
Скачать файл с кодом и данные можно в оригинале поста в моем блоге
Существует очень интересный проект — «Розеттский Код». Их цель — «представить решение одинаковых задач на максимально возможном числе различных языков программирования для того, чтобы продемонстрировать их общие места и различия и помочь человеку обладающему знаниями по решению проблемы одним методом узнать другой».
Этот ресурс предоставляет уникальную возможность сравнить коды программ на разных языках, этим мы и займемся в этой статье. Она является полной переработкой и доработкой статьи Джона Маклуна "Code Length Measured in 14 Languages".
Импорт и парсинг данных
Начнем с создания модификации функции Import которая будет хранить данные для дальнейшего использования чтобы не запрашивать их потом у сервера.
Clear[importOnce];
importOnce[args___]:=importOnce[args]=Import[args];
If[FileExistsQ[#], Get[#], Null]&@FileNameJoin[{NotebookDirectory[], "importOnce.mx"}]
Создадим парсер для импорта данных.
Clear[createPageLinkDataset];
createPageLinkDataset[baseLink_]:=createPageLinkDataset[baseLink]=Cases[Cases[Import[baseLink, "XMLObject"], XMLElement["div", {"class"->"mw-content-ltr", "dir"->"ltr", "lang"->"en"}, data_]:>data, Infinity], XMLElement["li", {}, {XMLElement["a", {___, "href"->link_, ___}, {name_}]}]:><|"name"->name, "link"->"http://rosettacode.org"<>link|>, Infinity];
If[FileExistsQ[#], Get[#], Null]&@FileNameJoin[{NotebookDirectory[], "createPageLinkDataset.mx"}]
Импортируем список всех языков программирования, поддерживаемых проектом (их уже более 750):
$Languages=createPageLinkDataset["http://rosettacode.org/wiki/Category:Programming_Languages"];
Dataset@$Languages

Создадим функции перевода имени в ссылку и наоборот, это нам потом пригодится:
langLinkToName[link_String]:=langLinkToName[link]=SelectFirst[$Languages, #[["link"]]==link&]["name"];
langNameToLink[name_String]:=langNameToLink[name]=SelectFirst[$Languages, #[["name"]]==name&]["link"];
Подгрузим список задач, решенных на каждом из языков программирования. Парсинг устроен так, что не все ссылки на страницы будут являться задачами. Мы прочистим их позднее.
$LangTasksAllPre=Map[<|"name"->#["name"], "link"->#["link"], "tasks"->createPageLinkDataset[#["link"]][[All, "link"]]|>&, $Languages];
Dataset@$LangTasksAllPre
Вычислим список всех потенциальных задач, решение которых есть в проекте (их чуть более 2600):
$TasksPre=DeleteDuplicates[Flatten[$LangTasksAllPre[[;;, "tasks"]]]];
Length[$TasksPre]

Создадим функцию, которая выцепляет все фрагменты кода на странице задачи.
ClearAll[codeExtractor];
codeExtractor[link_String]:=Module[{code, positions, rawData},
code=importOnce[link, "XMLObject"];
positions=Map[{#[[1, 1;;-2]], Partition[#[[;;, -1]], 2, 1]}&,
DeleteCases[
Gather[
Position[code, XMLElement["h2", _, title_]],
And[Length[#1]==Length[#2], #1[[1;;-2]]==#2[[1;;-2]]]&],
x_/;
Length[x]==1]];
rawData=Framed/@Flatten[Map[
With[{pos=#[[1]]}, Map[Extract[code, pos][[#[[1]];;#[[2]]-1]]&, #[[2]]]]&, positions],
1];
Association@DeleteCases[Map[langLinkToName[("link"/.#)]->("code"/.#)&, Map[
KeyValueMap[If[#1==="link", #1->#2[[1]], #1->#2]&, Merge[SequenceSplit[Cases[#, Highlighted[x_, ___]:>x, Infinity], {"Output"}][[1]], Identity]]&,
rawData/.{XMLElement["h2", _, title_]:>Cases[title, XMLElement["a", {___, "href"->linkInner_/;
