
Сейчас активно развиваются голосовые помощники и прочий звуковой дизайн. Компании подбирают тон голоса для помощников, делают их даже несколько, чтобы каждый нашел себе подходящего по настроению и тембру. Но во многих других областях звуковому дизайну уделяют меньше внимания.
Например, для всех кардиомониторов, систем вентиляции легких и прочих жизненно важных штук есть стандарт по звукам. На странице ISO/IEC 60601-1-8 можно послушать сигналы (но вы, наверное, и так примерно их представляете, если смотрели хоть один медицинский сериал).
Анестезиолог Доктор Блок, входивший в комитет, принявший этот стандарт, потом сказал: «Мы сделали все, что могли, но звуки в основном были ужасными». Оказалось, что мелодии не тестировались перед применением.
Сигналы создавались так, чтобы зашифровывать в себе фразу, поэтому количество слогов совпадает с количеством нот, и повторяются паузы между слогами.

У некоторых сигналов есть история. Например, сигнал аппарата искусственного кровообращения был смоделирован на основе песни охранников ведьмы из «Волшебника из страны Оз» (реально похоже).

Звук для инфузии медикаментов имитирует звук падающих капель.
В какой-то момент популярную мелодию «Я оставил свое сердце в Сан-Франциско» хотели использовать как сигнал о проблемах с сердцем, но передумали.
Но, несмотря на все это веселье, и волшебников из страны оз, текущий набор работает плохо.
Йоко Сен — музыкант. В 2012 году она оказалась в реанимации. Медицинские приборы постоянно пищали около уха. Когда к ней пришла медсестра, Йоко спросила, нормально ли это, что машина так орет. «Да, она просто постоянно пищит», — ответила медсестра.
Звук — мерзкий и режет ухо, но все врачи и медсестры неизбежно к нему привыкают и перестают замечать, в отличие от пациентов.
Более того, несколько приборов, которые работали в палате Йоко Сен, образовывали «дьявольский» тритон.
Тритон — музыкальный интервал величиной в три целых тона. В средневековой церковной музыке его запрещали использовать, потому что считали слишком неприятным для уха.
После выздоровления Йоко Сен будет помогать компании Sen Sound, которая пытается изменить шумовой фон в больницах.
Шум в больнице

Карту шума создавали с помощью инженера-акустика. Так же в исследовании провели опрос пациентов и персонала о том, как они спят, что они слышат, пока находятся в больнице, и что хотели бы слышать. Ожидаемо: слышат писк приборов, стоны и шум толпы, а хотят пение птиц и прибой.
Медицинские сигналы звучат постоянно и громко. Каждый производитель боится, что его могут наказать за то, что кто-то умрет, если врач не услышит сигнал. Но эффект получается обратный. Когда все постоянно шумит, врачи перестают обращать внимание на шум.
Новые сигналы. Распознаваемость
Группа Эдворти, профессора прикладной психологии из Плимутского университета, провела эксперимент. Сравнила несколько наборов звуков: те, которые соответствуют стандартам, и альтернативные наборы.
Новые наборы звуков создавали, меняя две характеристики: узнаваемость и вариативность.
В каждом наборе было десять мелодий: general, perfusion, cardiovascular, drug administration, oxygen, power down, temperature, ventilation, medium priority, и low priority.
Обидно, но в статье не приложены аудиофайлы, только текстовое описание звуков, типа «трезвучие G4-C5-F4 в нерегулярном ритме».
Первый набор — IEC
Это стандартные сигналы, которые используются сейчас.
Второй набор — Word Rhythms
По описанию исследователей, набор пытается более точно воспроизводить структуру языка. То есть в мелодии столько же звуков, сколько слогов в слове, которое она обозначает (хотя вроде и в текущем наборе так же. Но вроде как тут более точно).
Если посмотреть приложение к исследованию, то видно, что это не везде соблюдено. Скорее всего, это просто улучшенный IEC с более приятными звуками и большим количеством гармоник.
Третий набор — Auditory Icons
Тут исследователи используют метафоры и звуки из обычной жизни, чтоб было проще понять, что обозначает мелодия.
|
Барабанная дробь |
Сердечно-сосудистая система |
|
Звук таблеток, которые трясут в коробочке |
Для приема лекарств |
|
Непрерывный звук выключаемого двигателя |
Выключение питания |
|
Звук «сердцебиения» |
Сердечно-сосудистая система |
|
«Пузырящаяся вода» |
Перфузия |
|
Звук аэрозоля |
Кислород |
|
Звук одного глубокого выдоха |
Вентиляция |
|
Звук шкварчащего масла |
Температура |

Четвертый набор — Auditory Icons + Ident
В нем использовались те же звуки, что в третьем наборе, но перед ними запускался дополнительный тревожный звук, который помогал привлечь внимание.
Пятый набор — Resilient
Этот набор акустически более простой и обладает меньшим количеством гармоник, чем другие наборы сигналов тревоги. Звуки записываются с частотой дискретизации 8 кГц, а не 44,1 кГц, как в остальных наборах.
Участники
В исследовании участвовало 194 человека.
Половина участников были в возрасте до 21 года, четверть до 25 лет, а остальные старше 25 лет, равномерно распределены по возрастному диапазону до 72 лет.
44 из них слушали стандартные сигналы, 24 второй набор, 45 третий, 44 четвёртый, 38 пятый.
Эксперимент
Участники слушали звуки через наушники, в которые подавался рандомный набор мелодий. Исследование было слепым — то есть ученые не знали, какой набор звуков кому выпал.
Когда участник был готов, ему проигрывались все десять сигналов, и показывалось их назначение. Участники должны были запомнить, какая мелодия за что отвечает и потом угадывать назначение мелодий, которые проигрывались в случайном порядке. Если участник угадывал мелодию правильно, он переходил к следующим, а если нет — она случайно попадалась ему ещё два раза.

