Постараюсь очень кратко и просто изложить метод ручного расчета освещения в помещениях, которому меня научили на курсе «Расчет освещения» школы светодизайна LiDS.

Какой должна быть освещенность
При планировании освещения, в первую очередь нужно определить соответствующую нормам целевую освещенность и посчитать общий световой поток, который должны давать светильники в помещении.
С нормативами определиться просто – либо ищем свой тип помещения в таблицах СанПиН 2.21/2.1.1/1278-03 «Гигиенические требования к естественному, искусственному и совмещенному освещению жилых и общественных зданий» и СП 52.13330.2011 «Естественное и искусственное освещение», либо соглашаемся с основным требованием по освещенности жилых помещений – 150лк или офисных помещений с компьютерами – 400лк.
Грубая оценка необходимого светового потока
По умолчанию расчет освещенности делается в программе Dialux. Но результат хотя бы приблизительно нужно знать заранее, чтобы сверить данные с оценкой «на глазок».
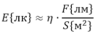
Как написано даже в Википедии, средняя освещенность поверхности — это отношение падающего на нее светового потока к площади. Но в реальном помещении часть светового потока светильника рабочих плоскостей не достигает, пропадая на стенах. Освещенность в помещении – это отношение общего светового потока светильников к площади помещения с поправочным коэффициентом «η».
Долю света «η», который доходит до рабочих поверхностей, можно оценить на глазок. В самом общем приближении для некоего очень среднего помещения с какими-то там светильниками до рабочих поверхностей доходит примерно половина света, а значит для очень грубой оценки можно использовать коэффициент η = 0,5.
Например, в комнате площадью 20м2 светильник со световым потоком 700лм (эквивалент лампы накаливания 60Вт) создаст освещенность Е = 0,5 × 700лм / 20м2 = 18лк. А это значит, что для достижения норматива в 150лк, нужно F = 700лм × (150лк / 18лк) =5800лм, или эквивалент 8-ми лампочек накаливания по 60Вт!
(Полкиловатта ламп накаливания на небольшую комнату! Понятно, почему нормы освещенности для жилых помещений гораздо ниже, чем для учреждений, и почему учреждения уже давно никто лампами накаливания не освещает.)
Более точный метод ручного расчета
Но так как помещения бывают с разными стенами, разной формы, с высокими или низкими потолками, поправочный коэффициент не обязательно равен 0,5 и для каждого случая свой: на практике, от 0,1 до 0,9. При том, что разница между η = 0,3 и η = 0,6 уже означает разбег результатов в два раза.
Точное значение η нужно брать из таблиц коэффициента использования светового потока, разработанных еще в СССР. В полном виде с пояснениями таблицы привожу в отдельном документе. Здесь же воспользуемся выдержкой из таблиц для самого популярного случая. Для стандартного светлого помещения с коэффициентами отражения потолка стен и пола в 70%, 50%, 30%. И для смонтированных на потолок светильников, которые светят под себя и немного вбок (то есть имеют стандартную, так называемую, «косинусную» кривую силы света).

Табл. 1 Коэффициенты использования светового потока для потолочных светильников с косинусной диаграммой в комнате с коэффициентами отражения потолка, стен и пола – 70%, 50% и 30% соответственно.
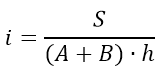
В левой колонке таблицы указан индекс помещения, который считается по формуле:

, где S — площадь помещения в м2, A и B — длина и ширина помещения, h — расстояние между светильником и горизонтальной поверхностью, на которой рассчитываем освещенность.
Если нас интересует средняя освещенность рабочих поверхностей (стола) в комнате площадью 20м2 со стенами 4м и 5м, и высоте подвеса светильника над столами 2м, индекс помещения будет равен i = 20м2 / ( ( 4м + 5м ) × 2,0м ) = 1,1. Удостоверившись, что помещение и лампы соответствуют указанным в подписи к таблице, получаем коэффициент использования светового потока – 46%. Множитель η = 0,46 очень близок к предположенному навскидку η = 0,5. Средняя освещенность рабочих поверхностей при общем световом потоке 700лм составит 16лк, а для достижения целевых 150лк, потребуется F = 700лм × ( 150лк / 16лк ) = 6500лм.
Но если бы потолки в комнате были выше на полметра, а комната была не «светлым», а «стандартным» помещением с коэффициентами отражения потолка, стен и пола 50%, 30% и 10%, коэффициент использования светового потока η составил бы (см. расширенную версию таблицы) η = 0,23, и освещенность была бы ровно вдвое меньше!
Проверяем расчеты в диалюксе
Построим в диалюксе комнату 4 × 5м, высотой 2,8м, с высотой рабочих поверхностей 0,8м и теми же коэффициентами отражения, что и при ручном счете. И повесим 9шт мелких светильников с классической косинусной диаграммой по 720лм каждый (6480лм на круг).

Рис. 1 Взятый для примера светильник Philips BWG201 со световым потоком 720лм, и его классическое «косинусное» светораспределение
Получится ли у нас такая же средняя освещенность в 150лк, как мы оценили вручную? Да, результат расчета в Dialux – 149лк (см. рис2). А в светотехнике значения, различающиеся менее чем на 10% считаются совпадающими.

Рис. 2 Результат расчета в диалюксе – средняя освещенность рабочей поверхности (при коэффициенте запаса 1,0) составила 149лк, что соответствует целевому значению 150лк.

Рис. 3 Красивые картинки, в которые верят люди.
Заключение:
На грубую оценку примитивным методом по формуле E = 0.5 × F / S потребуется 1 минута времени, на уточнение коэффициента использования по таблицам – еще 3 минуты, на проект в диалюксе после некоторого обучения – около 20 минут и еще 20 минут, если хочется «навести красоту». Диалюкс выдает очень красивые картинки (см. рис. 3), которые стоят потраченного труда, потому что в них верят люди. Но по соотношению эффективности и трудозатрат оценка освещенности врукопашную вне конкуренции. Ручной счет прост, надежен и эффективен как саперная лопатка, дает уверенность и понимание.
Статья написана слушателем школы светодизайна LiDS и визирована у руководителя школы Сергея Сизого.
Автор: iva2000