MemberQ[$Languages[[;;, "link"]], "http://rosettacode.org"<>linkInner], ___}, {___}]:>Highlighted[<|"link"->"http://rosettacode.org"<>linkInner|>], Infinity],
XMLElement["div", {}, x_/;
Not[FreeQ[x, "Output:"]]]:>Highlighted["Output"],
XMLElement["pre", _, code_]:>Highlighted[<|"code"->Check[StringJoin@Flatten[code//.XMLElement["span", _, codeFragment_]:>codeFragment//.XMLElement["br", {"clear"->"none"}, {}]:>"n"//.XMLElement["a", {___}, codeFragment_]:>codeFragment//.XMLElement["b", {}, {x_}]:>x//.XMLElement["big", {}, {x_}]:>x//.XMLElement["sup", {}, x_]:>Flatten[x]//.XMLElement["sub", {}, x_]:>Flatten[x]//.XMLElement[_, {___}, x_]:>Flatten[x]], Echo[StringJoin@Flatten[code//.XMLElement["span", _, codeFragment_]:>codeFragment//.XMLElement["br", {"clear"->"none"}, {}]:>"n"//.XMLElement["a", {___}, codeFragment_]:>codeFragment//.XMLElement["b", {}, {x_}]:>x//.XMLElement["big", {}, {x_}]:>x//.XMLElement["sup", {}, x_]:>Flatten[x]//.XMLElement["sub", {}, x_]:>Flatten[x]//.XMLElement[_, {___}, x_]:>Flatten[x]]]]|>, Background->Red]}
]], _->"code"]];
Теперь обработаем все страницы:
ClearAll[taskCodes];
taskCodes[link_]:=taskCodes[link]=Check[codeExtractor[link], Echo[link]];
If[FileExistsQ[#], Get[#], taskCodes/@$TasksPre;
DumpSave[#, taskCodes]]&@FileNameJoin[{NotebookDirectory[], "taskCodes.mx"}];
Пример того, что выдает функция:
Dataset[taskCodes[$TasksPre[[20]]]]

Выделим страницы задач (те, на которых есть хотя бы один фрагмент кода):
$taskLangs=DeleteCases[{#, taskCodes[#]}&/@$TasksPre, {_, <||>}];
$langTasks=Map[<|"name"->#[["name"]], "link"->#[["link"]], "tasks"->With[{lang=#[["name"]]}, Select[$taskLangs, MemberQ[Keys[#[[2]]], lang]&][[;;, 1]]]|>&, $Languages];
Dataset[$langTasks]
Список задач и функции, переводящие имя задачи в ссылку, и наоборот:
$Tasks=<|"name"->StringReplace[URLDecode[StringReplace[#, "http://rosettacode.org/wiki/"->""]], {"_"->" ", "/"->" -> "}], "link"->#|>&/@$taskLangs[[;;, 1]];
taskLinkToName[link_String]:=langLinkToName[link]=SelectFirst[$Tasks, #[["link"]]==link&]["name"];
taskNameToLink[name_String]:=langNameToLink[name]=SelectFirst[$Tasks, #[["name"]]==name&]["link"];
Простая статистика
Для ряда языков пока ещё нет ни одной решенной задачи:
WordCloud[1/StringLength[#]->#&/@Select[$langTasks, Length[#["tasks"]]==0&][[All, "name"]], ImageSize->{1200, 800}, MaxItems->All, WordOrientation->{{-Pi/4, Pi/4}}, FontTracking->"Extended", Background->GrayLevel[0.98], FontFamily->"Intro"]
Список языков у которых есть решенные задачи:
$LanguagesWithTasks=Select[$langTasks, Length[#["tasks"]]=!=0&][[All, "name"]];
Length[$LanguagesWithTasks]

Распределение количества решенных задач по языкам:
Histogram[Length/@$langTasks[[;;, "tasks"]], 50, PlotRange->All, BarOrigin->Bottom, AspectRatio->1/2, ImageSize->700, Background->White, Frame->True, GridLines->Automatic, FrameLabel->Map[Style[#, 20]&, {"Количество задач", lg["Количество языков"]}], ScalingFunctions->"Log10", PlotLabel->Style["Распределение количества решенных задач по языкам", 20]]

Распределение количества языков по решенным задачам:
Histogram[Length/@$taskLangs[[;;, 2]], 50, PlotRange->All, AspectRatio->1/2, ImageSize->700, Background->White, Frame->True, GridLines->Automatic, FrameLabel->Map[Style[#, 20]&, {"Количество языков", "Количество задач"}], PlotLabel->Style["Распределение количества языков по решенным задачам", 20]]

