Предисловие
Разбираем статью 2018 года Giovanni Angelini'a, Luca De Angelis'a "Efficiency of online football betting markets".
В этой статье оценивается эффективность рынков ставок онлайн для европейских футбольных лиг. Существующая литература показывает неоднозначные эмпирические данные относительно степени эффективности рынков ставок. Ниже рассматривается, основанный на прогнозах подход для формального тестирования эффективности, рынков ставок онлайн. Рассматривая коэффициенты, предложенные 41 букмекером для 11 основных европейских лиг за 11 лет, мы находим доказательства различной степени эффективности и показываем, что если выбрать лучшие коэффициенты среди букмекеров, восемь рынков эффективны, а три демонстрируют неэффективность, которая подразумевает возможности получения прибыли для игроков. В частности, этот подход позволяет оценить пороговые значения коэффициентов, которые можно использовать для установления прибыльных стратегий ставок как ex post, так и ex ante.
Спойлер: если вы только думаете в какую футбольную лигу погрузиться выбирайте Greek Super League или the Spanish Liga, которые на 2018 год являлись самыми неэффективными.
С практической точки зрения к статье остается вопрос о количестве букмекеров. Очень сложно управлять счетами в 40 букмекерских конторах и управлять, связанной с этим безопасностью. Сокращение количества, может сказать на доступности максимальных коэффициентов.

1. Введение
Вопрос о степени эффективности имеет решающее значение для анализа рынков, поскольку неэффективность рынка, при правильном прогнозировании и измерении, может создать значительные возможности для получения прибыли. Применительно к финансовым рынкам, Fama (1970) выдвинул знаменитую гипотезу эффективного рынка, которая в своей слабой форме постулирует, что рынки эффективны в том смысле, что текущие цены отражают всю информацию, содержащуюся в ценах за прошлые периоды, что исключает возможность получения избыточной прибыли с использованием методов технического анализа. В целом, информационная эффективность требует, чтобы цены отражали наилучшие прогнозы результатов будущих событий. Таким образом, инвесторы не могут получить доходность с поправкой на риск, превышающую рыночную, торгуя на основе новой информации.
Эффективность рынка, естественно, применима ко многим видам рынков, включая рынки ставок. В связи с ростом индустрии онлайн-ставок за последнее десятилетие ряд ученых сосредоточили свое внимание на рынках ставок, в частности, потому, что они представляют собой своего рода "лабораторию реального мира", где эффективность может быть исследована простым способом (см., например, основополагающую статью Thaler & Ziemba, 1988, и всеобъемлющее исследование. обзор финансовых рынков и рынков ставок, подготовленный Vaughan Williams, 2005). На самом деле, в отличие от финансовых рынков, участники рынка ставок, как правило, хорошо информированы, мотивированы и опытны, а последние новости в спорте обычно сообщаются четко и в такой форме, чтобы агентам было легко делиться ими и обрабатывать. Другими словами, существует очень мало возможностей для утечки информации, которая влияет на эффективность финансовых рынков. (Forrest and Simmons, 2000) показывают, что частная или полуобщественная информация, которой могут располагать профессиональные информаторы английских газет, лишь незначительно улучшает прогнозы результатов матчей и что нет убедительных доказательств того, что прогнозы результатов матчей с помощью регрессионных моделей хуже, чем у профессиональных экспертов, которые утверждают, что владеют инсайдерской информацией. Более того, Spann и Skiera (2009) показывали, что для немецкой бундеслиги коэффициенты букмекеров более точны, чем прогнозы экспертов. Однако недавно Brown and Reade, (2017) обнаружили, что опросы информаторов предоставляют дополнительную прогнозирующую точность, помимо цен букмекерских контор, а Brown, Rambaccussing, Reade и Rossi, (2017) показали, что твиты в Twitter содержат информацию, которая не учитывается в ценах на ставки в режиме реального времени. Кроме того, ставки характеризуются точным сроком, по истечении которого их стоимость становится определенной, что значительно упрощает проверку рыночной эффективности.
