
Взгляните на экран. Что вы видите? Страницу веб-сайта с текстом и картинками, верно? Но, а если копнуть глубже? Все эти разные по смысловой нагрузке и способу подачи элементы состоят из цифровых визуальных «атомов», называемых пикселями. Чем больше пикселей — тем лучше, за исключением некоторых инди-игр. Пиксели, как и любой «атом» во Вселенной, обладает своими определенными свойствами и ограничениями. По крайней мере так было раньше. Сегодня мы познакомимся с исследованием, в котором описывается метод создания нового типа пикселей, в сотни раз меньше и лучше нынешних. Как именно ученым это удалось, какими удивительными характеристиками обладают новые пиксели и смогли бы такие пиксели помочь нам разобрать происходящее во тьме третьей серии восьмого сезона «Игры престолов»? Ответы будем искать в докладе исследовательской группы. Поехали.
Основа исследования
Слово пиксель мы слышим достаточно часто и из самых разных источников. Новый смартфон с камерой 20 Мп (мегапикселей), новая пиксельная инди-игра, пиксель-арт, не очень удачный фильм «Пиксели» 2015 года с Тирионом Ланнистером, т.е. с Питером Динклэйджем (простите, ПТСР после марафона «Игры престолов»), и т.д.
Научным языком говоря, пиксель это самый малый логический элемент двумерного изображения (в трехмерном эту роль играют воксели). Если сравнивать какую-либо картинку на вашем экране с морем, то пиксель это капелька морской воды, утрировано говоря.
Пиксели бывают круглой или прямоугольной (квадратной) формы. В отличие от шпионских фильмов и сериалов про супер-детективов, если вы будете увеличивать какое-либо цифровое изображение, то рано или поздно оно превратится в кучу квадратов разного цвета, а не в супер четкое изображение.

Постер сериала «Игра престолов» с Королем ночи.
Само слово «пиксель» имеет немного астрономическое происхождение. В 1965 году Фредерик Биллингсли из лаборатории реактивного движения впервые использовал это слово для описания графических элементов видеоизображений от космических зондов Луны и Марса. При этом мистер Биллингсли не был пионером в области словообразования, ибо до него это слово применял еще Кит Макфарланд в 1963 году. Англоязычный вариант «pixel» можно разделить на две составляющие — «pix» (picture — изображение) и «el» (element — элемент).
История историей, но мы тут не ради нее собрались, а ради свежих открытий.
В основе сего исследования лежат ранее уже затронутые нами в предыдущих статьях метаповерхности.
Метаматериал* — композит (из нескольких составляющих), свойства которого зависят не столько от свойств его составных элементов, сколько от его общей структуры (топологии, архитектуры и т.д.).
В свою очередь, метаповерхности это двумерный тип метаматериалов, которые отличаются низкими потерями при работе со светом и простотой изготовления.
Последнее время все больше и больше внимания ученые уделяют плазмонным* (не путать с плазменными) метаповерхностям.
Плазмон* — квазичастица, соответствующая квантованию плазменных колебаний, представляющих собой коллективные колебания свободного электронного газа.
Однако в работе с плазмонными метаповерхностями всегда были сложности, несмотря на все технические преимущества.
В данном же исследовании ученые описывают метод создания нового типа масштабируемых, электрически управляемых метаповерхностей. В процессе создания новинки был применен подход «снизу-вверх» (формирование наночастиц из меньших элементов, то есть от меньшего к большему). А теперь подробнее.
Подготовка образца
Ученые напоминают нам о том, что плазмонные резонансы в совокупности с наноструктурами благородных металлов стали отличным инструментом, позволяющим совершенствовать определенные оптические явления и процессы.
Использование плазмонов в нанолитографии для создания дисплеев также очень перспективно, поскольку плазмонные составные элементы обладают широким цветовым спектром и очень малым размером, даже меньше обыкновенных пикселей. Но до сего дня возможно было реализовать исключительно статические цвета, используя очень сложный процесс настройки и упорядочивания рассеивающих элементов для преодоления зависимости от поляризации света, угла обзора и освещенности. Другими словами, ранее это было возможно, но чертовски сложно.