Языки, в которых больше всего решенных задач:
BarChart[#1[[;;, 2]], PlotRangePadding->0, BarSpacing -> 0.1, BarOrigin -> Left, AspectRatio -> 1, ImageSize -> 1000, ChartLabels -> #1[[;;, 1]], Frame -> True, GridLines -> {Range[0, 10^3, 50], None}, ColorFunction -> ColorData["Rainbow"], FrameLabel->{{None, None}, Style[#, FontFamily->"Open Sans Light", 16]&/@{"Количество решенных задач", "Количество решенных задач"}}, FrameTicks->{Automatic, {All, All}}, Background->White] &@DeleteCases[SortBy[{#[["name"]], Length[#[["tasks"]]]}&/@$langTasks, Last], {_, x_/;
x<200}]
Задачи, решенные на наибольшем числе языков программирования:
BarChart[#1[[;;, 2]], PlotRangePadding->0, BarSpacing -> 0.2, BarOrigin -> Left, AspectRatio -> 1.6, ImageSize -> 1000, ChartLabels -> #1[[;;, 1]], Frame -> True, GridLines -> {Range[0, 10^3, 50], None}, ColorFunction -> ColorData["Rainbow"], FrameLabel->{{None, None}, Style[#, FontFamily->"Open Sans Light", 16]&/@{"Количество языков программирования", "Количество языков программирования"}}, FrameTicks->{Automatic, {All, All}}, Background->White] &@DeleteCases[SortBy[{taskLinkToName[#[[1]]], Length[#[[2]]]}&/@$taskLangs, Last], {_, x_/;
x<100}]
Задачи, имеющие решение для заданного набора языков программирования
Функция, которая выводит задачи, решенные на одном или нескольких языках программирования сразу:
commonTasks[lang_String]:=commonTasks[lang]=Sort[SelectFirst[$langTasks, #["name"]==lang&][["tasks"]]];
commonTasks["Mathematica"]:=commonTasks["Mathematica"]=Union[commonTasks["Wolfram Language"], Sort[SelectFirst[$langTasks, #["name"]=="Mathematica"&][["tasks"]]]];
commonTasks[lang_List]:=commonTasks[lang]=Sort[Intersection@@(commonTasks/@lang)];
Задачи, общие для первых 25 самых популярных языков (размер шрифта соответствует относительному количеству языков, на которых задача решена):
WordCloud[With[{tasks=taskLinkToName/@commonTasks[SortBy[{#[["name"]], Length[#[["tasks"]]]}&/@$langTasks, Last][[-25;;-1]][[;;, 1]]]}, Transpose@{tasks, tasks/.Rule@@@SortBy[{taskLinkToName[#[[1]]], Length[#[[2]]]}&/@$taskLangs, Last]}], ImageSize->{1000, 1000}, MaxItems->All, WordOrientation->{{-Pi/4, Pi/4, 0, Pi/2}}, Background->GrayLevel[0.98], FontFamily->"Intro"]
Функциия для измерения длины кода
Далее нам необходима метрика для оценки длины кода. Обычно считается, что это количество строк кода:
SetAttributes[lineCount, Listable]
lineCount[str_String]:=StringCount[StringReplace[StringReplace[str, {" "->"", "t"->""}], "n"..->"n"], "n"]+1;
Но так как на этот параметр существенно влияет разметка кода (в конце концов, скажем, в Wolfram Langiuage (Mathematica) Вы можете в одной строчке написать сразу несколько команд), мы будем использовать в качестве метрики число символов которые не являются пробелами.
SetAttributes[characterCount, Listable]
characterCount[str_String]:=StringLength[StringReplace[str, WhitespaceCharacter->""]];
Такая метрика играет не на руку Mathematica с ее длинными описательными именами команд (что несомненно большой плюс за пределами этого блога) поэтому также реализуем метрику основанную на подсчете токенов («знаковых» объектов), в качестве которых будем брать отдельные слова разделенные любым символом не являющимся буквой.
