Это последняя статья на эту тему. Все предыдущие с таким заголовком были тренировочными перед этой, с разным результатом разумеется. И мне и вам тема как бы интересна, но прямо скажем - не будем на этом зацикливаться.
Спойлеры, что вас ждет в финале:
-
Визуализация действия операторов Паули на векторы в динамике.
-
Концепция объединения линейной алгебры и ТФКП.
-
Простое определение геометрического произведения.
-
Взаимодействие ковекторов и векторов: градиент и оператор Лапласа.
-
Обобщение формулы Муавра на матрицы 2х2
-
Очень много данных по алгебрам Клиффорда и проективной геометрии в ссылках от моего товарища в конце статьи.
Поехали.
Визуализация действия операторов Паули на произвольный вектор и его прямые.
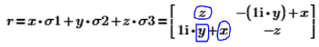
Это матрицы операторов Паули, по совместительству элементы алгебры Клиффорда, и по совместительству орты системы координат. Той самой плоской декартовой r=xe1+0e2+z*e3.
Так они действуют на обычный вектор-столбец. И соответствуют в комплексных числах этому. (Разметил текст цветами уравнения и вектора на картинке, чтобы проще было ориентироваться, что чему соответствует.) Будем писать, например, ось (1,1), подразумевая, что эта ось задана вектором с координатами (1,1).

Тождественное преобразование, σ0 соответствует вещественной единице.
Поворот на пи/2 против часовой стрелки, σ13 соответствует мнимой единице.
Отражение относительно оси (1,1), формально* соответствует дробно-линейному преобразованию σ1=(z+1i*x)/(x+1i*z)
Отражение относительно оси (1,0), формально* соответствует дробно-линейному преобразованию σ3=(x-1i*z)/(x+1i*z)
*С последними двумя не все так просто. Из-за отсутствия некоммутативности, в этом подходе придется расматривать бесконечно удаленную точку.
Аналогично работает, когда вектор задан в виде матриц Паули, только правила умножения для преобразований, в такие же векторы, похитрее, поэтому нужно привыкнуть, чтобы пользоваться.
Горизонтальная ось σ1. Вертикальная ось σ3. Отражение относительно оси (1,1) это умножение слева на 1*σ1, а справа на 1*σ3. Со вторым отраженеием, устроено посложнее, оставлю рассмотрение за скобками, в ссылке в конце статьи об этом очень подробно.
Можно видеть, что в такой формулировке почти без разницы с чем работать: с обычными векторами или комплексными числами, или векторами в виде матриц.
Умножая на какой то из операторов, нужно держать в голове картинку, как меняется вектор при умножении. Это удобно запомнить пользуясь такой шпаргалкой из обычной линейной алгебры и глядя на видео с векторами и ортогональными им прямыми, которые эти векторы образуют. А еще лучше самим по-умножать и по-рисовать.
Под катом шпаргалка и скрины, как задана вся эта анимация
Нормированные векторы:
фиолетовый-σ0rv/|rv|, оранжевый-σ13*rv/|rv|, красный - σ1*rv/|rv|, зеленый - σ3*rv/|rv|. Прямые соответствуют своим ортогональным векторам по цвету.
Дополнительные векторы и прямые создавал, чтобы моделировать умножение двух произвольных векторов, α и β произвольные числа в этом случае. Оставил, вдруг кому понадобится.


Про принцип как соединить векторную алгебру и ТФКП.
Чему соответствует умножение векторов a*b, при том, что один из них равен такой матрице-орту?
Подробнее см. у Гордеева, в папке на Яндекс-диске, по ссылке ниже. Но мне лично видится, что все проще и решается на плоскости. Об этом предположении дальнейшее.
Градиент (оператор дифференцирования) и вектор вещественных координат, на плоскости, в записи через матрицы Паули.
Первым при умножении ставится оператор и он всегда транспонированный, даже если это не указывается. Вот бы жирным текстом это во всех учебниках писали..
Пример из обычной линейной алгебры, строка (транспонированный столбец) умножается на другой столбец, строка является оператором по отношению к столбцу.
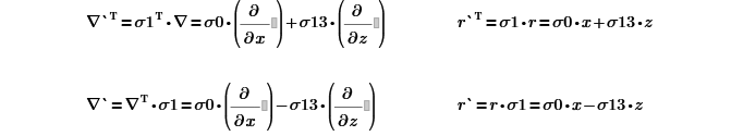
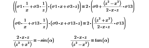
Повернем на пи/2 против часовой стрелки.
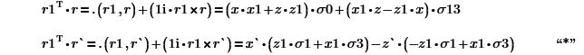
Выполним половину операции отражения σ1*r*σ1, векторов которые выше, относительно, оси (1,1). То есть выполним (σ1*r) и (r*σ1) . Будем называть, что это видом соответствующим комплексным числам (далее КЧ), а в 3D это соответствует кватернионам. КЧ и его сопряженное:
То есть инструмент, кратко описываемый здесь, позволяет соединить возможности линейной алгебры и ТФКП. Например в алгебрах Клиффорда, есть деление на вектор, умножать можно с любой стороны и при этом в одном выражении сохраняется вся информация в отличии и от тех же операций с вектор-столбцами.В конце статьи, и в P.P.S., все еще интереснее.
Что еще интересно, обычные векторы и векторы в форме КЧ, если их наложить на одну и ту же плоскость, почти нигде не совпадают на множестве всех векторов, что можно проверить, попробовав решить это уравнение в вещественных числах:

Или можно просто посмотреть видео выше и поработать с формулами для анимации. Про это было в предыдущей статье, но она большинству не понравилась по причинам описанным в конце статьи.
Итого, чтобы перевести вектор в вид КЧ, его нужно умножить с любой стороны на единичный элемент σ1 или σ3 (орт), а чтобы вернуть обратно нужно с той же стороны умножить на то же самое. Это получается так как:
В КЧ возникает понятие сопряженного. У обычных векторов такого нет, так как транспонированный вектор равен ему самому:

Простое определение для геометрического произведения.
Геометрическое произведение - это способ спроецировать вектор одновременно и на другой вектор и и на нормаль этого другого вектора, т.е. разложить по направлениям этого другого вектора без потери информации. Ну и так значительно короче писать.
Первым ставится оператор, то есть тот вектор, на который выполняется проецирование.

Можно видеть, что результат произведения обысных вектора на вектор, это вектор в виде КЧ, а также, что это сумма того, что принято называть скалярным и "векторным" произведением.
"*" Ну и интересное наблюдение, что проецирование (вектора в виде КЧ) на (обычный вектор), дает (обычный вектор). Правда специфического устройства, состоит он из:
1. скалярного произведения, в виде вектора r1.
2. внешнего произведения, в виде нормали к вектору r1
То есть эта операция автоматически масштабирует вектор-оператор и его нормаль по направлениям вектора-объекта. И это удобно как дополнительный инструмент.
Если верно, что и векторы и комплексные числа это элементы одной плоскости, например, операцию σ1*r*σ1, можно рассматривать как, сначала проекцию σ1 на вектор r, а потом проекцию полученного вектора на σ1.

Когда вектор умножается сам на себя, геометрическое произведение дает квадрат длины.
Скалярное произведение называется еще внутренним, и определяет проекцию вектора r на направление r1. Это полусума геометрических произведений r1*r и r*r1.
"Векторное" произведение на самом деле является внешним с одной поправкой (уже много кто из именитых авторов поругался на создателя векторного произведения, не буду их повторять), оно определяет проекцию r на нормаль к r1, образованную умножением на σ13. Это полуразность геометрических произведений r1*r и r*r1.

Когда векторы со-направлены, внешнее произведение равно нулю, вектор r масштабируется вектором r1. Когда векторы ортогональны, нулю равно скалярное произведение, вектор масштабируется вектором rn1. Как обычное число.
Отношения между вектором и ко-вектором.
Про взаимоотношения градиентов и векторов координат в двух видах? Вот:
То есть обычный градиент со-направлен с обычным вектором координат, а градиент в виде КЧ со-направлен вектору координат в виде КЧ.
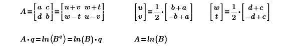
Что тогда будет при умножении вектора координат и вектора аналогичного градиенту, но без производных в составе? Это очень тесно связано с квадратичными формами и тензорным произведением векторов, построенными на разложении uvwt (смотри под катом ниже). Подробно не пишу, так как там букв еще на одну статью.
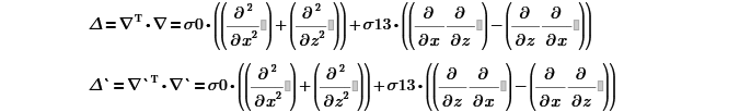
Оператор Лапласа в базисе матриц Паули.
Оператор Лапласа в форме обычных векторов и в форме КЧ.

