
Вступление
(Важно!!! Данная статья является лишь анонсом к циклу последующих статей, потому прошу относится к ней соответственно.Все недостающие подробности вы сможете узнать из следующих статей.Также торжественно обещаю читать все комментарии, отвечая на них сразу или в будущих статьях.)
Приветствую всех читателей! И перед тем как начать повествование, хотелось бы рассказать о себе и о цели публикации.
Я, школьный учитель робототехники, который искренне уверен, что нашему образованию очень не хватает наглядности. Сейчас в эпоху общедоступности интернета, а значит и информации, уже никого не удивишь иллюстрированным учебником или презентацией на интерактивной доске. Детям нужны показательные учебный пособия, яркие проектные работы сверстников, по-моему мнению именно это может зажигать энтузиазм, тягу к учёбе.
Именно так появилась идея цикла проектов, где школьники смогли бы познакомиться с вещами без которых нам нынешний быт немыслим, но их устройство для многих остаётся загадкой.
Долго над темой первого проекта думать не пришлось. День Космонавтики- недвусмысленно обязывал напомнить о том, кто такой Циолковский.
Цели публикации
-
Хочется надеяться, что эта статья сможет приковать внимание к проблемам образования и одновременно с этим станет для кого-то мотиватором/учебным пособием.
-
Мои возможности увы не безграничны.И кажется, именно сообщество Хабр’а может помочь: кто-то опытом и советом, кто-то пусть и маленьким, но донатом (к сожалению , не все опыты и эксперименты могут быть спонсированы школой).
Так значится ракета… Что прямо в Космос? А зачем? Вывести спутник на орбиту мы не сможем, показать управляемую посадку в духе SpaceX можно, конечно, попробовать, но перспективы туманны. В свою очередь просто запустить болванку повыше в небо… Скажем так ,сомнительная история.
Пришлось думать(удивительно, правда). Где могут пригодится ракеты в рамках исследовательской деятельности? И при том на высотах до 15км-20км, поскольку подъём в стратосферу требовал бы совсем других ресурсов.
Как оказалось , наша Атмосфера содержит ещё достаточно загадок (о некоторых из них и рассказал мне один опытный военный штурман).Так мое внимание привлекли- столбовые облака (Cumulonimbus). Дело в том, что именно в этом типе облаков происходит формирования множества катаклизмов, начиная от относительно безобидных ливней и снегопадов, до сильнейшего града, иногда и торнадо. И самое любопытное, несмотря на то, что метео-зонды сейчас покрывают едва ли не весь земной шар, этот тип облаков так и остаётся не исследованным, ввиду очень большого количества сложно-переплетённых потоков воздуха. Внутри такого облака не то, что Метео-зонды, но даже самолёты предпочитают облетать их, и ни о каком сборе информации и говорить не приходится.
Вот тут как нельзя кстати пришлись бы ракеты, со своим вертикальным взлётом, дармовой ценой и сравнительно малыми габаритами.
Что ж… Объект и способ исследования у нас имеются. А значит пора приступать к работе:)
Начало работ
Как театр начинается с вешалки, так и любой проект начинается с чёткого плана действий.
И вот как выглядит наш:
-
Создание теоретической базы - из чего состоит ракета, какие процессы важно учесть, какие данные она должна анализировать в полёте и т.д.
-
Создание 3Д модели. (В этот модуль войдут также части, относительно подбора геометрии каждого элемента и обоснование этого).
-
Сборка интеллектуальной составляющей ракеты (датчики, контроллеры и т.д.).
-
Практические эксперименты по подбору топлива и конструкции сопла.
-
Создание прототипа (болванки) имитирующей подъём полезной нагрузки на заданную высоту (этот этап объёмный и требует отдельного разъяснения в будущем).
-
Дополнительные испытания и доработки всех систем ракеты.
-
Сборка и запуск проектной ракеты.
-
Принимаем бурные поздравления и всенародное признание.
-
Развитие проекта (будет грустно, если проект после реализации так и не увидит жизнь).
P.S.