SetAttributes[tokens, Listable]
tokens[str_String]:=DeleteCases[StringSplit[str, Complement[Characters@FromCharacterCode[Range[1, 127]], CharacterRange["a", "z"], CharacterRange["A", "Z"], CharacterRange["0", "9"], {"."}]], ""];
tokenCount[str_String]:=Length[tokens[str]];
Измерение длины кода
Получим набор данных относительно каждой задачи:
$taskData=Map[<|"name"->#[[1]], "lineCount"->Map[lineCount, #[[2]]], "characterCount"->Map[characterCount, #[[2]]], "tokens"->Map[Flatten[tokens[#]]&, #[[2]]]|>&, $taskLangs];
Dataset[$taskData]
Функция, которая собирает статистику по каждому языку относительно всех задач, решенных на нем:
Clear[langData];
langData[name_]:=langData[name]=<|"name"->name,
"lineCount"->If[name==="Mathematica", DeleteMissing[AssociationThread[#[[;;, "name"]]->Lookup[#[[;;, "lineCount"]], name]]]~Join~DeleteMissing[AssociationThread[#[[;;, "name"]]->Lookup[#[[;;, "lineCount"]], "Wolfram Language"]]], AssociationThread[#[[;;, "name"]]->Lookup[#[[;;, "lineCount"]], name]]],
"characterCount"->If[name==="Mathematica", DeleteMissing[AssociationThread[#[[;;, "name"]]->Lookup[#[[;;, "characterCount"]], name]]]~Join~DeleteMissing[AssociationThread[#[[;;, "name"]]->Lookup[#[[;;, "characterCount"]], "Wolfram Language"]]], AssociationThread[#[[;;, "name"]]->Lookup[#[[;;, "characterCount"]], name]]],
"tokens"->If[name==="Mathematica", DeleteMissing[AssociationThread[#[[;;, "name"]]->Lookup[#[[;;, "tokens"]], name]]]~Join~DeleteMissing[AssociationThread[#[[;;, "name"]]->Lookup[#[[;;, "tokens"]], "Wolfram Language"]]], AssociationThread[#[[;;, "name"]]->Lookup[#[[;;, "tokens"]], name]]]|>&@(With[{task=#}, SelectFirst[$taskData, #[["name"]]==task&]]&/@commonTasks[name]);
Map[langData, $LanguagesWithTasks];
Функция, вычисляющая метрики сравнения для двух (или более) языков программирования на основе всех общих для них задач:
ClearAll[compareLanguagesData, compareLanguages];
compareLanguagesData[langs_List/;
Length[langs]>=2]:=compareLanguagesData[langs]=Module[{tasks, data},
tasks=commonTasks[langs];
data=langData/@langs;
<|"lineCount"->Transpose[Lookup[#[["lineCount"]], tasks][[;;, 1]]&/@data],
"characterCount"->Transpose[Lookup[#[["characterCount"]], tasks][[;;, 1]]&/@data],
"tokensCount"->Transpose[Lookup[Map[Length, #[["tokens"]]], tasks]&/@data]|>
];
compareLanguages[langs_List/;
Length[langs]>=2, function_]:=Module[{data},
data=compareLanguagesData[langs];
Map[Map[function, #]&, data]
];
Анализ и визуализации
Теперь мы можем получить массу аналитики.
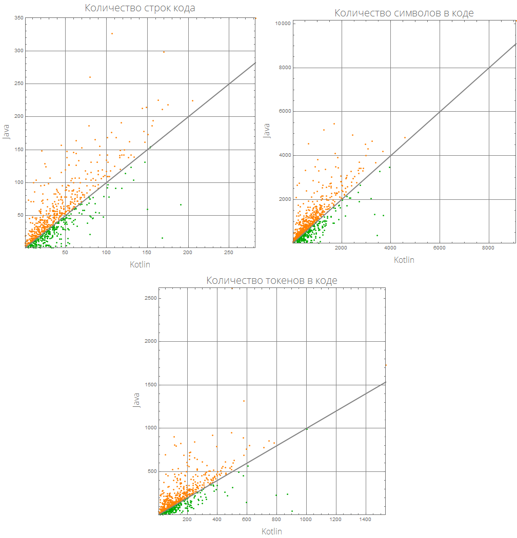
Для начала сравним абсолютные показатели. Функция, приведенная ниже, строит график, на котором точками показано соответствующее значения для двух языков. Если точка находится под линией диагонали (масштаб по осям разный, часто, если длина кода сильно разнится), то это означает, что язык снизу «выиграл», иначе — язык «сверху».
