раз вокруг оси.
- абсолютный энкодер — если это потенциометр, то шум в измерения вносит даже движение проводов (в основном из-за контактов в arduino), 10-ти битный АЦП — это все же мало; если это более дорогой датчик, то считывание происходит по последовательному интерфейсу, а это вносит задержку в систему особенно в совокупности с шаговым мотором.
- нежесткость системы — в какой-то момент я брал алюминиевую трубку с грузом на конце, при колебаниях каретки, в ней самой начинались сильные колебания, и тут же было непонятно какую систему мы стабилизуем. Надо стремиться к тому, чтобы физическая система была максимально приближена тому, что смоделировано.
- трение — этим явлением часто пренебрегают, я старался уменьшить его, используя большие колеса каретки и V-slot профили, в отличие от рельсов с ползунками с маленькими шариками, т.к. трение качения обратно пропорционально радиусу.
- использование шагового двигателя — много времени потратил, пытаясь пойти этим путем, вводит в заблуждение упрощение формул (фактически мы сразу управляем ускорением основания маятника) и простота конструкции (можно забыть про трение в рельсе, энкодер мотора, если предположить, что шаги мотор не пропускает), но… Чтобы точно управлять скоростью, время между шагами должно исчисляться десятками микросекунд, значит о выводе состояния в консоль можно забыть. Без обратной связи нельзя быть уверенным, что мотор не пропустил шаги и скорость действительно такая, как система думает. Не утверждаю, что это тупиковое решение, если кому-то удастся стабилизировать маятник шаговым мотором, буду рад на это взглянуть.
Свободный маятник
Для полноты картины, смоделируем маятник на свободной каретке без трения.

Уравнения движения можно получить дифференцированием лагранжиана по обобщенным координатам. Получим следующие уравнения:
из которых можно найти, как меняется вектор состояния:
и смоделировать систему. Код здесь.
Почему система неустойчива?
Здравый смысл и визуализация нам подсказывают, что маятник сам по себе стоять не будет. Но как в этом убедиться математически?
В общем виде линеаризованная система и решение выглядят следующим образом:
Экспонента в степени матрицы выглядит понятней, если перейти в систему координат из собственных векторов, тогда матрица будет диагональной(
), и экспонента будет иметь вид:
Теперь видно, при наличии собственных значений () с положительной действительной частью, соответствующая компонента вектора состояния будет стремиться в бесконечность, и система развалится. Вышесказанное касается непрерывных систем, более подробно про устойчивость рассказывается в этой видео-лекции.
Проверим так ли это, для обратного маятника. Линеаризуем нашу систему около положения равновесия при :
Ненулевые собственные значения имеют вид , таким образом мы убедились в неустойчивости.
Добавляем обратную связь
Теперь на каретку будет действовать сила , одно из уравнений перепишется в виде:
, и линеаризованная система примет вид:
Теперь система () стала управляемой, в этом можно убедиться, проверив, что ранг матрицы
равен размерности вектора состояния, т.е. 4. Для удержания маятника в вертикальном положении я использовал линейно-квадратичный регулятор состояния, т.е. управление (u или f) есть произведение вектора состояния
на вектор параметров, которые находятся один раз минимизацией квадратичного функционала. Код симуляции здесь.

Управление двигателем
Теперь нужно управлять мотором постоянного тока, он содержит много параметров, которых я не знаю, поэтому я принял его за «черный ящик», описываемый следующими уравнениями с учетом трения:
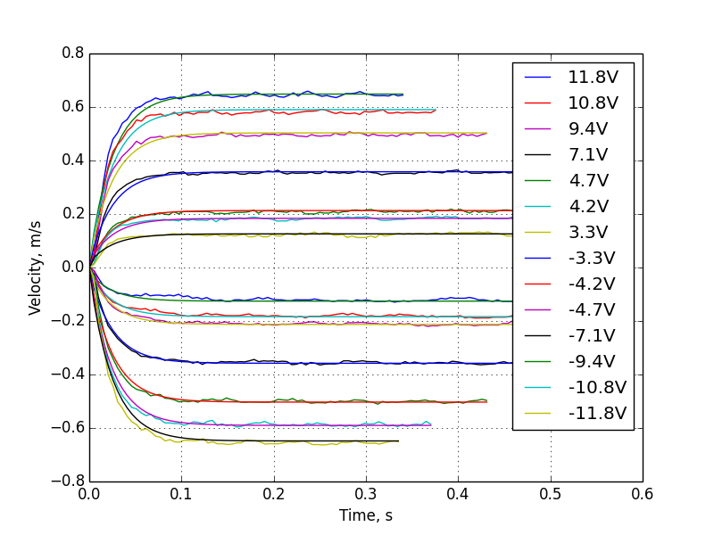
Про вывод уравнений и оценку параметров можно прочитать здесь. Ниже приведу мои графики разгона мотора с кареткой в зависимости от напряжения (в реальности на выходе контроллера ШИМ-сигнал) и подогнанные кривые.

Коэффициенты модели я также нашел перебором, код.
Таким образом, регулятор дает нам требуемое ускорение, а из 2-го уравнения, зная все константы, найдем напряжение.
Собираем реальное устройство
Теперь у нас есть все знания, чтобы собрать и стабилизировать маятник. Я использовал следующее железо:
- Arduino Mega 2560 — не UNO, потому что для двух энкодеров нужно 4 пина для прерываний
- Энкодер для маятника — OMRON E6B2-CWZ6C 2500 пульсов на оборот — дает нам угол, вычисляем угловую скорость, разрешение достаточно высокое, поэтому хватило конечных разностей без сглаживания и усреднения
- Энкодер для мотора — LPD3806-600BM-G5-24C 600 пульсов на оборот — дает положение каретки, вычисляем скорость
- DC-мотор на 12V с редуктором 5:1
- Драйвер мотора 10Amp 5V-30V
Таким образом мы явно измеряем угол маятника, положение каретки, вычисляем угловую скорость маятника и скорость каретки — получаем полное состояние, параметры регулятора я нашел этим скриптом. К удивлению все достаточно быстро заработало как есть. Результатом я доволен, стоит и даже стакан держит!
Код для Arduino находится здесь
Что удалось усовершенствовать по сравнению с многими вариантами, которые можно найти на youtube — этот маятник тихий, потому что ШИМ настроен вне слухового диапазона, и используются пластиковые колеса.
Теперь эта задача выглядит, как лабораторная работа: измерить параметры мотора и найти коэффициенты регулятора, попутно разбираясь в происходящем.
Что дальше?
Планирую продуктизовать маятник: сделать раскачивание, избавиться от мотка проводов, сделать shield у удобными разъемами, чтобы не стыдно было подарить в какую-нибудь школу или музей. Если кто-то желает присоединиться, буду рад, есть еще много амбициозных идей.
Ссылки
- Подробное описание задачи об обратном маятнике
- Разжёвываем линейно-квадратичный регулятор для управления перевёрнутым маятником — эта статья сэкономила мне много времени при постройке моего маятника
- Отличные видео-лекции по ТАУ
Спасибо за внимание!
Автор: zjor