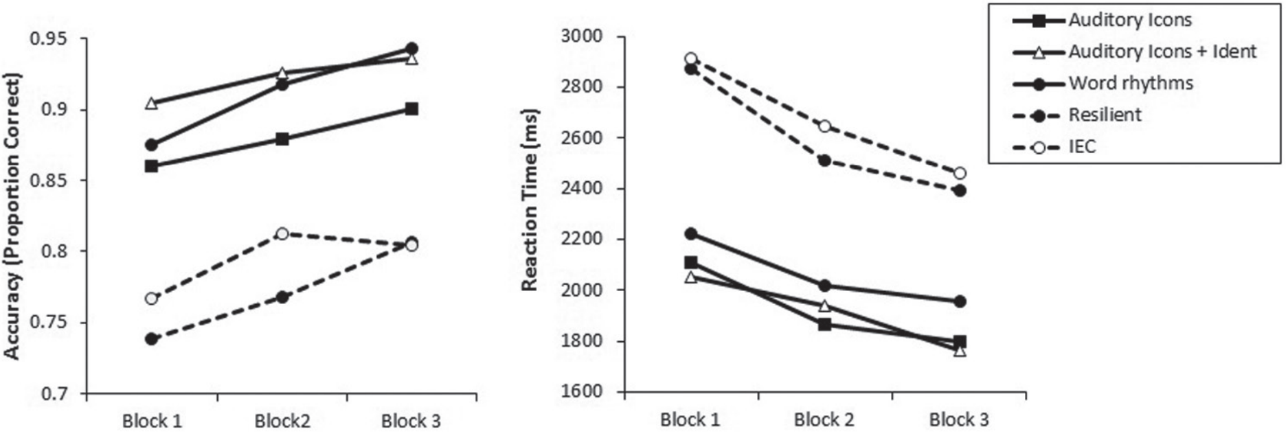
Видно, что с количеством прослушанных блоков количество правильных ответов немного увеличивается для всех мелодий, но разница остается примерно одинаковой

Результат
Все экспериментальные наборы звуков показали себя лучше, чем стандартный набор IEC. Проще всего респондентам было узнать звуки из набора Auditory Icons, где использовались метафоры из обычной жизни.
Новые сигналы. Локализация
Второй эксперимент должен был выяснить, у каких звуков проще определить направление. Если врач в палате с несколькими койками, около каждой из которых что-то пищит, ему должно быть легко определить, у кого из пациентов проблемы.
Большинство сигналов тревоги содержит очень мало гармоник и призвуков. Такой сигнал легко заглушить и тяжело локализовать, если рядом звучат похожие сигналы.
Частично IEC это учитывает. Там есть требование, что сигналы тревоги должны иметь не меньше четырех гармонических составляющих в диапазоне от 300 до 4000 Гц, но это все еще довольно мало.
Участники
В эксперименте учавстовали те же 124 человека, что и в первом.
Эксперимент
Участник сидел в центре круга из колонок, которые были установлены на штативах для фотоаппарата (потому что медицинское оборудование располагается на некоторой высоте). Проигрывались только сигналы тревоги (без сигналов с низкой и средней значимостью), и человек должен был назвать ту колонку, из которой по его мнению прозвучал сигнал. Участникам разрешалось двигаться и поворачивать голову, но нельзя было перемещаться по комнате.

Участники слышали 64 сигнала в одном блоке — каждый из восьми сигналов звучал в случайном порядке из каждой из 8 колонок. Всего блоков было 3, то есть каждый участник услышал 192 сигнала.

Ответить нужно было в течение 8 секунд после начала звучания и ответ можно было дать только один раз. Промежуток между сигналами был по 2 секунды.

Видно, что хорошие результаты показывают наборы Auditory Icons (и Auditory Icons + Ident) и World Rhythms. Пользователи допускают меньше ошибок и гораздо быстрее распознают направление сигналов.
Cо временем в целом возрастает точность (пропорция правильных ответов) и падает скорость распознавания (люди устают) во всех наборах.
Логично, что тяжелее и дольше всего распознавались звуки из колонок, которые стояли за спиной у человека — 4, 5, 6.
Результаты
Все новые наборы звуков, которые придумала группа Джуди Эдворт распознаются лучше, чем изначальный набор IEC. Легче и понять, что обозначает сигнал, и определить, откуда он доносится.
Сейчас нет какого-то стандарта по проверке сигналов тревоги — непонятно, по каким параметрам определять какие из них лучше, а какие хуже. Но сигналы тревоги, которые используются сейчас, увеличивают шумовое загрязнение в больнице. Это влияет и на пациентов, и на врачей. Их можно улучшить, и почти все свежепридуманные варианты будут скорее всего лучше текущего.
Выводы
Пищание реанимационных приборов — это часто последнее, что люди слышат перед смертью. Но над тем, чтобы сделать их лучше, не работают топовые музыканты или саунд-дизайнеры. Хотя это сравнительно простой и дешевый способ немножко улучшить жизнь тяжелобольных пациентов.
У SenSound, кстати, в итоге получилось вот так
Источник
The Recognizability and Localizability of Auditory Alarms: Setting Global Medical Device Standards Judy Edworthy, Scott Reid, Plymouth University, Devon, UK, Siné McDougall, Bournemouth University, Poole, Dorset, UK, Jonathan Edworthy, Stephanie Hall, Danielle Bennett, James Khan, Ellen Pye, Plymouth University, Devon, UK

Автор: Юля Кондратьева