Если функция гладкая, смешанные производные равны нулю, и тогда мы получаем привычный оператор Лапласа. Подробно для разной физики см. у Дэвида Хестенеса. Он много десятилетий развивает геометрическую алгебру.
Комбинировать все это можно продолжать, но ставил себе цели расписать тут все до мелочей. Кто захочет, сам с этим все, что нужно создаст. Моя цель была разобраться с этой алгеброй, и поделиться со всеми, кто интересуется. В том числе новинками типа uvwt. Разобрался, поделился.
Подробнее смотрите ниже ссылки на гору информации.
Обобщение формулы Муавра для матриц 2х2.
Бонусом обобщение формулы Муавра для степеней комплексных чисел, на матрицы 2x2 + экспонента матрицы и её логарифм, последний от любой матрицы 2х2. В тему разложения uvwt. Недавно вывел с помощью символьных вычислений...

В том виде в которм вывел, в том и написал, без сокращений. Можно видеть, что если подставить v=w=0, и rq принять мнимым, с учетом свойств sinh и сosh, ровно формула Муавра и получается. А значит мы теперь можем попробовать связать повороты в обычном пространстве, с преобразованиями Лоренца в пространстве Минковского.
Подробнее под катом, в том числе напомню uvwt разложение.

Если rq вещественный, то получаем смесь числа, вектора и векторной части двумерного кватерниона, всего четыре компонента.
Если rq мнимый, в силу того что σ13 соответствует мнимой единице, получаем смесь числа и векторной части двумерного кватерниона, всего три компонента.
И то и другое, с изложенным в статье, не сложно интерпретировать. Но что делать с этим?
Если rq=0, то предел от sinh(rq*q)/rq = q.

И это матричное представление оказывается определено всюду. И обратите внимание на связь с важными функциями кардинальный синус и интегральный синус
Фишка в том, что такое представление не требует ветвей многозначных комплексных функций. И так же интересно, что rq оказывается аналогом аргумента комплексных числел, и он задан он как корень из суммы двух квадратов коэффициентов отражений, минус квадрат коэффициента поворота. Вспомним, что поворот состоит из двух отражений.
P.S.
Почему все это давать не через абстрактные определения, а именно через матрицы Паули? Например, потому, что предыдущую статью я написал, чтобы, и поделиться всего лишь, не сложной, свеже-придуманной формулой разложения любой матрицы 2х2 в базис матриц Паули (uvwt), и протестировать кейс, как воспринимается материал в виде сухих формул, с умными словами и без особых пояснений. В целом результат отрицательный.
Поможет ли абстрактный математический формализм? С моей точки зрения навредит, если вы пишете не для профильных специалистов... 90% людей ничего не понимают абстрактно, даже если хотят понять. Думаю результат прошлой статьи остался бы тем же, даже если бы я удвоил ее объем, расписав все определения, тотально, и привел все к формализму учебников. Уверен, если цель передать знания, а не позаниматься самолюбованием, то объяснять надо на плоскости и через эти матрицы, а только потом переходить к абстракциям и многомерности. Проще способа я не знаю. Кто захочет помочь переписать эту статью еще проще, приглашаю.
Первое условие, которое надлежит выполнять в математике, это быть точным, второе быть ясным и, насколько можно, простым. (Л. Карно)
И последние два нарушены почти во всех учебниках и статьях.
Мой список литературы по данной теме в первой статье. Отдельно, особенно рекомендую КазанОву. Очень просто написано, в сравнении с научными статьями и другими учебниками.
Визуальные картинки по построениям фигур в этом базисе во второй статье.
P.P.S.
Здесь сылки на много данных по проективной геометрии и алгебрам Клиффорда.
Хотел сначала тут написать про задание прямых в этом формализме, и даже написал, но потом подумал, что мой товарищ Игорь пишет, абстрактнее, чем у меня получалось, но сильно круче. Для тех, кто реально хочет разобраться, с подсказками в этой статье. В общем решил не увеличивать объем для вашего чтения.
Вот тут, подробнее про удобство такого координирования через прямые, построенные через две точки, и точки, образованные пересечением этих прямых. Рекомендую, там целый цикл статей по алгебрам Клиффорда и проективной геометрии: О смысле алгебры и геометрии.
На эту тему они с Саватеевым (для тех, кто знает эту фамилию) запланировали видео.
А еще Игорь дал ссылку на всю его подборку Алгебры Клиффорда книги и ссылки. В корне папки по ссылке, оригинальный учебник самого Клиффорда.
Вопросы можете задать ему на его сайте по вычислительной математике.
Автор: Exlt8