Эффективность рынка ставок подразумевает, что рыночные цены (т. е. коэффициенты букмекеров) отражают всю соответствующую историческую информацию и представляют собой наилучшие прогнозы вероятностей исходов матчей. Поэтому после учета комиссий букмекеров игроки не могут преследовать возможности получения прибыли, поскольку вся доступная информация уже отражена в котировках. Тем не менее, Angelini and De Angelis (2017), Boshnakov, Kharrat, and McHale (2017), Dixon and Pope (2004), Goddard and Asimakopoulos (2004) and Koopman and Lit (2015), среди прочих, показывают аномальную положительную доходность на тестовой выборке от стратегий ставок, основанных на эконометрических подходах; в частности, Пуассона, ordered probit, динамического пространства состояний, двумерного Вейбулла (bivariate Weibull count) и авторегрессионных моделей Пуассона соответственно. Поскольку эти методы используют информацию о результатах прошлых матчей, их результаты подразумевают неэффективность рынка ставок. Более того, модели прогнозирования, которые дают аномально положительную доходность, были предложены для других видов спорта, включая американский футбол (Boulier & Stekler, 2003; Glickman & Stern, 1998), теннис McHale & Morton, 2011), скачки (Lessmann, Sungb, & Johnson, 2010) и австралийский футбол (Grant & Johnstone, 2010; Rydall & Bedford, 2010).
Тема эффективности рынка ставок была довольно широко разработана в литературе, но существуют неоднозначные эмпирические данные относительно степени эффективности рынков ставок. В частности, эффективность результатов матчей «победа-ничья-проигрыш» на рынках ставок на футбол все еще остается открытым вопросом. Насколько нам известно, в современной литературе отсутствуют работы, которые формально проверяли бы эффективность рынков ставок на онлайн-футбол. Единственные известные нам исследования, которые строго проверяют эффективность рынка в результатах матчей «победа-ничья-проигрыш» в футболе, — это исследования Kuypers (2000) и Pope and Peel (1989). В частности, Pope and Peel (1989) предложили подход, основанный на линейной вероятности и логит-моделях, для проверки эффективности рынка ставок в футбольном сезоне 1981/1982 в Великобритании. Их выводы свидетельствуют об отсутствии предвзятости в процессах установления коэффициентов букмекером для домашних и выездных побед, и, следовательно, невозможно определить прибыльную стратегию ставок. Используя регрессию OLS между вероятностью исхода и вероятностью, подразумеваемой коэффициентами, Kuypers (2000) пришел к выводу, что не было систематического смещения в коэффициентах и что рынок был слабоэффективен в сезонах 1993/1994 и 1994/1995 четырех дивизионов английской футбольной лиги. Однако Kuypers (2000) обнаружил редкое возникновение как неэффективности, так и прибыльных возможностей ставок, если использовалась упорядоченная логит-модель с общедоступными информационными переменными. В отношении этих исследований мы предлагаем инновационный подход, в котором мы моделируем ошибки прогноза букмекера, чтобы формально проверить эффективность рынка, с учётом комиссий букмекера. Более того, наш анализ рассматривает больший размер выборки с точки зрения как временного интервала, так и количества футбольных лиг, а также с точки зрения охвата рынка ставок, поскольку Kuypers (2000) и Pope and Peel (1989) рассматривали только одну страну и одного и четырех букмекеров соответственно.
В этой статье исследуется степень эффективности европейских рынков онлайн ставок на футбол путем тестирования предсказуемости результатов футбольных матчей на основе информации, содержащейся в коэффициентах, предлагаемых на рынке. В частности, мы тестируем эффективность рынков онлайн ставок на футбол, связанных с отдельными европейскими высшими лигами, чтобы исследовать возможные различия в степени (не)эффективности рынка среди национальных клубных соревнований в Европе. Мы достигаем этой цели, рассматривая набор данных, который включает коэффициенты, предлагаемые 41 международным букмекером на 11 лиг за последние 11 лет (2006–2017), для 33 060 футбольных матчей.
Одним из известных отклонений от беспристрастности (а иногда и от эффективности) является смещение фаворита-аутсайдера, которое утверждает, что коэффициенты на фаворитов более прибыльны, чем коэффициенты на аутсайдеров; т. е. букмекеры склонны недооценивать (переоценивать) ожидаемых победителей (аутсайдеров) (см. обзор Sorensen & Ottaviani, 2008). Это смещение хорошо документировано на рынках ставок на ипподромах, но не на других рынках ставок на спорт; например, Woodland and Woodland, (1994), Woodland and Woodland, (2001) показывают, что рынки ставок на матчи Главной лиги бейсбола и Национальной хоккейной лиги демонстрируют противоположное смещение. Используя только информацию, содержащуюся в коэффициентах, и не полагаясь на какую-либо эконометрическую модель, Direr (2013) показал, что систематический выбор коэффициентов ставок на подавляющих фаворитов (вероятность победы которых превышает 90%) приводит к аномальным положительным доходам. Его доказательства, по-видимому, противоречат гипотезе эффективности рынка и согласуются с литературой, которая документирует наличие предвзятости фаворита-аутсайдера на рынках ставок. Наоборот, используя высокочастотные данные, предоставленные онлайн-биржей ставок, Croxson and Reade (2014) проверили эффективность рынка, на голы, в течение последних пяти минут первой половины матча. Их результаты показывают, что цены обновляются быстро и полностью, так что новость о голе полностью учитывается к моменту второго тайма.