Если же мы хотим получить активные плазмонные цвета, говорят ученые, необходимо извне контролировать оптические свойства окружающей среды. Например, если использовать плазмонные метаповерхности в сопряжении с электрохромными материалами (проводящие полимеры и материалы с фазовым переходом), то можно получить «включение/выключение» при изменении состояния заряда электрохромного материала. А это уже в два раза повышает частоту обновления и оптический контраст в сравнении с системами, где имеются только электрохромные материалы.
Учитывая то, что размер плазмонов регулирует цветогенерацию RGB* пикселей, ученые применили электро/химические средства для того, чтобы плазмонные наночастицы функционировали как небольшие оптические переключатели/ пиксели.
RGB* (red, green, blue) или КЗС (красный, зелёный, синий) — аддитивная цветовая модель.
К примеру, наноструктуры Au (золото), покрытые оболочкой из Ag (серебро), демонстрируют широкую цветовую динамику благодаря электрохимическому контролю толщины оболочки Ag либо окислительно-восстановительным реакциям. Однако при этом такие наноструктуры очень недолговечны (не более 1 месяца), а скорость их переключения очень мала (более 0.5 с).
Такие недостатки связаны по большей степени именно с серебром. Когда его слишком часто осаждают или оно часто проходит через процесс окисления/восстановления, то диффузия ионов происходит медленнее и приводит к быстрым морфологическим изменениям в наномасштабе. Получается, метод хороший и рабочий, но не особо долговечный.
Другой способ достичь желаемого это применить многослойный плазмонный композит с диэлектрической прокладкой (NPoM) внутри.
NPoM — nanoparticle-on-mirror (наночастица-на-зеркале).
Еще хорошо то, что такие композиты можно создать без применения проблемной литографии, но точность при этом будет вплоть до атомарного уровня.

Изображение №1
Основным достоинством такой структуры является то, что наночастицы сильно ограничивают свет внутри их индивидуальных ячеек до нижележащего зеркала и, таким образом, создают чрезвычайно локализованные оптические резонаторы (изображение выше). Таким образом наночастицы становятся независимы друг от друга и нечувствительны к углу и поляризации падающего света.
Ученые отмечают, что подобная технология ранее не применялась для создания дисплеев. А основной их задачей является реализация возможности производить NPoM в большом масштабе, сохраняя при этом независимость отдельных нанопикселей.
В своем труде ученые описывают создание eNPoM — электрохромных наночастиц-на-зеркалах, образованных из наночастиц золота, инкапсулированных в проводящую полимерную оболочку из полианилина.
Самыми большими достижениями являются производительность и энергоэффективность eNPoM. Переключение зарядового состояния оболочки позволяет быстро смещать цвет резонансного рассеяния eNPoM в диапазоне длин волн >100 нм. Активный нанопиксель в такой системе требует всего-навсего ~ 0,2 фДж (фемтоджоуль, 1 фДж = 10−15 Дж) энергии для каждого сдвига длины волны на 1 нм.
Теория eNPoM
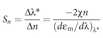
Цветовая динамика, основанная на локальном поверхностном плазмонном резонансе (LSPR), работает путем изменения показателя преломления среды, окружающей плазмонный наноматериал, смещая положение пика LSPR. Соответствующая регулировка цвета может быть выведена по чувствительности LSPR:

где λ — длина волны резонатора, х — коэффициент формы металлической наночастицы (если равен 2, то это сфера), ℇm — диэлектрическая проницаемость металлической наночастицы и n — показатель преломления среды, окружающей наночастицу. В самом лучшем сценарии ∆n должен быть большим, обеспечивая n ~ 1, чтобы поддерживать резонанс LSPR в середине видимой области, и позволяя ∆λ* настраиваться на весь видимый спектр.
Использование плазмонных наночастиц является логическим решением в данной ситуации, однако есть ряд проблем. У неорганических материалов, обладающих большим ∆n, коэффициент формы > 2. Из-за этого их LSPR резонансы находятся в ближней инфракрасной области (NIR) и не подходят для применения плазмонного цвета. Можно применить чувствительные полимеры, у которых n < 1,7. Но с такими материалами сложно проводить регулировку и настройку цвета.