План утрирован и намеренно упрощён , существует для условного разделения этапов создания проекта.
Теперь, когда с планом мы разобрались самое время перейти к теоретическому описанию нашей ракеты.
Теоретическое описание
Для начала, стоит чуть подробнее понять специфику исследуемого объекта -облака Cumulonimbus. Они обычно имеют сложные воздушные потоки внутри себя, а в высоту достигают 8-12 км.Пронизывая облако мы анализируем основные атмосферные показатели, делая выводы о том как идёт развитие облака и стоит ли нам о нём беспокоиться или «само пройдёт».
Значит, наша ракета должна быть очень стабильной в полёте, чтобы воздушные потоки внутри облака не смогли отклонить её траекторию, выведя её за пределы объекта исследования или что ещё хуже перенаправить в потенциально опасном направлении.
Дисклеймер для юных и не очень ракетомоделистов, которые не задумываются о системе спасения для своего НЛО. Вот вам немного цифр:
Ракета весом 5 кг падая с высоты около 1 км свободно наберёт скорость около 150 м/с, а значит столкнувшись передаст 56250 Дж. Для сравнения пуля АКМ передаст лишь 2000Дж. Чтобы понимать опасность - сопоставимой энергией обладает снаряд некоторых зенитных орудий. Так что…Не забываем о ТБ!!!
Стабилизация
Так вот о стабилизации. Видов её множество, но классические стабилизаторы недостаточно эффективны (вспоминаем, про хаотичных воздушные потоки), из доступного нам можно применить только стабилизацию с помощью вращения, и тут лишь два вопроса:
-
Что должно вращаться сама ракета или что-то внутри неё?
-
Каким способом запускать это вращение.
Сейчас я расскажу о кажущихся мне наиболее эффективными и интересными в данном случае способах, но для начала немного теории.
Стабилизация вращением - древнейший способ стабилизировать что-либо, как пример, можем вспомнить - волчок или пулю нарезного оружия.
Плюсы:
-
Простота реализации.
-
Надёжность
-
Экономичность(как энергетическая, так и денежная)
Минусы:
-
Стабилизация только по одной оси
-
Нельзя управлять аппаратом
-
Трудности в использовании некоторого оборудование(например, камеры)
1) Аэродинамическая стабилизация вращением
У ракеты должны быть стабилизаторы, чтобы её полёт не был хаотичными, я бы даже сказал, что они нужны, чтобы полёт просто был. А что если изменить их форму, так чтобы набегающие потоки воздуха ещё и придавали ракете вращения. Вряд ли эта идея пришла мне в голову первым и судя по отсутствию успешных проектов, не так уж она и хороша (должно быть слишком много энергии тратится на подобную стабилизацию, хотя в пулях Бреннеке такой принцип ,успешно реализован), к тому же, раз это учебный проект - будем учиться.

2) Стабилизация с помощью гироскопического эффекта
Не вдаваясь в глубокую теорию ,можем сказать, что это устройство раскручивает какую-то массу стабилизируясь, а мы в свою очередь можем на него «опереться»
Вот видео в котором показано как гироскоп может стабилизировать сам, даже на тончайшей нити и как может стабилизировать объект будучи помещённым в него.
Размышления: Хочу поделиться одной своей идеей (точнее даже озвучить для оценки её реализуемости). Что если сделать свободно вращающуюся сборку стабилизаторов (возможно даже пару, одну поменьше закрепить ближе к носовой часте) одновременно с этим, в корпус ракеты установить вращающийся в противоположную сторону маховик. Суть в чём, любые системы стабилизации вращением передают хоть немного момента и объекту стабилизации, от чего тот тоже начинает вращаться, а что если для компенсации этого вращения использовать такую комбинацию разнонаправленных систем. Подобный способ требует подбора множества параметров для синхронизации обоих систем и пожалуй в современном мире управляемых ракет необходимость в нём сомнительна, однако мне хотелось бы послушать мнения, людей более погруженных в космическую инженерию.