Эмпирические данные свидетельствуют о том, что коэффициенты ставок являются наиболее точным источником спортивных прогнозов. В соответствии с этой литературой мы рассматриваем вероятности, предоставляемые коэффициентами онлайн-рынка, как «лучшие» доступные прогнозы результатов матчей и анализируем ошибки прогноза для проверки эффективности, специфичной для рынка, в рамках нулевой гипотезы эффективности рынка.
Наши основные выводы показывают, что все рынки эффективны и могут позволить букмекерам получать дополнительную прибыль только в том случае, если используются средние рыночные коэффициенты. И наоборот, если рассматривать максимальные коэффициенты, предлагаемые рынком, мы находим доказательства трех европейских лиг, где смещение фаворит-аутсайдер достаточно велико, чтобы создавать прибыльные возможности для игроков.
Эта статья организована следующим образом. Раздел 2 описывает подход к тестированию эффективности рынка. Раздел 3 анализирует степень эффективности рынка для 11 европейских лиг. В частности, Раздел 3.1 описывает данные, Раздел 3.2 представляет результаты тестов эффективности рынка, а Раздел 3.3 исследует последствия неэффективности рынка, представляя простую, но прибыльную стратегию ставок. В разделе 4 выводы.

2. Тестирование эффективности онлайн-рынков ставок на футбол
Пусть - дихотомическая переменная, которая принимает значение единицы, если матч i заканчивается с рассматриваемым результатом, т.е. победой хозяев поля, ничьей или победой гостей. Затем переменная
распределяется как величина Бернулли с (истинной) вероятностью
, т.е.
, где
обозначает гипотетический информационный набор, содержащий всю информацию во Вселенной. Значительная часть литературы по спортивному прогнозированию подтверждает эмпирические данные о том, что коэффициенты ставок являются наиболее точным источником данных для прогнозирования вероятностей исходов матчей (см., например, Strumbelj & Sikonja, (2010); Štrumbelj, (2014)). В связи с этим коэффициенты, указанные на рынке онлайн-ставок, представляют собой "наилучшие" доступные прогнозы вероятности исхода матча
(ex ante). Пусть
- коэффициент букмекера на конкретный исход матча i (например, победа хозяев), а
- соответствующий предполагаемый прогноз вероятности. Следовательно, вероятностный прогноз букмекера должен быть равен
, где
- это (фактический) набор информации, доступный букмекерам на матч
. Однако букмекерские конторы не предлагают справедливых коэффициентов, поскольку коэффициенты также должны включать комиссию букмекера или маржу, также известную как "vig’. Таким образом, вероятностный прогноз букмекера, который де-факто используется для определения коэффициентов, предлагаемых на рынке, равен
, где
- комиссия букмекера. Как следствие,
не являются реальными вероятностями, поскольку их сумма по всем возможным исходам превышает единицу. При рассмотрении наилучших коэффициентов, предлагаемых рынком, могут возникать случаи, когда сумма обратных коэффициентов меньше единицы, и такие случаи предоставляют игрокам возможность арбитража. Возможности арбитража очень редки, если рассматривать только онлайн-букмекерские конторы. Vlastakis, Dotsis, and Markellos (2009) пришли к выводу, что менее чем в одном матче на 1000 матчей возможны арбитражные решения на рынках онлайн-ставок. Однако они также показывают, что это соотношение увеличивается до незначительных 0,5%, если учитывать как онлайн-ставки, так и ставки букмекеров. Арбитражные позиции также могут быть достигнуты путем объединения ставок на биржевых рынках и в онлайн-букмекерских конторах (Franck, Verbeek, & Nüesch, 2013).
