Говорят, что Вселенная расширяется. Это должно решить проблему с пробками.
Стивен Райт.
Читатель спрашивает:
Я читал вашу запись по поводу космической инфляции, и у меня появился вопрос – об отношениях между длинами волн света и расширением космоса. Можно привести аналогию с шариком или с резинкой, на которой нарисована волна. Волна растягивается вместе с резинкой. Но обязательно ли это? Разве свет не может распространяться, не меняя свои частоту и длину волны, в то время как пространство вокруг него расширяется, или сжимается, или что там ещё?
Очень большой вопрос, поэтому давайте начнём сначала, чтобы у нас был контекст.

Не секрет, что видимая часть Вселенной берёт начало в Большом взрыве: наборе изначальных условий, при которых она была горячее, плотнее, компактнее, после чего начала быстро расширяться. Вселенная расширяется и по сей день, и всё, что не связано гравитацией, продолжает неограниченно расширяться.
В принципе можно представить себе, что мы нарисуем сферу вокруг заданного объёма Вселенной, охватывающую всю массу-энергию внутри себя. И если мы затем повернём время вспять, то окажется, что то же самое количество частиц будет заключено в сфере меньшего размера.

Только не нужно забывать, что это не такое пространство, которое представляли себе наши прапрадедушки — где координаты фиксированы, расстояния между точками чётко определены и наблюдатели из разных точек полностью согласны друг с другом относительно того, что, где и когда происходит. Это Вселенная, работающая по законам Общей теории относительности, где пространство и время зависят от энергии, импульса и расположения наблюдателя.
Если бы мы были одиночным, очень долго живущим наблюдателем во Вселенной, и мы бы смотрели на расположение галактик – как миллиарды лет назад, так и сейчас, то что бы мы увидели?

Мы бы увидели, что взаимное расположение галактик меняется так же, как расположение зёрнышек в тесте, растущем на дрожжах. Сами зёрнышки не увеличиваются – они связаны гравитацией. Вокруг них расширяется Вселенная, в результате чего расстояния между ними увеличиваются. Но планеты, звёзды, галактики и даже группы и кластеры не расширяются вместе со Вселенной. Они отдаляются от других структур, с которыми они не связаны.
Иными словами, если ваша талия расширяется, это не вина Вселенной!

Почему так происходит?
Виной всему свойства пространства-времени. Эволюция Вселенной, или способ, которым пространство сжимается или расширяется с точки зрения наблюдателя, регулируется количеством энергии и материи во Вселенной. Это ключевое свойство, описываемое ОТО: материя и энергия, присутствующие во Вселенной, определяют эволюцию пространства-времени.

Так что там со светом? Действительно, можно представить себе поверхность надуваемого шара, на которой нарисованы линии. Поскольку энергия фотонов определяется длиной их волны, звучит разумно, что с расширением Вселенной длина волны увеличивается, и происходит красное смещение.

Но почему это происходит, и не влияют ли на это другие эффекты? Может, Вселенная и расширяется, но вдруг красное смещение вызвано не этой причиной.
В частности, существует эффект Доплера, из-за которого полицейская сирена звучит выше, если машина едет в вашу сторону, и ниже, если она едет от вас.

Как звуковые волны сжимаются по направлению движения и растягиваются в противоположном, так ведёт себя и свет. Если источник света движется от вас, свет претерпевает красное смещение, а если по направлению к вам – то синее.
Но согласно ОТО, на энергию фотонов должна влиять и гравитация. Пространство-время и материя с энергией тесно связаны. Представьте, как вокруг планеты Земля пространство искривляется из-за присутствия массы.

Когда мы отправляем сигналы с орбиты Земли на поверхность, и обратно (GPS), нам надо учитывать релятивистские эффекты не только для движения (СТО), но и для гравитационного поля Земли (ОТО).
Представьте, что у нас есть пара из электрона и позитрона, висящая высоко над Землёй. При их аннигиляции высвободится энергия в виде двух фотонов с определённой энергией – энергией, эквивалентной массе покоя частиц.

Что будет, если эти фотоны полетят к Земле? Будут ли они иметь ту же самую энергию на её поверхности, какая была у них в космосе?
Нет, ибо это нарушило бы закон сохранения энергии. Если бы мы уронили наши частицы, они падали бы вниз и набирали кинетическую энергию, двигаясь всё быстрее. А перед падением на Землю они бы встретились и аннигилировали.

Неважно, аннигилируют частицы сразу же, или сначала упадут – по закону сохранения, у энергии фотонов тоже должен случиться гравитационный сдвиг в связи с изменениями гравитационных свойств пространства.
Я объясняю это, чтобы вы осознали, что красное смещение может произойти по двум причинам. Возьмём галактики, которые находятся как около нас, так и очень далеко.

Случается ли красное смещение из-за растяжения пространства (гравитационная причина), или он случается из-за того, что галактики удаляются от нас?
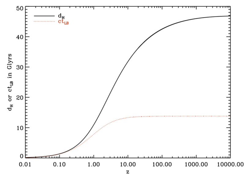
Оказывается, верно последнее утверждение. Поскольку существует ограничение на максимальную скорость,- скорость света,- то галактики, находящиеся на большом расстоянии от нас, вроде бы должны иметь не такое отношение красного смещения к расстоянию до них, как это предсказывает ОТО. На графике предсказание ОТО показано чёрным, а предсказание, не соотносящее красное смещение с пространством-временем (а всего лишь перемножение скорости света на прошедшее время) показано красным.

Это важная космологическая проверка: если длина волны света не растягивается вместе с расширением Вселенной, то нельзя объяснить космическое микроволновое фоновое излучение, и вся теория Большого взрыва перестаёт работать.
К счастью, ОТО прекрасно проходит эту проверку, и длины волн вместе с частотами изменяются с расширением Вселенной. Это было измерено различными способами, включая температуру различных эпох истории Вселенной.

Именно поэтому, во Вселенной, подчиняющейся законам ОТО (а наша Вселенная — именно такая), свет испытывает красное смещение при расширении Вселенной, или, иными словами, при изменении гравитационных свойств пространства.
Автор: SLY_G
