На следующее утро после больших метелей, охвативших северо-восток США, я сидел в своей машине, готовый бросить вызов опасным дорожным условиям, чтобы съездить в местное кафе. Мой дом в Нью-Джерси был за пределами основного пути шторма, так что вместо сугробов нас приветствовала смесь мокрого снега и ледяного дождя. И сидя в своей машине, я не мог не быть очарован этими странными узорами из льдинок, образующихся на лобовом стекле. Вот что я увидел:
Когда я смотрел этот миниатюрный мир, создававшийся на лобовом стекле как инопланетный пейзаж, то подумал о физике этих узоров. Позже я узнал, что эти узоры льда связаны с очень активной областью исследований в математике и физике известных как универсальность. Основные математические принципы, за которыми скрываются эти замысловатые узоры, применяются к некоторым неожиданным вещам, таким как кофейные кольца, характер роста бактериальных колоний и перемещение пламени по сигаретной бумаге.
Начнем с простого примера. Представьте себе игру похожую на тетрис, но только с одним видом блоков — 1 х 1 кв. Это идентичные блоки падают наугад, как капли дождя. Вопрос: какой узор из блоков вы ожидаете увидеть в результате?
Вы могли бы предположить, что, поскольку блоки падают случайным образом, всё закончится гладкой, однородной кучей блоков, как груды песка, которые собираются на пляже. Но этого не происходит. Вместо этого мы получаем зубчатые горизонты, где высокие башни стоят рядом с глубокими впадинами. Создание высокой стопки блоков рядом с низкой стопкой столь же вероятно, как и создание рядом с другой высокой стопкой.

Это не очень похоже на то, что я увидел на лобовом стекле.
Этот тетрисоподобный мир является примером того, что известно как процесс Пуассона, о котором я уже писал раньше. Смысл в том, что случайность не означает единообразие. Вместо этого беспорядок представляет собой скопления как зубчатый горизонт блоков Тетриса, который вы видите выше, или как распределение Жужжащих бомб, которые упали на Лондон во время Второй мировой войны.
Этот пример с Тетрисом может показаться немного абстрактным, поэтому позвольте мне познакомить вас с парнем, который принимает абстрактные идеи и связывает их с реальными примерами. Его зовут Питер Юнкер, и он физик из Гарварда.
Юнкеру было любопытно, каковы причины кольцевых пятен кофе. В 1997 году группа физиков выяснила, почему кофейное пятно образует кольцо. По мере того как кофе испаряется, жидкость от центра устремляется к краю капли, захватывая кофейные частицы вместе с собой. Капля начинает выравниваться. В конце концов, остаётся тонкое кольцо, так как частицы кофе все устремились к краю капли. Вот удивительное видео отснятое командой Юнкера, в котором видно как выглядит этот процесс.
То, что Юнкер продемонстрировал, действительно очень изящно. Он обнаружил, что причина того, что кофейная капля образует кольцо, заключается в форме кофейной частицы. Посмотрите на каплю кофе под микроскопом, и вы найдете маленькие, круглые кофеинки. Если взглянуть в приближении на край кофейной капли, вы увидите частицы, скользящие друг мимо друга, как блоки в нашем Тетрисе. В самом деле – Юнкер показал математически, что характер скоплений этих частиц кофе точно такой же как и наших случайно падающих блоках Тетриса!
Но вот что удивительно! Юнкер и его коллеги также обнаружили, что если заменить сферические частицы на более удлиненные, как овалы, то мы получим совершенно другую картину. Вместо кольца мы получим сплошное пятно. В видео выше видно, как это происходит.

В одном случае мы получаем кольцо, а в другом – сплошное пятно. Так почему же форма частицы меняет общую картину роста? Чтобы понять, почему овальные частицы ведут себя иначе, мы настроим нашу игру в Тетрис. Давайте назовем новую версию – Липкий Тетрис.
В Липком Тетрисе блок продолжает падать до тех пор, пока не коснется другого, стоящего на месте блока хотя бы с одной стороны. Как только происходит соприкосновение падающего блока с не падающим, первый сразу же замирает на месте.
Это небольшое изменение в правилах, но оно имеет довольно большие последствия. В обычном Тетрисе необходимо много блоков, чтобы заполнить глубокие щели, в Липком Тетрисе, можно заполнить большой пробел одним блоком. Очень быстро, разница в высоте между башнями начинают выравниваться. Вместо грубого, зубчатого горизонта в обычном Тетрисе, горизонт в липкой версии мир более гладкий.

Это выглядит гораздо более похожим на узор на лобовом стекле!
А вот и суть. В то время как сферические частицы ведут себя как блоки обычного Тетриса, частицы овальной формы ведут себя так же, как блоки Липкого Тетриса. В тот момент, когда движущиеся овальные частицы кофе касаются неподвижных, они залипают на месте. Вместо зубчатых горизонтов мы получаем этот швейцарский сыр, сложную структуру расползающихся нитей, разделенных отверстиями и щелями.

Таким образом, мы имеем два существенно разных вида процессов роста. С одной стороны у нас есть частицы, которые накапливаются как обычные блоки Тетриса или как кофеинки в кофейном кольце. Вот анимации реальных данных из лаборатории Юнкера, показывающие, как это выглядит.

С другой стороны, мы имеем частицы, которые накапливаются как липкие блоки или как овальные кофеинки. Рост этих частиц выглядит следующим образом (опять же, это реальные данные).