Поскольку комиссия букмекера , как правило, не является фиксированной и может меняться в зависимости от матча, между букмекерами и с течением времени, одним из популярных способов обойти эту проблему является нормализация коэффициентов, то есть деление обратных коэффициентов на сумму обратных коэффициентов. Однако при таком подходе подразумевается, что букмекеры пропорционально увеличивают свою маржу на все возможные исходы. Более того, несмотря на то, что существуют более сложные методы определения вероятностных прогнозов на основе коэффициентов ставок (см., например, Штрумбель, 2014), Левитт (2004) показывают, что букмекеры устанавливают свои коэффициенты таким образом, чтобы использовать предвзятость игроков, и, таким образом, подразумеваемые вероятности будут отличаться от ожидаемых даже после нормализации. В частности, в отношении американского футбола в НФЛ Левитт (Levitt, 2004) приводит доказательства способности букмекеров устанавливать коэффициенты и приходит к выводу, что они лучше, чем игроки, предсказывают исход матча. Тем не менее, коэффициенты, предлагаемые букмекерскими конторами, систематически отклоняются от ожидаемых, поскольку они направлены на то, чтобы использовать предубеждения игроков и таким образом получать дополнительную прибыль. Аналогичный аргумент приводит Кайперс (Kuypers, 2000).
Пусть - ошибка прогноза букмекера на исход матча
. Согласно нулевой гипотезе рыночной эффективности, мы имеем, что, в общем случае,
переоценивает
, т.е.
и, как следствие, условное математическое ожидание
не равно нулю, а равно (за вычетом) комиссии букмекера и возможных искажений цен, возникающих в результате использование предвзятости игрока, делающего ставку, т.е.
.
Таким образом, рыночная эффективность для лиги может быть оценена с помощью следующей модели:
где - количество матчей, проведенных в лиге
, а
- фиктивная переменная, которая принимает значение, равное единице, для сезона
и равное нулю в противном случае, для
, так что
отражает среднюю комиссию букмекера для j-й лиги в сезоне 1 (как референс) и при
, для
отражает возможное изменение маржи букмекерской конторы с течением времени. Так как коэффициент регрессии
в уравнении (1) отражает возможное влияние вероятности
на ошибку прогноза
, рыночная эффективность лиги
может быть оценена путем исследования ее статистической значимости. Более конкретно, если учесть комиссионные букмекера, которые измеряются коэффициентами
в уравнении (1), эффективность рынка будет означать, что условное математическое ожидание
равно нулю, так что отклонение нулевой гипотезы
будет означать, что рынок
не является беспристрастным. Обратите внимание, что настройки, используемые в Eq. (1) для проверки эффективности рынков ставок используется стандартная методика тестирования эффективности прогнозирования, разработанная Mincer and Zarnowitz (1969); т.е. при гипотезе эффективного рынка и в случае отсутствия комиссии букмекера
независимо от регрессора относится к информационному набору
, который мы могли бы включить в спецификацию модели; см. также Clements and Reade (2016). В дополнение к этому, "кривые эффективности", описанные в разделе 3.2, позволяют нам оценить, достаточно ли велика эта погрешность, чтобы покрыть комиссионные букмекера и использовать прибыльную стратегию ставок, основанную на прошлых коэффициентах. Если это так, то рынок
неэффективен. Более того, включение фиктивных переменных для каждого сезона в спецификацию модели в уравнении (1) позволяет нам как проверить, не зависит ли маржа букмекера от времени, так и зафиксировать ее возможную эволюцию с течением времени.
Ioannidis and Peel (2005) показывают, что ошибки прогноза могут проявлять гетероскедастичность при нулевой рыночной эффективности. Мы учитываем эту возможность, получая оценку уравнения (1) с помощью взвешенных наименьших квадратов (WLS), где весовая матрица является диагональной с элементами
. В нашей схеме
может быть приблизительно равно
. Более того, поскольку мы рассматриваем коэффициенты на победу хозяев и гостей в уравнении совместно (1), мы избегаем вопроса о возможных корреляциях между наблюдениями, рассматривая кластерно-устойчивую оценку ковариационной матрицы WLS, где кластеры состоят из (двух) наблюдений, относящихся к одному и тому же совпадению; более подробную информацию см. в Liang and Zeger (1986).
В следующем разделе мы исследуем степень эффективности европейских рынков онлайн-ставок.
