American Physical Society подвело итоги уходящего года. Среди интересного в этом году – неведомые частицы из глубин космоса, узлы квантовых компьютеров, термоядерный синтез, шаровые молнии, а также немного статистики и философии.

Возможное обнаружение темной материи

Как известно, значительная часть нашей Вселенной состоит из темной материи – частиц непонятной природы, подверженных только гравитационному взаимодействию. Они не испускают и не поглощают электромагнитное излучение, что не дает наблюдать их напрямую в телескоп.
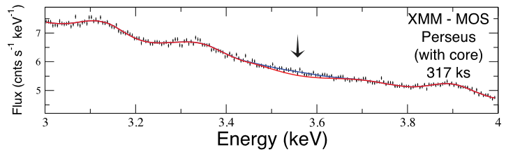
Одним из кандидатов на роль темной материи являются стерильные нейтрино (на Гиктаймс про них уже писали). С очень маленькой вероятностью (10-21 с-1) они могут распадаться на обычные нейтрино и гамма-квант. Исходя из предположений об их массе, гамма-квант должен иметь энергию порядка единиц кэВ (рентгеновский диапазон).
Собственно, в этом году аж два орбитальных телескопа («Чандра» NASA и “XMM-Newton” ЕКА) обнаружили в излучении двух разных галактик необычный пик с энергией 3.6 кэВ. Выглядит это примерно так (все на пределе возможностей):

При этом интенсивность линии падает при удалении от центра галактики. Разумеется, на доказательство это не тянет, но как минимум не противоречит представлениям (плотность темной материи уменьшается на периферии галактик) и не находит других разумных объяснений. Для уточнения планируется провести измерения с японского телескопа ASTRO-H, который запустят на орбиту в следующем году.
Инфляционная модель

Один из тонких моментов в космологии – это расширение Вселенной в первые моменты после Большого взрыва. Весьма вероятной теорией является инфляционная модель, предполагающая крайне быстрое расширение Вселенной на определенном этапе и позволяющая обойти ряд проблем, появляющихся в других моделях. По идее, если инфляционная модель верна, то это должно как-то отражаться на последующей эволюции Вселенной и на том, что мы видим сейчас.
В частности, мы должны наблюдать некоторые особенности реликтового излучения (микроволнового фона Вселенной, природа которого восходит к Большому взрыву), а именно его вихревую (роторную) поляризацию. Это что-то вроде круговой поляризации света. Правда для измерений понадобится не поляризатор из 3D-очков, а что-то посложнее.
Собственно, засечь эту особенность в поляризации удалось в 2014 году. Прибор, сумевший сделать это, называется BICEP2. Это радиотелескоп-рефрактор (здорово, да?), измеряющий реликтовое излучение на частоте 150 ГГц при помощи матрицы хитрых сверхпроводниковых сенсоров. Полиэтиленовые линзы охлаждаются жидким гелием до 4 К, а сама матрица – до 250 мК. Установлен прибор на Южном полюсе для наблюдения за одним и тем же участком неба.
К сожалению, через какое-то время оказалось, что полученный результат мог быть вызван рассеянием излучения на космической пыли. По всей видимости, эксперимент будет продолжаться для накопления статистики.
Прогресс в инерционном термоядерном синтезе

Возьмем маленькую ампулу с дейтерий-тритиевой смесью и резко осветим со всех сторон мощными лазерами. Если излучение будет мощным, оно сожмет ампулу до такой степени, что начнется реакция термоядерного синтеза. Основная проблема здесь — создать сверхмощные импульсные лазеры и подобрать параметры импульса для максимального энергетического выхода реакции.
В частности, крайне важно выбрать оптимальный временной профиль лазерного импульса. Обычно мощность лазера нарастает со временем, причем, ступенчато (для экономии энергии):
Сжатие идет медленно на первой стадии и гораздо сильнее при максимальной интенсивности лазера (такой профиль называют “low-foot”). Проблема в том, что к определенному моменту мишень, по всей видимости, начинает разрушаться, и реакция прекращается.