Что ж, теперь наша ракета может не бояться не преднамеренной смены траектории и действительно ,что ей бояться, если она не оторвётся от земли, ведь ещё не поговорили о топливе и сопле (оно, кстати едва ли не важнее топлива).
Топливо
И снова минутка теории: для того чтобы поддерживать процесс горениях , в том числе и топлива в нашем ТРД необходимы две вещи: само топливо (что будет гореть) и окислитель (то что будет заставлять это гореть).
Пример: мы поджигаем древесину и в ней горит - углерод (ну это не вдаваясь в подробности, на самом деле не он один), а поддерживает это горение - окислитель в виде кислорода (без него как известно горение не возможно)
Вот иллюстрация важности окислителя:
А) Лучина в воздушной среде (содержание кислорода 20%).

Б) Лучина в чистом кислороде.

И вот несколько составов которыми можно заправить нашу ракету:
1) Прессованное «Карамельное топливо 65%+35%»:KNO3+C12H22O11
Что переводя на человеческий значит:смешать измельчённую калийную селитру с сахаром, плотно утрамбовать, высверлить отверстие под сопло и полетели.
Плюсы:
-
Доступность
-
Изученность
-
Простота изготовления
-
Низкая температура воспламенения.
Минусы:
-
Специфика изготовления не позволяет обеспечить стабильный результат, что грозит взрывом двигателя или нестабильной работой.
-
Гигроскопичность
-
Низкий удельный импульс
2)«Продвинутое карамельное топливо (65%+35%)+1%»:(KNO3+C6H14O6)+Fe2O3(подойдёт в целом любой фероксидный катализатор)
Этот вид топлива уже придётся варить (тонкости изготовления расскажу в статье посвященной ТРД), а после аккуратно фасовать, что одновременно усложняет изготовление и повышает стабильность двигателей.
Вообще, катализаторы можно использовать и в первой смеси, однако она и без того не отличается стабильным качеством, так что это на свой страх и риск.
Плюсы:
-
Доступность.
-
Изученность.
-
Низкая температура воспламенения.
-
Высокий удельный импульс.
-
Высокая стабильность изготовления.
Минусы:
-
Гигроскопичность
-
Важность контроля температуры в процессе изготовления.
-
Сложность изготовления шашек.
(Ешё один дисклеймер для жителей РФ. Изготовление взрывчатых веществ преследуется законом. А взрыв от горения отличает главным образом скорость реакции, потому некоторые окислители свободно распространяемые в хим.магазинах при смеси с порошком не менее доступных металлов при неправильном изготовлении могут обеспечить вам билет в места не столь отдалённые. Вывод: эксперементируя с перхлоратами будьте ОСТОРОЖНЫ.)
3) «ПААЛ»
В дисклеймере я описал, почему не буду давать инструкций по изготовлению подобной топливной смеси, описывая её лишь в общих чертах. Дело в том, что в такой смеси нельзя совмещать сухой окислитель и горючее во избежания неприятностей, потому их должно объединять связующее, чаще всего используется нейтральный силикон (ОЧЕНЬ ВАЖНО-НЕЙТРАЛЬНЫЙ!!!), однако использование эпоксидной смолы (ЭД20+Этал45М) более интересно: энергетическая выгода, простота механической обработки, прочность шашки и прекрасная адгезия.
Плюсы:
-
Доступность.
-
Низкая температура воспламенения.
-
Очень высокий удельный импульс.
-
Высокая стабильность изготовления.
-
Перспективы развития
-
Прочность
Минусы:
-
Большой «факел»
-
Стоимость
-
Некоторая опасность изготовления и запуска (требуется отлаженный тех.процесс)
Сопло
Сопло - техническое приспособление, которое служит для ускорения газового потока, проходящего по нему. Зачем оно нужно? Утрируя:чем больше удельный импульс истекающих из сопла газов, тем больше конечная скорость ракеты.
Так значит, нам жуть как необходимо сопло, ускоряющее поток газа . И теперь главный вопрос: как его сделать?