3. Результаты
3.1. Данные
Данные, использованные в этой статье, взяты с сайта www. football-data.co.uk, большой базы данных результатов европейских футбольных матчей и фиксированных коэффициентов, где коэффициенты учитываются в пятницу во второй половине дня для матчей выходного дня и во вторник во второй половине дня для матчей в середине недели. Эти данные включают коэффициенты, предлагаемые 41 международной онлайн-букмекерской конторой, рассмотренной порталом BetBrain (www.betbrain.com) на футбольные матчи, сыгранные в 11 главных европейских лигах за период с августа 2006 по февраль 2017 года, в общей сложности на 33 060 матчей. В ходе анализа были рассмотрены следующие лиги: Английская Премьер-лига, Шотландская Премьер-лига, немецкая Бундеслига, Итальянская Серия А, турецкая Суперлига, португальская Премьер-лига, Французская Лига 1, Испанская Лига, греческая Суперлига, голландская Eredivisie и бельгийская Jupiler League. Для каждого матча мы учитываем как средние, так и максимальные коэффициенты, предлагаемые рынком. Размеры выборки (), которые указаны в последней строке таблиц 2 и 3 для каждой лиги, довольно велики, так что должна быть достигнута теоретическая сходимость к нормальному распределению (сумм) переменных Бернулли.
Pope and Peel (1989) показали, что вариабельность вероятности ничьей очень мала и что коэффициенты ничьей не имеют существенного прогностического значения. Анализ ничьих, проведенный на основе нашего набора данных, подтвердил выводы Поупа и Пила (Pope and Peel, 1989), которые не выявили существенной взаимосвязи между коэффициентами на ничью и исходами во всех рассмотренных лигах. Поэтому в дальнейшем мы будем моделировать коэффициенты на победу хозяев и гостей совместно и не будем учитывать ничьи.
Наш анализ также фокусируется на отклонении от объективности, обусловленном предвзятостью в пользу фаворита, что является эмпирической закономерностью, задокументированной на многих рынках ставок на спорт, как обсуждалось в разделе 1.
3.2. Эффективность европейских онлайн-рынков ставок на футбол
В этом разделе проверяется эффективность рынков онлайн-ставок для 11 основных европейских футбольных лиг, перечисленных в разделе 3.1.
Если рынки ставок эффективны, то условное математическое ожидание ошибок прогноза должно быть равно минус комиссионные букмекера. Следовательно, исходя из оценки Eq. (1) для -й лиги мы ожидаем, что (i) оценка для
может быть (значительно) отрицательной, поскольку этот параметр отражает маржу букмекера, и (ii) мы не будем отвергать нулевую гипотезу
. Результаты оценки моделей, приведенных в уравнении (1), представлены в таблицах 2 и 3 для средних и максимальных коэффициентов соответственно.
Прежде чем сосредоточиться на результатах оценки, мы сначала проверим предположение о том, что истинная вероятность является линейной функцией вероятности букмекерской конторы, как следует из уравнения (1). 3 В частности, в таблице 1 мы рассматриваем набор повторных тестов Рэмси для определения ошибок функциональной формы. Результаты этих тестов показывают, что в целом модели в уравнении (1) указаны правильно, и, таким образом, нет необходимости применять спецификацию нелинейной модели. Однако следует отметить, что некоторые признаки нелинейности обнаружены для Англии (квадраты и кубы) и Италии (только квадраты) на уровне значимости 5% (но не 1%).
Результаты, приведенные в таблице 2, показывают, что, учитывая среднее значение коэффициентов, предлагаемых 41 онлайн-букмекерской конторой, мы не отвергаем нулевую гипотезу об эффективности рынка ни для одной из лиг, за исключением итальянской Серии А и португальской Премьер-лиги, уровень значимости которых составляет 5%, а также греческой Суперлиги, даже находящейся на низком уровне. уровень значимости - 1%. Довольно удивительно, но мы находим свидетельства отрицательного тренда в немецкой Бундеслиге и голландской Eredivisie, хотя они и незначительны. Все остальные коэффициенты регрессии (включая незначительные) положительны, что означает, что в среднем ошибка прогноза букмекера имеет тенденцию к увеличению по мере увеличения вероятности прогноза. Это согласуется с известным принципом "favourite–longshot bias", который мы исследуем ниже.
Результаты для оценок , представленные в таблице 2, показывают, что, как и ожидалось, все они отрицательные. Сосредоточившись на
, мы видим, что некоторые из этих фиктивных переменных значимы, по крайней мере, на уровне 5%, и положительны.Это является (слабым) свидетельством того, что комиссия букмекерской конторы снизилась по сравнению с выборкой, что может быть связано с возросшим уровнем конкуренции на рынках онлайн-ставок. Однако из результатов F-тестов для (совместных) нулевых гипотез
, представленных в таблице 2, мы можем сделать вывод, что на самом деле комиссионные существенно не менялись с течением времени.Данные о комиссионных, не зависящих от времени, в нашей выборке согласуются с выводами Forrest et al. (2005, таблица 4), которые обнаружили, что, хотя цены букмекеров становились более точными с ростом коммерческого давления, их доходность оставалась относительно постоянной в период с 1998 по 2003 год.
