
Если вы являетесь участником сообщества ретро-геймеров или любителей ретро-компьютеров, то у вас наверняка есть винтажные устройства, которые под гнетом лет поблекли и начали желтеть. Вы также могли слышать о методике Retr0bright или даже смотреть различные видео от 8-bit Guy, посвященные этой теме. Но самая суть все равно остается для большинства людей скрыта. Почему пластик желтеет, и что именно происходит в процессе Retr0bright? Да и вообще, безопасно ли использование этой техники для коллекционных экземпляров?
Примечание переводчика: возможность отбеливания пожелтевших изделий из пластика раствором перекиси водорода была случайным образом открыта в германском музее CBM в 2008 году. Впоследствии на основе этого открытия британскими учеными-химиками был разработан более эффективный состав для отбеливания, оригинальный рецепт которого приводится в конце статьи вместе со ссылкой на источник и дополнительную информацию.
Я проконсультировался с профессором Джеймсом Э. Пиккетом, химиком, работающим в области деструкции полимеров, который предоставил мне схемы химических реакций. Чтобы понять процесс Retr0bright сначала нужно уяснить, как именно разрушается пластик, и почему он желтеет. Если химическая подоплека вас не интересует, то можете сразу перелистать к выводам в заключительной части.
Часть I. Злостный бутадиен
Чаще всего в производстве старых компьютеров применяли пластик АБС, который известен своей склонностью к пожелтению с течением буквально нескольких лет. Большинство видов пластика, включая и АБС, разрушаются под воздействием тепла и света в присутствии кислорода. Этот эффект называется термоокисление и фотоокисление соответственно. В связи с этим рекомендуется хранить пластиковые изделия в прохладном темном месте. Но и это не является спасением, и позже я поясню почему.
АБС-пластик состоит из трех основных компонентов: акрилонитрил, бутадиен и стирол (см. рис. 1). Нас же интересуют именно бутадиен и стирол, поскольку акрилонитрил не принимает активного участия в пожелтении или процессе Retr0bright.

Рис. 1. Базовая структура АБС. Шестиугольник – это молекула бензола. Источник: [1]
В присутствии тепла или высокоэнергетического света молекулы кислорода воздействуют на АБС-пластик. Этот процесс показан на рис. 2 ниже.

Рис.2 Окисление молекулы бутадиена. Волнистыми линиями обозначена остальная часть цепочки
От атомов углерода, находящихся рядом с двойными связями, водород отделяется проще, поэтому кислород проникает именно здесь [8]. В результате образуется неустойчивое химическое соединение гидропероксид (также показан на рис. 2). Один из атомов кислорода в молекуле гидропероксида решает, что ему тут слишком тесно, и выталкивает соседние атомы кислорода и водорода (рис. 3).

Рис.3
Освобожденная группа -OH зовется радикалом. На данный момент он ни к чему не привязан и находится в свободном полете – вольный радикал. Далее для обретения пристанища он выступает как паразит в стирольной группе [5,7]. Этот длительный злостный процесс внедрения в бедную молекулу стирола происходит за несколько этапов, которые показаны на рис. 4.

Рис.4
После внедрения радикала стирольная группа расщепляется, формируя невзрачное соединение желтого цвета, называемое 2-гидроксимуконовой кислотой или просто — муконовой кислотой. Желтый цвет образуется вследствие так называемого сопряжения связей. Сопряженная система – это любой материал с чередующимся множеством простых и двойных связей (рис. 5).

Рис. 5. Пример сопряжения. Сопряженные связи выделены красным. Источник: [3]
На рис. 4 мы видим, что в муконовой кислоте множество двойных связей чередуются с простыми. Без сопряжения химический компонент недостаточно хорошо поглощает видимый свет и для нас выглядит белым, поскольку отражаются все цвета. Если же присутствует сопряжение, то химический компонент поглощает несколько цветов видимого спектра. В рассматриваемом нами случае муконовая кислота поглощает синий и фиолетовый свет, отражая желтый и красный спектр, который и представляет нашему взору этот невзрачный оттенок желтизны. Но на этом еще не все!
Часть II. Трансформеры
Молекулы муконовой кислоты подобны коварным изменяющим форму десептиконам. Они могут существовать во многих обличиях, но для данного процесса наиболее важными являются два из них: форма цис, цис- и форма транс, транс- (рис. 5).


