
Под конец 2013 года вышли в свет две примечательные статьи. Одна посвящена созданию резонатора или генератора опорной частоты на базе графена, а вторая – ревью о настоящему и будущему графена. Так что же ждёт графен в будущем – жизнь и расцвет углеродной электроники или смерть и забвение?
Механический осциллятор на основе графена
Переход к полностью углеродной электронике потребует создания не только транзисторов, резисторов и конденсаторов, но так же осцилляторов и резонаторов, преобразующих постоянный ток в периодический сигнал. Именно они обеспечивают так называемый “clocking” или опорную частоту в микросхемах, а также ответственны за тайминг в телекоммуникациях. Соответственно, без этого миниатюрного устройства невозможно представить себе ни флеш-память, ни мобильного телефона, ни современного телевизора.
Наиболее точными являются резонаторы на базе пластин, вырезанных из монокристаллического кварца вдоль особых плоскостей, а если точность не так важна, то их заменяют резонаторами на основе керамики, например, PZT. Однако, к глубокому сожалению всех инженеров мира, данная деталь является чуть ли не основным камнем преткновения на пути уменьшения размеров электронных устройств.
И вот тут на помощь приходят нано- и микро-электромеханические устройства (NEMS и MEMS), идеологию которых учёные из Колумбийского университета совместно с коллегами из Кореи использвоали при разработке графенового NEMS резонатора. Но не простой, а ещё и способный перестраивать рабочую частоту в пределах 14% при изменении приложенного напряжения.

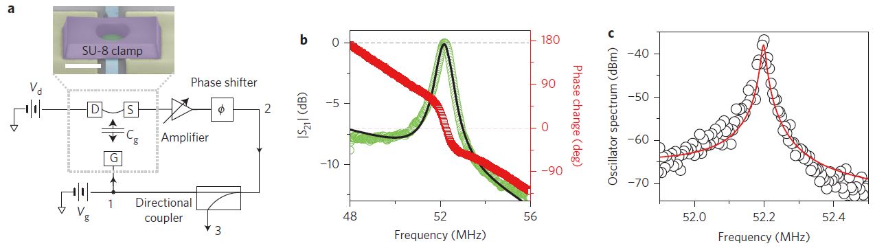
a. Упрощённая схема созданного резонатора (на вставке SEM-микрофотография устройства). b. Спектр передачи для разомкнутой цепи (S21): амплитуда (зелёный) и фаза (красный). c. Выходной спектр мощности для созданного графенового резонатора

Изменение частоты резонатора при изменении Vg
А в качестве подтверждения практической значимости своего изобретения исследователи собрали небольшой FM-радиоприёмник, используя описанный выше графеновый осциллятор, после чего получили и декодировали сигнал небезызвестной песни PSY (Корейцы, что с них взять-то?!). Прослушать получившуюся запись можно на сайте Nature или скачать здесь.

Радиостанция на основе графена. a. Электрическая схема. b и c – переданный и полученный сигналы, соответственно
Статья опубликована в журнале Nature Nanotechnology 17 ноября 2013 года.
Каково будущее графена?
Впечатляющая статья – безусловно, да. Ведь с момента открытия этого чудного материала и десятилетия не прошло, а создан процессор и резонатор, ёмкости на основе различных углеродных материалов. Кремний научились печатать на полимерах. И вот кажется, что счастье есть. Есть смелые проекты, которые получают престижные дизайнерские премии Red Dot Design Awards Winner за накопители-стикеры из графена. А в Европе сходят с ума от одного упоминания этих волшебных букв – graphene.
Подобная ситуация уже была в науке лет эдак 30 назад, когда была открыта и обоснована высокотемпературная сверхпроводимость. Казалось бы ещё чуть-чуть, найти правильный состав, и вот оно, решение проблем человечества в плане передачи электричества на тысячелетия. Десятки тысяч учёных переключились на поиски тех самых оксидных соединений, миллионы долларов, марок и франков (да-да, евро тогда ещё и в помине не было) полились на учёных, но…
Реальность оказалась суровее, и особого прогресса не вышло, всё застопорилось на температурах порядка 180-190 К да и то под давлением. Хотя, справедливости ради, стоит отметить, что в ЦЕРНе используются сверхпроводящие магниты, в многих госпиталях проводится магнитная томография, даже поезда стали летать, левитируя, но думаю, что это лишь малая часть того, о чём мечтали люди, работавшие со сверхпроводниками.
В конце 2013 году стартовал европейский мега-проект – Graphene Flagship, в рамках которого планируется потратить 1 миллиард евро только «государственных» средств в течение 10 лет, а ведь ещё будут и частные инвестиции. И да, Nokia и многие европейские гиганты тоже в деле!
Но не окажется ли этот проект такой же гонкой научного тщеславия, как 3 десятилетия назад случилось со сверхпроводимостью?
В этой связи мне очень импонирует ревью, написанное Марком Пепловым (Mark Peplow) и опубликованное в Nature буквально через пару дней после выхода статьи о графеновом резонаторе.
Позволю кратко изложить его суть. Графен – отличный материал. С одной стороны он эластичный, то есть гнётся. Свёрнутый в трубочку графен – углеродная нанотрубка, диаметр которой может варьироваться от 1.5 нм до сотен нм. При этом графен «сильный», как Superman и трудолюбивый, как муравей, он способен выдерживать огромнейшие нагрузки (расчётная прочность на разрыв ~1000 ГПа).
Графен с одной стороны имеет фактически нулевую запрещённую зону и очень лёгкие электроны и дырки, что делает его идеальным проводником, способным проводить сигналы быстрее, чем любой другой материал на планете, но это же и является его основным недостатком. Как остановить ток? Ведь вся электроника работает на принципе on/off (ток течёт/ток заблокирован). То есть необходимо искусственно создавать эту самую запрещённую зону, или изменить парадигму: вместо on/off электроники будет электроника, управляемая напряжением, или другими словами, некий аналог аналоговой электроники (простите за каламбур).

С другой стороны он прозрачен, то есть просто идеален как замена ITO в современных дисплеях. Однако двумерные системы сами по себе не устойчивы, таким образом, проблема создания идеально ровного графенового покрытия на какой-либо поверхности – тяжелейшая научно-техническая задача.

Складки графена. Источник
И получается, что пока графен хоть и представляется суперменом с большой буквой G вместо S, мы не можем внедрить его в производство из-за Джокера, прячущегося за его спиной. В подтверждение этого, автор ревью приводит следующее высказывание Тима Харпера (Tim Harper) из компании Cientifica, занимающейся внедрением новых технологий: «Никто не будет просто так гробить кремний, если не будет действительно веских причин сделать это». Последнее означает, что пока ресурс кремния, как платформы для создания микроэлектронных устройств не будет выработан более, чем на 146%, мы не увидим перехода к эре углерода.
Именно поэтому первый этап реализуемой программы будет направлен на поиск и создание прототипов устройств на базе графена, которые, по всей видимости, обязательно включат в себя описанные выше резонаторы, различные сенсоры (а ведь даже сенсор магнитных полей был создан на основе графена).
Что ж мы живём сейчас в эпоху великих свершений, которые могут коренным образом изменить нашу жизнь! Посмотрим, что преподнесёт нам 2014.
PS: Успешного Нового Года, Хабровчане!
Автор: Tiberius