Получается, что классические методы применить нельзя, точнее можно, но результат будет слабенький. Именно поэтому ученые использовали eNPoM (1а), состоящие из наночастиц Au, инкапсулированных в оболочке из полианилина (далее PANI). Такая топология NPoM проявляет себя как димерная пара плазмонных частиц, не взаимодействующих друг с другом, что вызывает усиления связи оптического поля в зазоре, известном как «горячая точка» (1b). Эта область приводит к формированию дополнительного связанного резонанса и поперечной моды около 550 нм, поддерживаемой одними только наночастицами Au.
Изменение окружающей оптической среды позволяет настраивать этот резонанс, а поперечная мода в этот момент практически не меняется. Изменение окислительно-восстановительного состояния ультрамалого объема оболочки из PANI, окружающей каждую наночастицу (~3х10-4 µм-3).
Проведя моделирование по методу конечных разностей во временной области (1с), ученые предположили, что полное окислительно-восстановительное действие PANI в eNPoM может привести к видимым сдвигам длин волн рассеяния на > 100 нм, то есть на 300% больше, чем поддерживаемые исключительно наночастицами (без участия оболочки из полианилина). В восстановленном состоянии PANI0 связанный резонанс eNPoM проявляется при c0 = 675 нм, а при окислении до PANI2+ происходит смещение к синему цвету при c2+ = 575 нм.
Рассеяние при оптимальном eNPoM предсказывает диапазон цветов в 100-нм с 43% настраиваемой контрастностью (1с). Подобные наблюдения говорят о реальной возможности получить настраиваемые/переключаемые цвета с низкими оптическими потерями и высоким пространственным разрешением, что было подтверждено экспериментами на устройствах с одним нанопикселем (1d).
Создание eNPoM

Изображение №2
Процесс создания eNPoM состоит из двух этапов метода «снизу-вверх»: обволакивание наночастиц Au покрытием из PANI в растворе; отлив на плоское зеркало Au.
Коллоидные наночастицы Au были инкапсулированы в целостную тонкую оболочку PANI посредством химической окислительной полимеризации при помощи поверхностно-активного вещества (вставка в правом верхнем углу на 2b).
Далее полученные образцы встраивались в созданные в лаборатории электрохимические камеры (ячейки), оптимизированные для одновременного отслеживания оптической и электрической динамики.
Зеркало из Au формирует рабочий электрод, а окислительно-восстановительное состояние оболочек PANI контролируется путем изменения напряжения от -0,2 до 0,6 В со скоростью сканирования 50 мВ/с. Кривые циклической вольтамперометрии, усредненные по 90 циклам (2а) показывают два набора окисленных (верхний) и восстановленных пиков (нижний) из трех различных окислительно-восстановительных форм PANI: PANI0 — полностью восстановленный; PANI1+ — полу-окисленный и PANI2+ — полностью окисленный. Следовательно, полное окисление и восстановление eNPoM происходит только в диапазоне потенциалов ∆V < 1 В. В этот же момент происходит измерение «темнопольного» спектра рассеяния одного eNPoM (2b и 1d).
Приложение отрицательного потенциала вызывает уменьшение оболочки PANI (PANI0), что приводит к пику рассеяния при c0 = 642 нм. А реверс потенциала приводит к резонансному сдвигу до c2+ = 578 нм, при этом ∆λ* = 64 нм согласуется с моделированием, проведенным ранее (1с).
Дальнейшее наблюдение темнопольного спектра рассеяния во время циклической вольтамперометрии показало высокостабильное и обратимое оптическое переключение (2с) с полностью воспроизводимой динамикой (2d).
Еще более важным наблюдением является идентичность всех eNPoM с позиции оптической динамики: если условия для всех нанопикселей одинаковы, то и оптическая динамика будет у них одинакова, что крайне важно для крупномасштабных однородных метаповерхностей.
Разные зазоры на eNPoM

Изображение №3
После проведения подготовительных работ ученые решили проверить насколько структурные параметры eNPoM влияют на переключения цвета, в частности как на этот процесс влияют «зазоры» eNPoM, определяемые толщиной оболочки на поверхности наночастицы Au. Для этого было создано несколько тестовых образцов eNPoM с разными зазорами, при этом толщина оболочки была увеличена с 10 до 20 нм.