Рис. 6. Две формы муконовой кислоты: цис, цис- слева и транс, транс- справа
Как вы можете помнить из учебной программы по биологии, цис- и транс- формы являются изомерами друг друга. Это означает, что они имеют одинаковую химическую формулу, но разные структуры. В определенных условиях изомеры муконовой кислоты могут переходить из одной формы в другую. Это очень важно, поскольку формы транс- более термически устойчивы и в процессе пожелтения участвуют активнее [4,7].
Склонность муконовой кислоты к изменению формы заставляет пластик постепенно желтеть, даже находясь в темных местах. К примеру, пластиковый ящик под кроватью или контейнер в шкафу. Чтобы обратить этот процесс пожелтения можно просто на несколько часов поставить такой контейнер на солнечный подоконник. При этом желательно оградить его от прямых лучей стеклом, чтобы исключить УФ-воздействие, которое вызовет дополнительное повреждение структуры. Суть этого метода в том, что солнечный свет способствует активному преобразованию транс-формы обратно в цис-форму [6, 10].
Часть III. История Nintendo?
В сообществе фанатов ретро-компьютеров поднимался вопрос, вызывают ли пожелтение огнезащитные составы, в частности BFR (бромированные антипирены). Есть вероятность, что зародилось сие предположение в Nintendo, но подтвердить мне это не удалось.
Если ответить коротко, то: «Да, BFR вызывают пожелтение». Бромированные антипирены могут расщепляться, формируя конъюгированные цепи с двойными связями, которые участвуют в процессе пожелтения. Тем не менее количество BFR по отношению к общему объему пластика невелико, и этот эффект, следовательно, очень мал.

Рис. 7. Пример бромированного антипирена и его структуры
Но BFR могут вызывать пожелтение через еще один механизм. По аналогии с бутадиеном BFR также атакуются кислородом с образованием свободных радикалов, которые затем атакуют стирольные цепочки, вызывая расщепление стирола. Это подтверждает, что BFR способствуют пожелтению, но не так, как многие предполагают.
Часть IV. Утрата прочности и ломкость
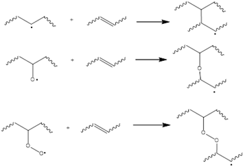
УФ-свет ослабляет АБС и другие подобные виды пластика, о чем говорится во многих научных трудах [5,8,9]. Окисление и разрушение бутадиеновых групп играет в этом процессе основную роль, а окисление стирола способствует еще большему ослаблению. Бутадиеновые группы подвергаются двум процессам: кросс-сопряжению и разрыву [2]. Разрыв – это прямое разделение бутадиеновой связи — наподобие разрезанию струны – что, естественно, ослабляет прочность пластика. Кросс-сопряжение (рис. 6) же увеличивает молекулярную плотность и жесткость пластика, поскольку связывает бутадиеновые группы вместе. Это, в свою очередь, делает пластик более хрупким, что в некоторых других его разновидностях применяется намеренно [8]. Как ни странно, такой жесткий пластик тоже хрупок и легко ломается. (АБС предполагает определенную гибкость, которую, подобно резине, ему придает бутадиен).