compareGraphic[{lang1_, lang2_}]:=
Grid[{#[[1;;2]], {#[[3]], SpanFromLeft}}&@KeyValueMap[Graphics[{Map[{If[#[[1]]<#[[2]], Orange, Darker@Green], Point[#]}&, #2], AbsoluteThickness[2], Gray, InfiniteLine[{{0, 0}, {1, 1}}]}, PlotRangePadding->0, GridLines->Automatic, AspectRatio->1, PlotRange->All, Frame->True, ImageSize->500, Background->White, FrameLabel->(Style[#/."Mathematica"->"Wolfram Language (Mathematica)", 16, FontFamily->"Open Sans Light"]&/@{lang1, lang2}), PlotLabel->(Style[(#1/.{"lineCount"->"Количество строк кода", "characterCount"->"Количество символов в коде", "tokensCount"->"Количество токенов в коде"}), 20, FontFamily->"Open Sans Light"])]&, compareLanguages[{lang1, lang2}, Identity]], Background->White]
Явно видно, что кода на Wolfram Language всегда почти короче кода на C:
compareGraphic[{"Mathematica", "C"}]
Или Pytnon:
compareGraphic[{"Mathematica", "Python"}]
А вот, например, Kotlin и Java по сути «одинаковые» в плане длины кода:
compareGraphic[{"Kotlin", "Java"}]
Это графическое представление можно сделать более информативным:
comparePlot[{lang1_, lang2_}]:=
Grid[{#[[1;;2]], {#[[3]], SpanFromLeft}}&@KeyValueMap[ListLinePlot[Sort@#2, GridLines->Automatic, AspectRatio->1, PlotRange->{Automatic, {0, 2}}, Frame->True, ImageSize->500, Background->White, FrameLabel->(Style[#/."Mathematica"->"Wolfram Language (Mathematica)", 16, FontFamily->"Open Sans Light"]&/@{lang1, lang2}), PlotLabel->(Style[(#1/.{"lineCount"->"Количество строк кода", "characterCount"->"Количество символов в коде", "tokensCount"->"Количество токенов в коде"}), 20, FontFamily->"Open Sans Light"]), ColorFunction->(If[#2>1, Orange, Darker@Green]&), ColorFunctionScaling->False, PlotStyle->AbsoluteThickness[3]]&, compareLanguages[{lang1, lang2}, Divide[#[[1]], #[[2]]]&]], Background->White]
comparePlot[{"Mathematica", "R"}]
comparePlot[{"BASIC", "ALGOL 68"}]
Зададим функцию, которая будет выводить список «популярных» языков программирования (тех, на которых решено наибольшее число задач):
Clear[$popularLanguages];
$popularLanguages[n_/;
n>2]:=$popularLanguages[n]=Reverse[SortBy[{#[["name"]], Length[#[["tasks"]]]}&/@$langTasks, Last][[-n;;-1]]]
$popularLanguages[25]

Визуализируем список из первых 350 языков (именно так создана заставка к этому посту в начале):
WordCloud[$popularLanguages[350], ColorNegate@Binarize@ImageCrop@Import@"D:\YandexDisk\WolframMathematicaRuFiles\388-3885229_rosetta-stone-silhouette-stone-silhouette-png-transparent-png.png", ImageSize->1000, MaxItems->All, WordOrientation->{{-Pi/4, Pi/4}}, FontTracking->"Extended", Background->GrayLevel[0.98], FontFamily->"Intro"]
Функция, выводящая анализ длины кода в разных метриках для n первых по популярности языков:
ClearAll[langMetricsGrid];
langMetricsGrid[n_Integer, type_, OptionsPattern[{"SortQ"->True, "measureFunction"->Mean}]]:=Module[{$nPL, $pl, tableData, scale, notSortedTableData, order, fullTableData, min, max, orderedMeans, meanFunction},
$nPL=n;
meanFunction[{lang1_, lang2_}]:=Quiet[Map[Median[N[#]]&, compareLanguages[{lang1, lang2}, Divide[#[[1]], #[[2]]]&]/.ComplexInfinity->Nothing/.Indeterminate->Nothing]];
$pl=$popularLanguages[$nPL][[;;, 1]];