В 2013 году (статья вышла в начале 2014) в National Ignition Facility (Ливермор, США) предложили, что более резкий профиль пучка (“high-foot”) позволит избежать преждевременного распада мишени. Эксперимент показал, что идея оказалось верной. Более того, это позволило разобраться в неточностях теоретических моделей. Приятным бонусом стало то, что в новом процессе появилась положительная обратная связь: альфа-частицы, образуемые в результате синтеза, дополнительно нагревают смесь, что поддерживает высокую температуру, необходимую для синтеза.
В итоге эффективность реакции выросла (по различным параметрам) примерно на 50 %. Правда, соотношение полученной энергии к затраченной все еще остается ниже единицы.
Первое наблюдение спектра шаровой молнии

А про это на Гиктаймс уже писали.
SiV центры в алмазе

Иногда оказывается, что дефекты кристаллической решетки обладают очень полезными свойствами. Скажем, если в алмазе один из атомов углерода заменить на азот, а соседний вообще убрать, то получится NV-центр (nitrogen-vacancy). Его энергетические уровни очень похожи на энергетические уровни атома: они узкие, у них приемлемые времена жизни, а переходы между ними лежат в видимом и ИК диапазонах, что очень удобно для манипуляций с ними.
Представьте: у нас есть маленький кусочек алмаза, и мы знаем, что в нем находится ровно один NV-центр. Если мы посветим на него, то он излучит ровно один фотон. Теперь возьмем два кусочка алмаза – они излучат два абсолютно одинаковых фотона. А это уже можно использовать для экспериментов с квантовой информацией.
Еще приятно то, что кусочек алмаза долговечен. С одиночным атомом так бы не получилось: он может улететь, окислиться или еще что-нибудь. Поэтому NV-центры очень любимы в квантовой оптике, хоть и неидеальны.
Собственно, суть открытия в том, что удалось найти еще одну подобную систему. Как можно понять из названия, это практически то же самое, только атом азота заменили на кремний. Как оказалось, такой центр превосходит NV-центры по ряду характеристик – а это значит, следующие несколько лет исследования SiV обещают быть плодотворными.
Однофотонные транзисторы

В этом году к однофотонному источнику добавился однофотонный транзистор, и не один, а целых два. Речь идет не об электронном, а об оптическом транзисторе, то есть управлении мощным пучком света при помощи слабого (в идеале — одним фотоном).
Давайте возьмем атом водорода. У него линейчатый спектр: много энергетических уровней электрона, соответствующих разным электронным орбиталям. Чем выше уровень, тем больше радиус орбиты электрона. Так, для уровня с номером в районе 50-70 радиус орбиты составляет десятки микрон. Такой атом называется ридберговским и выглядит очень интересно: крохотное ядро и огромная электронная «шуба» вокруг. А что, если подсунуть под «шубу» еще один атом?
Смотрим на картинку: лазерный луч (розовый) возбудил несколько ридберговских атомов (красные ядра и серые электронные облака). Зеленые атомы попали под «шубу» соседей и оказались заэкранированы как в клетке Фарадея – они не чувствуют внешних полей и не взаимодействуют со светом. Если ридберговские «шубы» убрать, то зеленые атомы снова смогут взаимодействовать с окружающим миром – скажем, поглощать фотоны.
Для включения «шубы» достаточно одного фотона. Включили «шубу» — зеленые атомы заэкранировались и не поглощают свет – свет проходит сквозь них. Выключили «шубу» — зеленые атомы активизировались и поглощают свет – свет не проходит. Идея довольно простая, но потребовала немало времени для реализации. В этом году это удалось двум группам из ФРГ. До полезных моделей тут очень далеко, но для науки этот шаг был очень долгожданным.
Энтропия и диагностика лейкемии