Рис. 8 Кросс-сопряжение бутадиеновых групп
На рис. 8 показаны три серии разных реакций кросс-сопряжения. Во всех происходит одно и то же: связывание бутадиеновых групп.
Хорошая же новость в том, что разрушению под воздействием УФ-света должны подвергаться только верхние слои пластика. Внутренние же слои остаются незатронутыми, если только при производстве пластика не были допущены технологические ошибки. В таком случае процесс окисления сможет распространяться повсеместно.
Часть V. Retrobright
Думаю, многие из вас уже заждались самого главного – описания техники Retr0bright. Более томить не буду. В сети можно найти много примеров отбеливания пластика с помощью перекиси водорода и тепла или УФ-света, а иногда и с помощью озона.
Если вы знаете, как работают окислители и перекись (подсказка: они добавляют кислород), то можете подумать: «Подождите-ка! Процедура Retr0bright пугающе похожа на процесс разрушения пластика — она вызывает окисление!» Вы совершенно правы, но это еще не все. Техника Retr0bright подразумевает дополнительный этап окисления. В противоположность распространенному мнению Retr0bright не исправляет пластик, а просто его отбеливает. Есть даже видео, где пластик отбеливается с помощью хлора. Только не старайтесь повторить это дома!
Действие большинства отбеливателей подразумевает атаку двойных связей и их окисление до простых [3]. На рис. 9 показано, как это происходит.

Рис. 9. Так действует отбеливатель, в данном случае хлор. Источник: [3]
Здесь двойные связи «крадутся» группами -OH (кислород и водород) и группами -Cl (хлор). Тот же принцип можно применить и к нашей виновнице всего действа: муконовой кислоте. Так мы поймем, каким образом Retr0bright помогает ее отбелить: происходит удаление вызывающих пожелтение двойных связей путем их окисления и упрощения до простых связей. При этом в процессе Retr0bright участвуют только группы -OH, потому что хлор перекись водорода не содержит. Тем не менее в целом химическая реакция ясна не до конца, так как перекись может расщеплять муконовую кислоту на несколько более мелких химических соединений.
Еще один вопрос, вызывающий бурные обсуждения, звучит так: «А стоит ли вообще использовать Retr0bright?» Многие неоднократно писали на форумах, что Retr0bright делает пластик более хрупким. Отмечу, что его состав должен воздействовать только на верхний слой АБС-пластика, то есть для неповрежденного пластика особого вреда он не причинит. А вот в случае наличия трещин или сколов перекись сможет попасть в них и вызвать внутреннее повреждение структуры пластика. Это значит, что использование Retr0bright для материала с нарушением целостности поверхности только ухудшит ситуацию.
Заключение
Процесс, вызывающий пожелтение пластика, обуславливается теплом, светом и кислородом. При совмещении этих трех условий на верхнем слое пластика образуются соединения желтого цвета. Процедура Retr0bright разрушает эти желтые соединения и не должна приносить вреда остальному пластику при условии отсутствия на нем повреждений. Если же повреждения присутствуют, то состав Retr0bright может также повредить внутреннюю структуру обрабатываемого материала.
Главные выводы
- Кислород + тепло/свет вызывает пожелтение АБС-пластика, поэтому лучше всего держать его в прохладном темном месте. Он по-прежнему будет желтеть, но происходить этот процесс будет уже медленнее.
- Прежде чем начать процедуру Retr0bright, попробуйте несколько часов подержать пластик на солнечном свету, оградив стеклом для исключения УФ-воздействия.
- Retr0bright усугубляет состояние пластика, только если он уже поврежден.
- Retr0bright не исправляет пластик, а просто его отбеливает.
- Бромированные антипирены участвуют в процессе пожелтения, но не являются его основной причиной.
Рецепт Retr0bright
ПРЕДУПРЕЖДЕНИЕ!!!
Имейте ввиду, что перекись водорода является агрессивным средством и в случае неосторожного обращения может вызвать серьезные химические ожоги на коже, а также ослеплление при попадании в глаза. Если вы решитесь на этот эксперимент, то настоятельно рекомендуется использовать очки и перчатки.
Оригинальный рецепт Мерлина
Для приготовления волшебной смеси «Retr0bright» вам понадобится:
- 500мл перекиси водорода с концентрацией от 10 до 15%;
- 2 столовых ложки с горкой ксантановой камеди (доступна в магазинах здорового питания и онлайн);
- 1 чайная ложка глицерина (продается в аптеке);
- 1/4 чайная ложка усилителя для стирки «Oxy».
Добавьте перекись водорода и камедь в блендер и размешайте на высокой скорости в течение 5 секунд. Добавьте глицерин и промешайте еще 5 секунд. Дайте смеси настояться около минуты, затем еще раз размешайте в течение 5 секунд. В результате должен получиться густой гель, который можно поместить в темный контейнер (например, банку из-под кофе, накрытую темной пленкой) для хранения. Только НЕ добавляйте «Oxy», пока не соберетесь этот гель использовать.