Примечания: в скобках указаны p-значения. F -тест означает тесты Вальда для ограничения H_0: alpha_2 = · · · = alpha_10 = 0 (указаны p-значения). T-тест для hatalpha является односторонним H_1:alpha < 0. В последней строке указано количество матчей, сыгранных N_j в каждой лиге.
*** значимость на уровне 1%.
** значимость на уровне 5%.
* значимость на уровне 10%.
Поэтому мы улучшаем эффективность теста, упрощая модель в уравнении (1), вводя ограничение не зависящие от времени, и переоцениваем следующую модель:
Мы приводим результаты для уравнения. (2) в нижней части таблицы 2. Мы обнаружили, что в среднем комиссия букмекерской конторы значительно ниже нуля, по крайней мере, на уровне значимости 5%, для всех лиг, за исключением Германии, и колеблется от 2,19% (Испания) до 5,24% (Португалия). Ограниченная модель в уравнении (2) не влияет на результаты тестов на объективность с точки зрения значимости коэффициентов регрессии и последствий наличия признаков отклонения от объективности в Италии, Португалии и Греции, что может свидетельствовать о неэффективности рынка, как мы проанализируем ниже.
В принципе, при любой возможности игроки, делающие ставки, стремятся выбрать наилучшую цену, которую может предложить рынок. Поэтому интересно оценить степень эффективности рынка при рассмотрении максимальных коэффициентов (вместо средних коэффициентов). В таблице 3 представлены результаты по лучшим коэффициентам, доступным среди 41 букмекерской конторы, которые мы рассматриваем. Как и в случае со средними коэффициентами (см. таблицу 2), мы не находим свидетельств изменяющихся во времени пересечений, и поэтому мы рассматриваем ограниченную модель в уравнении (2). По сравнению со средними коэффициентами, результаты, приведенные в таблице 3, показывают, что игроки, делающие ставки, могут существенно снизить комиссионные букмекерской конторы, учитывая максимальные коэффициенты, предлагаемые рынком, поскольку только три лиги показывают значительные (отрицательные) оценки , а именно Италия, Португалия и Греция. Опять же, эти результаты согласуются с выводами Forrest et al. (2005, таблица 4), которые показывают, что комиссия практически исключается при использовании наилучших доступных коэффициентов. Для тех же трех лиг мы также находим свидетельства значительных оценок
на уровне значимости не менее 5%, что эти рынки не являются беспристрастными, как это было обнаружено в случае средних коэффициентов.
Примечания: в скобках указаны p-value. F -тест означает тесты Вальда для ограничения
*** значимость на уровне 1%.
** значимость на уровне 5%.
* значимость на уровне 10%.
Теперь мы оцениваем степень объективности рынка и достаточно ли велики какие-либо отклонения, чтобы обеспечить выгодные возможности для игроков, делающих ставки, что, в свою очередь, означает неэффективность рынка. В частности, мы учитываем значения, полученные на основе оценки моделей в уравнении (2) для всех возможных значений вероятности и для j-й лиги выводим следующее выражение, которое мы называем "кривой эффективности”:
где и
- оценки параметров в формуле (2), а соответствующие доверительные интервалы вычисляются следующим образом
где s.e. ,
ый процентиль стандартного нормального распределения,
- градиент,
- дисперсия оценки WLS.