В результате было получено 4 типа eNPoM нанопикселей: 11, 13, 18 и 20 нм (3а). Ученые провели оценку их электрическую (3b) и оптическую динамику (3c-3f).
Моделирование и фактические эксперименты с разными нанопикселями показали схожие результаты — обратимые синие сдвиги (3d) и снижение интенсивности на ~ 50% (3e) при окислении.
В теории, по словам ученых, при уменьшении зазоров длина резонансной волны и диапазон ее спектральной настройки должны увеличиваться. В реальности же все оказалось иначе — утончение PANI оболочки привело к меньшему цветовому диапазону при окислительно-восстановительном цикле. Исследователи поясняют это дополнительными структурными факторами, которые в моделировании (в теории) не были учтены:
- несовершенство сферической формы и размера наночастиц Au;
- различия в оптических свойствах PANI разной толщины;
- неоднородность PANI оболочки, покрывающей наночастицу;
- ~ 30% изменение толщины оболочки во время окислительно-восстановительного процесса;
- неоднородность окислительно-восстановительного процесса молекул PANI оболочки в зазоре.
Как следствие, NPoM с более толстой оболочкой (более 15 нм) продемонстрировали отличные цветовые характеристики с высокой точностью, согласующиеся с математическим моделированием.
Наблюдение за окислительно-восстановительным процессом
Изменение цвета при смене окислительно-восстановительного состояния проводящего полимера открывает возможность отслеживать связанную с этим динамику электронов в крошечном канале под отдельными одиночными наночастицами в геометрии NPoM (4а).

Изображение №4
Это позволяет понять сколько электронов переносятся через зазор в eNPoM и с какой скоростью.
Скорость передачи электронов между PANI и зеркалом из Au достаточно высока ввиду того, что процесс этот протекает именно в нано-зазорах с незначительным переносом массы. Это гарантирует, что окислительно-восстановительная система является электрохимически обратимой. Пиковый ток iP на кривой циклической вольтамперометрии в окисленном (или восстановленном) состоянии eNPoM линейно пропорционален потенциальной скорости сканирования n с ограниченным сдвигом пика.
Из этого следует, что iP = vF2fA / RT с участием двух электронов, где F — постоянная Фарадея (Кл/моль), R — постоянная идеального газа (Дж/(моль∙К)), T — температура системы (К), A — площадь рабочего электрода (м2), f — площадь поверхности частиц на электроде (моль/м2).
Учитывая линейную зависимость с n, f является постоянной и дает число молекул PANI, подвергающихся переносу электронов, который задается числом eNPoM на электроде. Это позволит калибровать количество введенных/выведенных электронов из каждого NPoM (4b). Таким образом можно увидеть динамику электронов в зазорах отдельных NPoM, связанных с тремя различными окислительно-восстановительными состояниями PANI. Примерно 30 000 электронов в каждой наночастице переносятся. Измерения оптической динамики показало два четких перехода, которые идеально соответствуют динамике электронов (4с).
Основным выводом из вышеописанных наблюдений является энергоэффективность нанопикселей — на переключение цвета от c0 до c1+ и от c1+ до c2+ требуется ~ 80 и ~ 200 АДж (аттоджоуль, 1 АДж = 10−18 Дж) на 1 нм сдвига длины волны.
Далее ученые провели анализ оптического переключения одиночных eNPoM при более быстрой прямоугольной электрической модуляции (4d сверху) для определения временной характеристики. В случае применения скачка напряжения от 0,6 до -0,2 В, вызывающего быстрые сдвиги в связанной моде от c0 до c2+, наблюдался резкий окислительно-восстановительный переход полимера (4d снизу).
Время переключения составило 32 мс (окисление) и 143 мс (уменьшение) с изменением интенсивности на 47%. Обратимое переключение цветов на уровне одиночных наночастиц наблюдается в ответ на прямоугольные потенциалы увеличения частоты вплоть до 50 Гц (4е, 4f).
Ввиду стабильности зарядовых состояний PANI, наблюдалась бистабильность (два равновесных состояния) eNPoM. К тому же, резонансные моды при c2+ и c0 сохраняются в течение > 10 минут. А это является одним из факторов снижения энергопотребления для устройства на базе данной технологии.
