Общеизвестно, что на звучание аудиоаппаратуры влияет множество факторов и одной из важнейших составляющих качества звука является акустика помещения. Учитывая многочисленные просьбы наших читателей и активное обсуждение вопроса на GT, мы решили посвятить этой теме несколько публикаций.

В этом материале мы рассмотрим акустическую подготовку помещений для домашнего кинотеатра. Следует также отметить, что принципы, описанные в этой статье, во многом будут полезны при создании комнат для прослушивания музыки, домашних музыкальных студий и репетиционных баз.
Сегодня многие приобретают достаточно дорогую аудиоаппаратуру для домашнего кинотеатра, и, нередко случается, что в связи с проблемами помещения, где она установлена, звук оставляет желать лучшего. Акустика помещения играет одну из ключевых ролей при формировании сцены, характера звучания, передачи различных тембральных и частотных особенностей. Во многом именно благодаря акустике помещения удается добиться т.н. эффекта присутствия при просмотре фильмов и использовании систем объёмного звука.
Общие принципы
Путешествие звуковых волн по помещению начинается на выходе из излучателей, после чего они многократно отражаются от стен, пола и потолка. Именно эти препятствия на их пути и создают наибольшее количество проблем. На звук влияет всё, начиная от мебели, напольного покрытия, типа потолка, вплоть до материала, из которого создано здание и межкомнатные перегородки. В некоторых помещениях существенной проблемой становится не только отражение, но и резонанс материалов отделки или мебели.

Стремление к получению качественного звука начинается со снижения количества отражений, устранения резонансных поверхностей, и получения максимально возможного рассеивания звука в помещении. При подготовке помещения необходимо чтобы акустические свойства поверхностей минимально влияли на частотные параметры сигнала, не вносили существенных искажений, не порождали негативно влияющих отражений и отзвуков.
Для этого при подготовке такого помещения настоятельно рекомендуется свести к минимуму количество плоских поверхностей, деревянных и стеклянных предметов интерьера. Совсем идеальный вариант – оставить в комнате только мягкую мебель, а также предметы интерьера с рельефной поверхностью. Кроме того, важно понимать, что чем больше помещение, тем более существенные изменения придется вносить в отделку.
Подавляющее количество акустических проблем вызывается т.н. «стоячими волнами» и отражением звуковых волн. Используя ряд доработок в отделке можно свести к минимуму влияние этих факторов на звук домашнего кинотеатра. Наиболее простыми и доступными способами изменения акустических свойств помещения является применения звукопоглощающих и звукорассеивающих материалов. Для наглядности на схеме ниже отражено влияние поглощающих и рассеивающих поверхностей на звуковые волны:
Поглощение
Для отделки стен домашних кинотеатров сегодня широко используются звукопоглощающие панели. При этом следует понимать, что различные частоты поглощаются материалами неодинаково. Большинство современных панелей, созданных на основе стекловолокна, с толщиной 2,5 см способны эффективно поглощать звуковые волны с частотой до нижней границы 850 -1000 Гц.
При этом добиться эффективного поглощения более низких частот можно используя увеличение толщины слоя. Закономерно, что при подобном подходе, неизбежно придётся жертвовать объёмом помещения. Учитывая линейность зависимости, при использовании стекловолоконных и аналогичных им панелей, для эффективного поглощения звуковых волн всего слышимого спектра необходимо использовать слой толщиной около 15 см. При более эффективном звукопоглощении материала толщина подобного слоя может быть меньше.
Для оценки звукопоглощения используется специальный коэффициент.
Коэффициент звукопоглощения – отношение величины, не отраженной от поверхности звуковой энергии, к величине падающей энергии. Она рассчитывается по формуле:
А(зв)=Е(погл)/Е(пад)
где А(зв) — коэффициент звукопоглощения; Е(погл) — поглощённая звуковая волна; Е(пад) — падающая звуковая волна; E(отр) — отраженная звуковая волна; Е(рас) — звуковая волна, рассеянная в материале; Е(прош) — звуковая волна, прошедшая через материал.
При этом, следует помнить, что при расчетах коэффициента для материалов оценивается не весь слышимый спектр частот, а лишь диапазон в пределах от 125 до 4000 Гц.
Ниже привожу сравнительную таблицу с коэффициентами некоторых материалов:

Наиболее существенная роль поглощающих панелей – это устранение так называемого «первого отражения". Как известно, звук из АС достигает наших ушей как непосредственно, так и за счет отражений от нескольких поверхностей, и, естественно, отраженная волна делает это через несколько миллисекунд после прямой. Негативное влияние первого отражения неизбежно искажает сцену (расположение кажущихся источников звука), может способствовать формированию нежелательных пространственных звуковых иллюзий при использовании систем объемного звука (4.0, 5.1, 7.1 и др).
Соответственно, в первую очередь необходимо оборудовать звукопоглощающими панелями поверхности, на которых будут находиться проекции точек «первого отражения». Количество таких точек будет зависеть от количества колонок (кабинетов) в использованной акустической системе.
Ниже приведены упрощённые схемы дающая представление о точках первого отражения:


Ориентировочное расположение точек первого отражения легко определить при помощи зеркала. Суть метода: один человек находится на месте просмотра, другой двигается вдоль стен с зеркалом. Как только первый видит в зеркале отражение динамика – точка первого отражения определена. Большинство специалистов считают, что для эффективного звукопоглощения нет необходимости покрывать материалами все поверхности, достаточно закрыть точки отражения панелями с шириной 70-90 X 200-250 см (или более) в зависимости от высоты стен. Также, для того, чтобы снизить негативное влияние низких средних, имеет смысл установить панели на потолке.
После правильной установки панелей остаётся только одна проблема с поглощением – волны с частотой ниже 140 Гц. Обеспечение оптимального звучания низких частот требует особого подхода – использования специальных низкочастотных поглотителей. Существует несколько конструкций таких поглотителей, и я не берусь утверждать какие из них лучше (многие хвалят трубы). Важно понимать, что их количество и коэффициент поглощения будут зависеть от уровня звукового давления сабвуфера или низкочастотных динамиков АС. Также, в качестве альтернативы поглотителям, можно использовать мягкую мебель, что не всегда эффективно, но в ряде случаев может помочь справиться с низкими.
Рассеивание
Поглощение должно быть оптимальным, чрезмерное звукопоглощение сделает звук менее реалистичным, исчезнет иллюзия объёма. Для обеспечения баланса отражения и поглощения используется рассеивание звука. Как мы видели на таблице во второй части статьи, рассеивание позволяет увеличить количество векторов каждого отражения. За счет неровностей поверхности возникают дополнительные звуковые поля, образующиеся в результате дифракции звука. Таким образом звук «заполняет» помещение более равномерно.

Существуют разнообразные рассеивающие панели, которые могут создаваться из различных материалов, например, твёрдых сортов древесины, камня, синтетических материалов. В некоторых случаях рассеивающие панели покрывают тканью или войлоком. Характерной особенностью рассеивающих панелей является неровная фактура поверхности, не редко используется коническая форма элементов. Известно, что в нашем недалёком советском прошлом, при остром дефиците акустических отделочных материалов, в качестве рассеивающих панелей, некоторые музыканты и меломаны использовали яичные лотки.

Расчет комнатных резонансов
Для более точного определения параметров звукопоглощения низких частот будет полезен расчет комнатных мод (комнатных резонансов). В любом помещении возникают так называемые комнатные моды или комнатные резонансы. На их формирование влияют соотношения длины, ширины и высоты комнаты. Эти параметры задают расположение комнатных резонансов в частотном спектре и плотность их распределения.
Таким образом, используя известные размеры помещения, можно заранее рассчитать частоты, на которых возникнут резонансы, а, следовательно, знать о том будут ли усиливаться или же подавляться те или иные частоты.
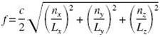
Для идеального прямоугольного помещения с ровными поверхностями стен пола и потолка, резонансы вычисляются по формуле:
где nx, ny и nz – целые числа, а Lx, Ly и Lz – это соответственно длина, ширина и высота комнаты.
Для вычисляя все резонансы необходимо поочередно подбирать все комбинации из трех целых чисел Nx, Ny, Nz. Специалисты отмечают, что на практике имеет значение вычисление только низкочастотных мод, т.е. максимальным N=4.
Отдельные резонансы описываются различными комбинациями из целых чисел Nx, Ny, Nz. Так, например, комбинация (1, 0, 0) будет описывать моду первого порядка вдоль стороны, принятой за «x», а (0, 2, 0) описывает моду второго порядка вдоль стороны, принятой за «y», и т.п…
Когда 2 из 3-х целых чисел равны нулю, расчет существенно упрощается и позволяет легко вычислить частоты «стоячих волн», которые возникают между парой противоположных стен вдоль одного из размеров помещения. f (1,0,0) = c/2/L
Эти моды называются осевыми или аксиальными и являются самыми интенсивными из всех. Именно их расчет представляет наиболее существенную важность.
Итог
Оптимальное использование рассеивающих и поглощающих материалов позволят избавиться от негативных эффектов в акустике помещения, а соблюдение простых принципов, использование технически не сложных приёмов может существенно улучшить ваши ощущения от просмотра кино и прослушивания музыки. В следующем материале на эту тему специалисты нашей компании поделятся опытом, который они получили при создании наших демонстрационных комнат.
Автор: Pult.ru