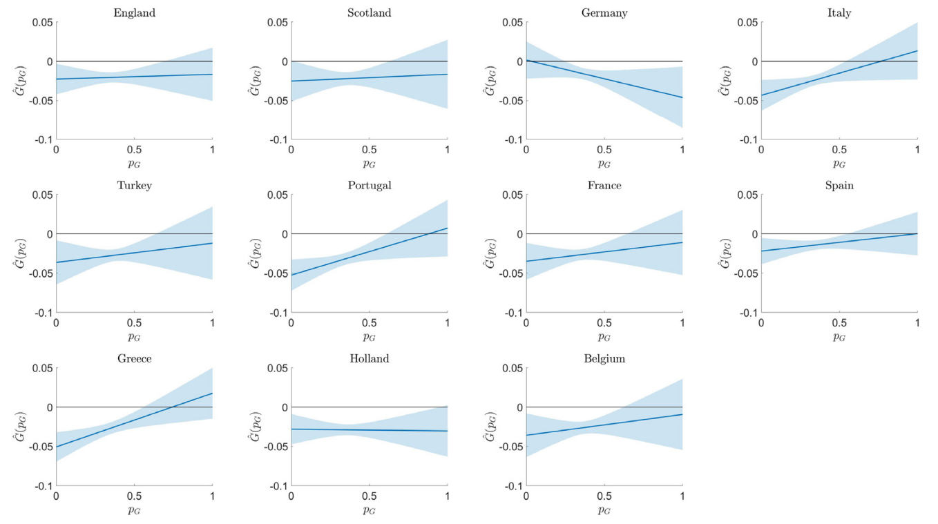
На рис. 1 и 2 показаны кривые эффективности в уравнении (3) для каждой лиги в сравнении с
для среднего и максимального коэффициентов соответственно. При фиксированном значении
, скажем,
означает беспристрастность рынка. И наоборот, когда
, есть признаки предвзятости, и знак
указывает на то, какая сторона может извлечь выгоду из этой предвзятости. В частности,
будет означать неэффективность рынка, поскольку игроки, делающие ставки, могут получать положительную прибыль, в то время как
будет означать прибыль для букмекерских контор. Таким образом, мы сосредоточимся на случаях с
, чтобы исследовать неэффективность рынка.
Кривые эффективности, показанные на рис. 1, показывают, что для всех лиг, за исключением немецкой Бундеслиги и голландской Eredivisie, имеет тенденцию к увеличению по мере увеличения вероятности исхода
, поскольку
. Таким образом, мы находим доказательства того, что рыночные вероятности проигравших (фаворитов) в среднем завышают (занижают) их эмпирические вероятности. Это означает, что ставки на аутсайдеров занижены и что игрокам выгоднее делать ставки на фаворитов. Мы можем интерпретировать эти результаты как свидетельство в пользу предвзятого отношения к фавориту. Однако, как видно из рис. На рис. 1 все кривые эффективности находятся ниже нулевой линии, за исключением случая наибольших значений
для Италии, Португалии и Греции. Аналогичным образом, соответствующие доверительные интервалы, которые показаны на рис. 1 для уровня достоверности 95%, показывают, что никаких значимых положительных значений
достичь не удается. Эти эмпирические данные свидетельствуют о том, что игроки не могут систематически получать положительную прибыль и что букмекерские конторы получают прибыль в долгосрочной перспективе, особенно от ставок на аутсайдеров. И наоборот, в немецкой Бундеслиге букмекеры, по-видимому, получают прибыль от фаворитов, а не от дальних бросков. Эти эмпирические данные (хотя и незначительные) свидетельствуют о том, что в Германии наблюдается своего рода обратное смещение фаворит-аутсайдер. Интересно, что в случае с голландским Eredivisie букмекерские конторы, похоже, получают значительную прибыль практически при любом значении коэффициента
. Таким образом, несмотря на наличие предубеждений, рынки онлайн-ставок считаются эффективными, если учитывать средние коэффициенты.
3.3 Последствия неэффективности рынка: простая и прибыльная стратегия ставок
В этом разделе предлагается стратегия ставок, направленная на использование неэффективности рынка, описанной в предыдущем разделе. На рисунке 2 показано, что кривые эффективности в уравнении (3) являются значительно положительными для трех европейских рынков онлайн-ставок при выборе максимальных коэффициентов, предлагаемых рынком. Действительно, как обсуждалось в разделе 3.2, итальянская и греческая лиги показывают положительные значения , связанные с наибольшими вероятностями
(сторона с меньшими коэффициентами), в то время как для Испании мы имеем
для центральных значений
. Нашу стратегию ставок в лиге
можно резюмировать следующим образом:
-
Оцените модель в уравнении (2) с помощью
, как описано в разделе 2, рассматривая наблюдения до сезона T* как информационный набор
:
где - количество матчей, сыгранных в
-й лиге в сезонах
.
-
Используя результаты, полученные на шаге 1, вычислите кривую эффективности перехода лиги в сезон T следующим образом:
и соответствующие доверительные интервалы, такие как
-
Определите "диапазон вероятности получения прибыли" как
, где
обозначает нижнюю границу доверительного интервала в уравнении (7), пороговые вероятности как нижнюю и верхнюю границы диапазона вероятности получения прибыли, т.е.
и
, и соответствующие пороговые
коэффициенты
и
.