Масштабирование eNPoM метаповерхностей
Энергоэффективность это, конечно, хорошо, но необходима и масштабируемость. Еще лучше объединить эти два показателя, избегая литографии в производстве, как заявляют исследователи. Для достижения этого был применен новый метод сборки наночастиц посредством менискового* наведения.
Мениск* — вогнуто-выпуклая или выпукло-вогнутая линза, ограниченная двумя сферическими поверхностями.
Объемная доля частиц в растворе, используемая для покрытия, определяет плотность частиц (доля заполнения) на зеркальной подложке (изображение №5). Поверхности, состоящие из случайно распределенных eNPoM, с долей заполнения в 20% получаются при использовании 0,3% объемной доли исходного коллоида.

Изображение №5
А ~ 100 нм интервал обеспечивает минимальную оптическую связь ближнего поля между наночастицами (5а). Цвета же контролируются исключительно за счет зазоров под каждым eNPoM. Полученная увеличенная eNPoM метаповерхность также продемонстрировала отличное переключение цветов с ∆λ*=79 нм и 57 %-ным переключением контраста по всей поверхности (5b-5e). Другими словами, метаповерхность из eNPoM демонстрирует те же свойства и поведение, что и отдельный eNPoM.
Улучшить цветовой диапазон и динамику в метаповерхности можно за счет смешивания разных наночастиц или за счет применения ультрафиолетовых плазмонных наночастиц.

Изображение №6
Графики выше показывают насколько хороши характеристики разработанной системы на базе eNPoM нанопикселей. Настройка видимой длины волны, сверхмалый размер пикселей и скорость переключения соответствуют современным требованиям (зеленая область на 5а).
Ученые отмечают, что разработанная метаповерхность работает уже 3 месяца (на момент написания ими доклада) при плотностях мощности ниже 300 мВт/см2 и при плотности пикселей в 109 на квадратный дюйм.
Для более детального ознакомления с нюансами исследования рекомендую заглянуть в доклад исследовательской группы и дополнительные материалы к нему.
Эпилог
Рассмотренное нами сегодня исследование относится к категории совершенствования уже имеющихся технологий. Однако, при этом ученые использовали весьма радикальные, как они сами их называют, методы нанотехнологий для достижения желаемого результата. Свет ведет себя весьма необычно на нано-уровне, и понимание его свойств и характеристик позволяет создавать новые устройства и совершенствовать имеющиеся.
Разработанные нанопиксели могут найти свое применение в разных сферах — от дисплеев размером с дом до камуфляжных материалов. Сами ученые уверены в этом. Они продолжат работать над своим изобретением, расширяя его возможности и совершенствуя его характеристики.
Противостояние мстителей и Таноса («Война бесконечности») в олдскульном виде.
Как бы выглядел олдскульный файтинг с героями из «Игры престолов».
Благодарю за внимание, оставайтесь любопытствующими и отличных всем выходных, ребята! :)
Спасибо, что остаётесь с нами. Вам нравятся наши статьи? Хотите видеть больше интересных материалов? Поддержите нас оформив заказ или порекомендовав знакомым, 30% скидка для пользователей Хабра на уникальный аналог entry-level серверов, который был придуман нами для Вас: Вся правда о VPS (KVM) E5-2650 v4 (6 Cores) 10GB DDR4 240GB SSD 1Gbps от $20 или как правильно делить сервер? (доступны варианты с RAID1 и RAID10, до 24 ядер и до 40GB DDR4).
(KVM) E5-2650 v4 (6 Cores) 10GB DDR4 240GB SSD 1Gbps до лета бесплатно при оплате на срок от полугода, заказать можно тут.
Dell R730xd в 2 раза дешевле? Только у нас 2 х Intel TetraDeca-Core Xeon 2x E5-2697v3 2.6GHz 14C 64GB DDR4 4x960GB SSD 1Gbps 100 ТВ от $199 в Нидерландах! Dell R420 — 2x E5-2430 2.2Ghz 6C 128GB DDR3 2x960GB SSD 1Gbps 100TB — от $99! Читайте о том Как построить инфраструктуру корп. класса c применением серверов Dell R730xd Е5-2650 v4 стоимостью 9000 евро за копейки?
Автор: Dmytro_Kikot