В целом, ответы на все вопросы даст нам геометрия Лаваля и будущая более предметная статья…
Коротко говоря , нам нужно взять прямой поток газа, заставить его пройти через более узкое отверстие, отчего скорость потока повысится, вся сложность в том ,чтобы точно рассчитать и изготовить сопло такой формы, чтобы получить максимальный положительный эффект.
(Если вдруг меня будут читать ученики школ -подробнее об этом процессе можно прочесть в параграфах, в которых описан закон Бернулли и его производные)
Обтекатель
Теперь обтекатель их бывает масса различных видов:
В нашем случае, на скоростях близких к скорости звука стоит рассматривать обтекатели трёх основных форм:
-
Коническая-меньшее лобовое сопротивление.
-
Параболическая-позволяет уменьшить кормовое сопротивление
-
Эллипсоидная-актуальна скорее для баллистических ракет
Фото обтекателя:

(Красная точка-центр давления. Синяя-центр тяжести)
Многие могут возразить, что каплевидное тело имеет наименьшее аэродинамическое сопротивление (это было доказано ещё Циолковским), потому вся конструкция - «фигня» и никакой обтекатель делу не поможет. Однако, тут есть нюанс - это утверждение справедливо, лишь для тел движущихся на «глубоком до звуке» ,условно, различные бомбы до сих пор сохраняют каплевидную форму, как и стремящиеся к ней гоночные болиды, но вот уже современные ракеты учитывают то, что на скоростях больше скорости звука проявляется масса специфических эффектов, которые необходимо учесть и обратить себе на пользу.
Фото ракет и бомбы для сравнения:

Мой выбор пал на конусный обтекатель и на то было несколько причин: меньшее лобовое сопротивление, относительная простота изготовления.Главное не забывать, что вещь это далеко не бескомпромиссная и расплачиваться приходится малым полезным пространством в носовой части ракеты и не самой эффективной конструкцией.
(возможного со временем я таки займусь параболическим обтекателем, потому как честно говоря он почти во всём лучше)
(Для самых любопытных прикладываю сравнительные формулы расчёта лобовое сопротивления и если интересно, я мог бы выпустить более подробную статью с детальным изложением «математики полёта»)

1) Полировка.
Очень важно, чтобы все составляющие ракеты были максимально гладкими, ведь только так потоки воздуха обтекающие ракету будут максимально близки к ламинарным, а значит стабильны, что даст нам меньшее аэродинамическое сопротивление.
2) Сопротивляется вся ракета.
Необходимо учитывать не только аэродинамическое сопротивление обтекателя, но и кормовой части, ведь в зависимости от его конусности, позади него будут формироваться различные вихревые потоки, что естественно влияет на общую аэродинамику.
3) Прочь логику.
Да, это отчасти кликбейт, просто иногда улучшить баллистический коэффициент помогают совершенно не очевидные вещи.Например:
А) На старте ракето-строительства все обтекатели имели коническую форму, ведь, очевидно, что такая форма имеет наименьшее лобовое сопротивление, однако, при обсчёте всей ракеты целиком выяснилось, что «тупоносые» обтекатели лучше подходят для баллистических ракет.
(Подробнее расскажу в будущих публикациях)
Б)Спортсмены занимающиеся высокоточной стрельбой иногда используют пули с небольшим отверстием в носовой части(не это не для большей экспансивности),как оказалось такая доработка отличное влияет на баллистический коэффициент.
(Ссылка на исследование:Bryan Litz. Ballistic Coefficient Testing of the Berger .308 155 grain VLD)
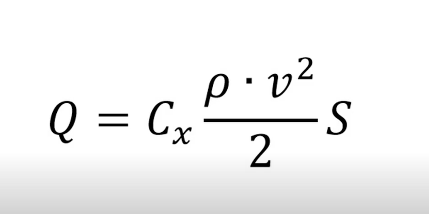
Пояняю формулу:
Q- аэродинамическое сопротивление
Cx- коэффицент лобового сопротивление(проще всего рассчитать опытным путём)
p- коэффициент плотности воздуха
v- скорость полёта(как вы видите зависимость сопротивления воздуха и скорости полёта крайне велика, так что иногда лететь чуть медленнее, зато существенно дальше.