-
Систематически делайте ставки на все матчи лиги
, коэффициенты на которые находятся в "диапазоне выгодных коэффициентов",
либо на все сезоны после T* (out-of-sample), либо на все сезоны в выборке (in-sample forecast).
Мы применяем вышеуказанную стратегию ставок для оценки результатов прогнозирования как в выборке (ex post), так и вне выборки (ex ante). Обратите внимание, что наш подход позволяет оценить диапазон выгодных коэффициентов, а не выбирать его произвольно, как в предыдущих анализах (см., например, Direr, 2013). Результаты представлены в таблице 4.
Сначала мы сосредоточимся на прогнозе по выборке, который учитывает весь доступный набор информации, т.е. . Результаты в верхней части таблицы 4 показывают, что стратегия ставок обеспечивает положительную среднюю доходность для всех трех европейских лиг, которые в разделе 3.2 были признаны неэффективными. В частности, систематически делая ставки с коэффициентами ниже 1,67 и 2,08, мы получаем среднюю доходность в 2,09% и 2,71% на Итальянскую Серию А и греческую Суперлигу соответственно, в то время как ставки на матчи испанской лиги с коэффициентами в диапазоне 1,09–3,12 дают среднюю доходность в 2,12%.
Далее мы исследуем, можно ли получить сверхнормативную прибыль, используя предложенную стратегию ставок. Мы оцениваем эффективность out-of-sample прогнозирования, устанавливая в качестве out-of-sample. Мы продлили период выборки, включив в него также конец сезона 2016/17 (то есть матчи, сыгранные с марта по июнь 2017 года). На графиках, представленных в таблице 4в, показаны кривые эффективности
для всех лиг с соответствующими 95%-ными доверительными интервалами
, рассчитанными согласно уравнениям (6) и (7) соответственно. Из этих рисунков мы видим, что, в соответствии с результатами, полученными выше, для восьми эффективных лиг или Италии не найдено выгодного диапазона вероятности при рассмотрении
в качестве out-of-sample; т.е. предполагаемая нижняя граница доверительного интервала
находится ниже нулевой линии для всех значений
. И наоборот, для Греции и Испании существуют значения
, для которых выполняется условие
. Следовательно, следуя шагам 3 и 4 нашей стратегии размещения ставок, мы вычисляем диапазон прибыльных вероятностей
и соответствующий диапазон прибыльных коэффициентов
(таблица 4б). Мы отмечаем, что в греческой Суперлиге и Испанской лиге игроки могут получить прибыль, делая ставки на исходы матчей с коэффициентами ниже 2,30 и 3,22, что эквивалентно, подразумеваемыми вероятностями, превышающими 0,4348 и 0,3105 соответственно. Результаты, представленные в таблице 4б, показывают, что средние показатели отдачи положительны для обеих лиг. В частности, out-of-sample (т.е. в течение всего сезона 2016/17) стратегия ставок обеспечивает среднюю доходность в 1,35% и 2,25% для Греции и Испании соответственно.

4. Заключение
За последние десятилетия рынки онлайн-ставок развивались и процветали, и интерес ученых к изучению характеристик этих рынков возрос. В данной статье рассматривается степень эффективности рынка онлайн-ставок на европейский футбол с использованием большого объема данных. Учитывая средние рыночные коэффициенты, мы предоставляем доказательства того, что рынки онлайн-ставок являются (в слабой степени) эффективными и что любые выявленные искажения приносят дополнительную прибыль букмекерским конторам. Однако, благодаря высококонкурентному рынку, игроки, делающие ставки, могут выбирать между многими букмекерскими конторами и выбирать лучшие коэффициенты, предлагаемые рынком. Повторив анализ с использованием максимальных коэффициентов, мы пришли к выводу, что большинство рынков онлайн-ставок эффективны, но мы также находим свидетельства неэффективности, которые можно использовать для определения прибыльных стратегий ставок. В частности, наш анализ показывает, что одно из самых распространенных отклонений от объективности на рынках ставок – предвзятое отношение "фаворит-аутсайдер" - действительно присутствует на трех европейских футбольных рынках. Мы показываем, что простая стратегия ставок, использующая эту предвзятость, приводит к аномально положительным результатам для игроков, делающих ставки, с учетом комиссионных букмекерской конторы. Более того, наши результаты показывают, что комиссионные онлайн-букмекеров существенно не менялись с течением времени в период с 2006 по 2017 год, но, по-видимому, различаются в зависимости от лиги.
Автор: cappelchi