tableData=Quiet@Table[If[i==j, "", meanFunction[{$pl[[i]], $pl[[j]]}][[type]]], {i, 1, $nPL}, {j, 1, $nPL}];
order=If[OptionValue["SortQ"],
Ordering[tableData, All, OptionValue["measureFunction"][#1/.""->Nothing]<OptionValue["measureFunction"][#2/.""->Nothing]&], Range[1, $nPL]];
orderedMeans=Round[If[OptionValue["SortQ"],
Map[Mean, tableData/.""->Nothing][[order]], Map[Mean, tableData/.""->Nothing]], 1/1000]//N;
{min, max}=MinMax[Cases[Flatten[tableData], _?NumericQ]];
scale=Function[Evaluate[Rescale[#, {min, max}, {0, 1}]]];
fullTableData=Transpose[{{""}~Join~$pl[[order]]}~Join~{{"Среднее"}~Join~orderedMeans}~Join~Transpose[{Map[Rotate[#, 90Degree]&, $pl]}~Join~ReplaceAll[tableData, x_?NumericQ:>Item[Round[x, 1/100]//N, Background->Which[x<1, LightGreen, x==1, LightBlue, x>1, LightRed]]][[order]]/.""->Item["", Background->Gray]]];
Framed[Labeled[Style[Row[{"Медианное значение отношения количества ", Style[type/.{"lineCount"->"строк кода", "characterCount"->"символов в коде", "tokensCount"->"токенов в коде"}, Bold], "nв решении задач на разных языках программирования"}], 22, FontFamily->"Open Sans Light", TextAlignment->Center], Grid[fullTableData, Background->White, ItemStyle->Directive[FontSize -> 12, FontFamily->"Open Sans Light"], Dividers->White]], FrameStyle->None, Background->White]];
Медианное значение отношения количества строк кода в решении задач на разных языках программирования:
langMetricsGrid[25, "lineCount", "SortQ"->False]
Если отсортировать таблицу по столбцу «Среднее», будет более наглядно — лидирует Wolfram Language (Mathematica):
langMetricsGrid[25, "lineCount", "SortQ"->True]
Медианное значение отношения количества символов в коде в решении задач на разных языках программирования:
langMetricsGrid[25, "characterCount", "SortQ"->True]
Медианное значение отношения количества токенов в коде в решении задач на разных языках программирования:
langMetricsGrid[25, "tokensCount", "SortQ"->True]
Эти же таблицы можно построить, скажем, для первых 50 по популярности языков:
langMetricsGrid[50, "lineCount", "SortQ"->True]
langMetricsGrid[50, "characterCount", "SortQ"->True]
langMetricsGrid[50, "tokensCount", "SortQ"->True]
Можем представить эту же информацию компактнее — в виде ящиков с усами (box-and-whiskers diagram):
ClearAll[langMetricsBoxWhiskerChart];
langMetricsBoxWhiskerChart[n_Integer, type_, OptionsPattern[{"SortQ"->True, "measureFunction"->Mean}]]:=Module[{$nPL, $pl, tableData, scale, notSortedTableData, order, fullTableData, min, max, orderedMeans, meanFunction},
$nPL=n;
meanFunction[{lang1_, lang2_}]:=Quiet[Map[Median[N[#]]&, compareLanguages[{lang1, lang2}, Divide[#[[1]], #[[2]]]&]/.ComplexInfinity->Nothing/.Indeterminate->Nothing]];
$pl=Reverse@$popularLanguages[$nPL][[;;, 1]];
tableData=Quiet@Table[If[i==j, "", meanFunction[{$pl[[i]], $pl[[j]]}][[type]]], {i, 1, $nPL}, {j, 1, $nPL}];
order=If[OptionValue["SortQ"],
Ordering[tableData, All, OptionValue["measureFunction"][#1/.""->Nothing]>OptionValue["measureFunction"][#2/.""->Nothing]&], Range[1, $nPL]];
Framed[Labeled[Style[Row[{"Медианное значение отношения количества ", Style[type/.{"lineCount"->"строк кода", "characterCount"->"символов в коде", "tokensCount"->"токенов в коде"}, Bold], "nв решении задач на разных языках программирования"}], 22, FontFamily->"Open Sans Light", TextAlignment->Center],