Очевидно, что это два качественно различных узора.
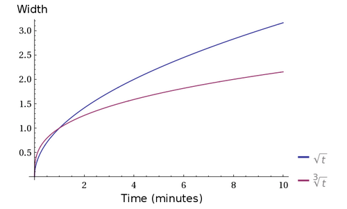
Но они также и количественно разные. Помните, что в мире обычного Тетриса мы в конечном итоге получаем зубчатый горизонт, в то время как в мире Липкого Тетриса горизонт более гладкий. Изучая, как верхний слой частиц (горизонт) расширяется с течением времени, физики могут классифицировать процессы роста. На жаргоне поля, процессы, которые растут с разной скоростью, принадлежат к различным классам универсальности.

Скажем, вы изучаете, как частицы льда сгущаются на вашем лобовом стекле. Если скорость, с которой расширяется горизонт, соответствует синей кривой на графике выше, тогда процесс сгущения льда находится в том же классе универсальности, что и Тетрис. Если он совпадает с фиолетовой кривой, то попадает в класс универсальности Липкого Тетриса. Ключевым моментом является то, что многие, казалось бы, различные физические системы, при математическом анализе, показывают идентичные модели роста. Эти немного таинственные тенденции одинакового поведения очень разных вещей отображают суть универсальности.
Более того, существует богатая математическая теория за классом универсальности Липкого Тетриса, описываемая уравнением, известным как уравнение Кардара-Паризи-Жанга (КПЖ).
Эта глубокая связь между кофейными кольцами и уравнением КПЖ застала Петра Юнкера врасплох. По словам Юнкера: “Алексей Бородин, математик из MIT, обратился к нам после того, как мы опубликовали статью о том, как форма частиц влияет на их отложение в кофейном кольце. Он смотрел наши экспериментальные видео онлайн и вспомнил о моделировании, которое делал ранее. Мы бы никогда не начали изучать эту область, если бы Алексей не привлёк к ней наше внимание”.
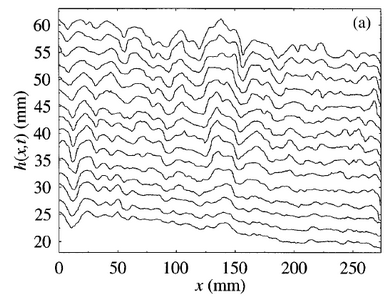
И этот класс универсальности Липкого Тетриса возникает во всевозможных, странных местах. Таким примером является горящая бумага. В ходе физического эксперимента 1997 года копировальная бумага была подожжена с одного конца и фронт пламени фиксировался пока она горела. Вот набросок того, что получилось.

Пламя развивается гладко, волнистым узором по мере того как прожигает бумагу. И когда физики в деталях изучили поведение этого фронта пламени, они обнаружили, что оно в точности совпадает с предсказаниями уравнения КПЖ. Они повторили свой эксперимент с использованием папиросной бумаги и получили те же результаты.
И еще один очень неожиданный и изящный пример – бактериальные колонии. Группа японских физиков в 1997 году показала, что в определенной питательной среде край бактериальной колонии растет точно в манере предсказанной универсальным классом КПЖ. Вот анимация этого в действии. Вы смотрите на увеличенные фотографии края бактериальной колонии по мере её роста в чашке Петри.

Теперь если вы задумаетесь об этом, то обнаружите нечто глубоко загадочное. Колонии бактерий, путешествующее пламя и частицы кофе – это все совершенно разные системы, и нет никаких оснований ожидать, что они должны подчиняться одинаковым математическим законам роста. Так что же стоит за этой таинственной универсальностью? Почему такие разные вещи играют по одинаковым правилам?
Вы могли заметить, что все эти примеры выглядят как бы немного фрактально. Оказывается, что явление универсальности неразрывно связанно с тем фактом, что эти системы самоподобны, как фракталы. По мере того как я уменьшал масштаб съёмки ледяных частиц на лобовом стекле, общая картина выглядела одинаково. То же самое верно для фронта пламени, края бактериальной колонии или горизонта Липкого Тетриса. Вот пример самоподобной кривой (или масштабно-инвариантной, как физикам нравится это называть).

Удивительно, но это самоподобие означает, что множество мельчайших деталей, таких как бактерии или кофеинки не меняют общей картины. По словам Петра: «Фрактальный характер этих процессов роста имеет важное значение для их универсальности. Для того чтобы быть универсальной, система не может зависеть от микроскопических деталей, таких как размер частиц или масштаб взаимодействий (к форме это не относится – прим. перев.). Таким образом, универсальная система должна быть масштабно-инвариантной».
Что возвращает меня к ледяным частицам на лобовом стекле. Они слипаются вместе в эти чудесные фрактальные модели, которые, на мой взгляд, очень похожи на Липкий Тетрис. Я хотел узнать, есть ли связь между этими частицами льда и классами универсальности КПЖ, и задал вопрос Питеру Юнкеру.
Он ответил: «Эти видео фантастические. Я согласен с вами, что основной процесс, происходящий здесь очень похож на процесс КПЖ. Это может быть отличным примером того, почему трудно определить процессы КПЖ в реальных экспериментах. Изменения в этих структурах оказывают сильное влияние на общее развитие системы. Но вполне вероятно, что эта система обладает теми же показателями роста, как и процессы КПЖ».
Та часть физики, которая делает эти льдинки недолговечными, делает их сложными для изучения. И так, позвольте мне закончить коротким видео на тему роста и долголетия ;)
Автор: Frolenarzt