S- площадь наибольшего поперечного сечения ракеты(на техническом языке это называется миделем)
Вот мы уже и готовы запустить ракету или нет…Перечитываем дисклеймер ещё раз!!!
Система спасения
Помимо безопасности , нужно учитывать, что запускать батареи одноразовых исследовательских ракет не сможет позволить себе ни одно метео-агенство, раз так, нужно сделать ракеты возвращаемыми.Управляемая посадка нам недоступна, но кое что мы всё таким можем сделать.Убив двух зайцев, сделав нашу ракету безопаснее и дешевле в эксплуатации.
У многих уже напрашивается:не слишком ли много пафоса для установки парашюта? Нет. Потому что одним парашютом мы не обойдёмся. Дело в том, что если мы раскроем парашют сразу после начала падения, то ветром ракету отнесёт так далеко, что боюсь подобное можно сразу записывать в безвозвратные потери. А если откроем после сваливания, то велик шанс, что правильно система спасения уже не сработает и наша ракета, как и любой аэродинамичный объект при свободном падении - начнёт быстро набирать скорость (чем это чревато уже говорили). Вывод: нужна система, которая одновременно будет сохранять правильное положение ракеты и замедлять её. Тут нам на помощь придут ленты.
Если сначала выбросить длинные ленты, что развеваясь будут и замедлять и не позволять развернуться, а уже подлетая к земле выпустить парашют ,то мы можем приземлиться сравнительно не далеко от места взлёта.
Конечно, на данный момент всё написанное, это лишь описание векторов движениями, вся статья носит скорее характер анонса, чем исследования, но я торжественно обещаю исправить это в ближайшем будущем.
Электроника
Естественно, нашей ракете требуется набор датчиков, но, он опционален, однако некий «костяк» должен штатно присутствовать, иметь отработанную систему крепления и питания. В качестве «мозга» нашей ракеты я выбрал плату Arduino Nano(компактность, большое количество совместимых сенсоров и простота использования-были на её стороне), далее нам понадобится сервопривод , который будет отвечать за своевременный выпуск ленты и парашюта, для системы спасения, хотелось бы уйти от вышибного заряда в пользу электронного выпуска, что продиктовано прежде всего требованиями безопасности ,всё таки ракета будет использоваться как учебная, да и к тому же электропривод открывает нам больше возможностей, ведь пиро-замедлитель выпустит систему спасения через чётко определённое время, а сервопривод ровно в точке апогея или на 100м ниже апогея или…
Заключение
Тээкс, цели поставлены, начало положено , с теоретической частью нашего полёта мы тоже более-менее разобрались, а значит до скорых встреч :-)
В следующей части мы с вами спроектируем 3д модель ракеты, подробнее коснувшись всех аспектов создания ракеты (так сказать, добавим цифр) и определим её расчётные характеристики.
P.S.
Читатели погруженные в тему ракето-моделирования могут заметить, что мол ничего инновационного в таком проекте нет и мол делалось уже подобное и хватит уж флуда на эту тему.
Однако, хочу отметить, что любительских ракет решающих реально какую-то задачу-не так много (чтобы не сказать, что их нет вовсе). Ко всему прочему, также нет и проектов, что могут служить образовательным пособием (а тут речь о том, что прототипы проекта останутся в виде учебных моделей и будут дорабатываться и внедряться в образовательный процесс).
P.S.S.
Пусть уважаемых читателей не отпугивает ни обилие формул, не их недостаток. Большая часть расчётов может производиться с помощью специального ПО, о котором мы ещё поговорим, а имеющиеся здесь расчёты служат для общего развития и понимания процессов, равно как и повсеместное наличие калькуляторов не отменяет необходимость изучения таблицы умножения.
А для тех кто хочет узнать всё в деталях, по завершению проекта я выпущу отдельную статью посвящённую исключительно теории.
P.S.S.S.
Буду рад вашим комментариям, идеям, советам. Коллективный разум победит!
Автор: Кирилл