Для применения смеси вмешайте в нее заключительный компонент и нанесите на деталь, после чего разместите эту деталь под солнечным светом на несколько часов. Эту процедуру можно повторять.
Вот экспериментальный результат по отбеливанию Commodore 64. Процесс выполнялся в несколько этапов и в общей сложности составил 8 часов:

Примечание переводчика: здесь описан оригинальный рецепт, для которго существует два альтернативных варианта, приведенных на основном сайте. Авторы отдельно предупреждают о том, что ответственность за применение собственных ингредиентов и внесение технологических доработок в процесс полностью ложится на вас.
P.S. от редакции RUVDS
Эта статья попала к нам не совсем обычным путем, и можно даже сказать, что она нашла нас сама. При переводе серии из двух статей (Реставрация и апгрейд BBC Micro и прокачка BBC Master), посвященных восстановлению ретро-электроники, мы связывались с автором и задавали ему некоторые вопросы, в том числе из комментариев пользователей. В ответ на один из таких комментариев автор любезно прислал нам pdf-файл с оригиналом статьи, которую вы сегодня прочли. А так как многие интересуются не столько химической подоплекой всех этих процессов, сколько самим рецептом чудодейственного средства, то было решено доработать и дополнить материал.
[2] Adeniyi, J. B. (1984). Clarification and discussion of chemical transformations involved in thermal and photo-oxidative degradation of ABS. European Polymer Journal, 20(3), 291–299. doi.org/10.1016/0014-3057(84)90050-8
[3] Ashenhurst, J. (2016, September 8). Conjugation and color(+ how bleach works). Master Organic Chemistry. www.masterorganicchemistry.com/2016/09/08/conjugation_and_color
[4] Khalil, I., Quintens, G., Junkers, T., & Dusselier, M. (2020). Muconic acid isomers as platform chemicals and monomers in the biobased economy. Green Chemistry, 22(5), 1517–1541. doi.org/10.1039/C9GC04161C
[5] Kulich, D. M., & Gaggar, S. K. (1996). Weathering of acrylonitrile-butadiene-styrene plastics: Compositional effects on impact and color. In Polymer Durability (Vol. 249, pp. 483–501). American Chemical Society. doi.org/10.1021/ba-1996-0249.ch031
[6] Pickett, J. E. (2004). Reversible post-exposure yellowing of weathered polymers. Polymer Degradation and Stability, 85(1), 681–687. doi.org/10.1016/j.polymdegradstab.2004.03.008
[7] Searle, N. D., Maecker, N. L., & Crewdson, L. F. E. (1989). Wavelength sensitivity of acrylonitrile–butadiene–styrene. Journal of Polymer Science Part A: Polymer Chemistry, 27(4), 1341–1357. doi.org/10.1002/pola.1989.080270418
[8] Tiganis, B. E., Burn, L. S., Davis, P., & Hill, A. J. (2002). Thermal degradation of acrylonitrile–butadiene–styrene (Abs) blends. Polymer Degradation and Stability, 76(3), 425–434. doi.org/10.1016/S0141-3910(02)00045-9
[9] Tiganis, B., Davis, P., Burn, L., & Gotama, J. (2002). The Mechanism Of Photo-Oxidative Degradation Of Acrylonitrile-Butadiene-Styrene ( Abs ) Resins Used In Pipes. www.irbnet.de/daten/iconda/CIB9222.pdf
[10] Wyzgoski, M. G. (1976). Effects of oven aging on ABS, poly(Acrylonitrile-butadiene-styrene). Polymer Engineering & Science, 16(4), 265–269. doi.org/10.1002/pen.760160408
Автор: Дмитрий Брайт