Есть в статфизике такой параметр как энтропия – мера беспорядка. Обычно все (<зануда_mode> замкнутые </зануда_mode>) системы стремятся к состоянию с наибольшей энтропией. Пусть какая-то система описывается двумя переменными A и B, а мы можем померить только А. Мы не знаем ничего про B – но если система живая и эволюционирует, то B стремится к значению, при котором энтропия системы будет максимальна.
Если мы умеем считать энтропию по известным A и B, то решив обратную задачу, мы найдем B, соответствующее максимальной энтропии. Это и будет наиболее вероятное значение В в живой системе.
Теперь то же самое, но в медицине. Живая система – человек, параметров не два, а гораздо больше. Мы можем померить некоторые из них (насколько я понял, что-то типа концентраций белков), придумать как посчитать энтропию и по предложенной схеме восстановить некоторые неизвестные параметры. Эти неизвестные оказываются очень полезны для диагностики лейкемии и, возможно, ряда других серьезных заболеваний. Во всяком случае, как утверждается, первые результаты оказались довольно обнадеживающими.
Стрела времени

Итак, энтропия растет со временем. Или наоборот: время течет в ту сторону, в которой энтропия (беспорядок) больше. Это определение термодинамической стрелы времени. Есть еще две стрелы времени: космологическая (в ее направлении расширяется Вселенная) и психологическая (как время чувствуем мы). Один из фундаментальных физических (а также философских) вопросов – почему нам кажется, что направления всех этих стрел совпадают.
Об этом доступно рассуждает Хокинг в «Краткой истории времени». Его объяснение для термодинамической и психологической стрел просто и изящно. Наш есть по сути компьютер, обрабатывающий входные данные. Вне зависимости от того, упорядочивает он их или стирает, на это затрачивается энергия, выделяемая в виде тепла. Аккуратный расчет покажет, что при работе компьютера суммарная энтропия памяти и окружающей среды увеличивается – а значит, время для него течет в сторону увеличения энтропии.
В работе этого года вопрос стоит о том же, а вот подход к решению немного другой. Авторы предлагают мысленный эксперимент: два сообщающихся сосуда, один с газом, другой без; между сосудами стоит демон Максвелла счетчик и считает, сколько молекул в какую сторону пролетело. Термодинамическая стрела направлена в сторону уравнивания концентраций газов. Если психологическое время течет туда же, счетчик и считает, сколько молекул в какую сторону пролетело. Если же стрела времени направлена в противоположную сторону, то счетчик считает сколько молекул пролетит – этакая память о будущем.
Теперь немного подвинем одну из молекул в начале психологического времени. Если стрелы времени сонаправлены, то ничего не произойдет: конечное состояние системы будет примерно таким же, счетчик будет поначалу отсчитывать проходы в те же моменты времени (может быть, немного другие в будущем). Если же стрелы направлены противоположно, то система не сможет вернуться в состояние «весь газ в одном сосуде», потому что вероятность такого процесса крайне мала и очень чувствительна к начальным условиям. То есть минимальное изменение начальных условий полностью меняет показания счетчика.
Таким образом, память (счетчика) слабо меняется при слабом изменении прошлого для сонаправленных стрел времени, и кардинально перестраивается для противонаправленных. В последнем случае память сложно назвать памятью, потому что она перестает хранить то, что происходило. Авторы на этом не останавливаются, а вводят некие характеристики памяти, обобщают теорию на другие типы памяти и вообще здорово проводят время обсуждают множество других интересных аспектов. Что замечательно, при всем этом на 8 страницах они пишут всего 4 формулы и рисуют одну картинку.
Вместо заключения
Приятно увидеть глубокую философскую публикацию на страницах одного из ведущих физических журналов. Не менее приятно осозновать, что мы стали на несколько шагов ближе к квантовым вычислениям. Будем ждать новых интересных работ в наступающем году.
Автор: qbertych