BoxWhiskerChart[tableData[[order]], "Outliers", ChartLabels->$pl[[order]], BarOrigin->Left, ImageSize->1000, AspectRatio->1, GridLines->{Range[0, 20, 1/2], None}, FrameTicks->{Range[0, 20, 0.5], Automatic}, PlotRangePadding->0, PlotRange->{{0, 8}, Automatic}, Background->White]
], FrameStyle->None, Background->White]];
Языки отсортированы по популярности (диаграмма показывает отношение количества строк кода между языками):
langMetricsBoxWhiskerChart[80, "lineCount", "SortQ"->False]
По значению медианы:
langMetricsBoxWhiskerChart[50, "lineCount", "SortQ"->True]
Наконец, диаграммы относительно количества символов и токенов:
langMetricsBoxWhiskerChart[50, "characterCount", "SortQ"->True]
langMetricsBoxWhiskerChart[50, "tokensCount", "SortQ"->True]
Посмотрим, какие токены популярны в разных языках:
languagePopularTokens[lang_, nMin_:50]:=Framed[Labeled[Style[Row[{"Популярные токены языка ", Style[lang, Bold]}], FontFamily->"Open Sans Light", 24], WordCloud[Cases[SortBy[Tally[Flatten[Values[langData[lang][["tokens"]]]]], -Last[#]&], {x_/;
(StringLength[x]>1&&StringMatchQ[x, RegularExpression["[a-zA-Z0-9.]+"]]&&Not[StringMatchQ[x, RegularExpression["[0-9.]+"]]]), y_/;
y>nMin}], ImageSize->{1000, 500}, MaxItems->200, WordOrientation->{{-Pi/4, Pi/4}}, Background->GrayLevel[0.98]]], FrameStyle->None, Background->White]
clouds=Grid[{Image[#, ImageSize->All]&@Rasterize[languagePopularTokens[#, 10]]}&/@{"Mathematica", "C", "Python", "Go", "JavaScript"}]
И, наконец, очень интересное сравнение языков на основе близости их токенов.
Функция langSimilarity работает следующим образом: сначала отбираются «осмысленные токены» (таковыми считаются все, являющиеся строками из символов латинского алфавита, длиной не менее 2 символов, которые могут содержать точку); затем ищутся токены для пары языков lang1 и lang2; после этого считается мера их «похожести», как произведение меры Жаккара двух множеств токенов на сумму, отвечающую за близость токенов между друг другом (сумма элементов вида , где
— сумма появлений токена во всех решениях задач языка lang1 и lang2, соответственно).
Clear[langSimilarity];
langSimilarity[{lang1_, lang2_}]:=langSimilarity@@(Sort[{lang1, lang2}]);
langSimilarity[lang1_, lang2_]:=langSimilarity[lang1, lang2]=Module[{tokens, t1, t2, t1W, t2W, intersection},
tokens[lang_]:=Module[{values, tokensPre, allValues, replacements, n},
values=Values[langData[lang][["tokens"]]];
n=Length[values];
allValues=DeleteDuplicates[Flatten[values]];
tokensPre=Cases[allValues, x_/;
(StringLength[x]>1&&StringMatchQ[x, RegularExpression["[a-zA-Z0-9.]+"]]&&Not[StringMatchQ[x, RegularExpression["[0-9.]+"]]])];
replacements=Dispatch@ Thread[Complement[allValues, tokensPre]->Nothing];
Cases[Tally@Flatten@(values/.replacements), {t_, x_/;
x>=n/10}:>{t, x}]];
{t1, t2}=tokens/@{lang1, lang2};
{t1W, t2W}=Dispatch/@{Rule@@@t1, Rule@@@t2};
intersection=Intersection[t1[[;;, 1]], t2[[;;, 1]]];
Times@@{Total[(#[[1]]+#[[2]])/(1+Abs[#[[1]]-#[[2]]])&/@Transpose@N[{intersection/.t1W, intersection/.t2W}]], Length[intersection]/Length[Union[t1[[;;, 1]], t2[[;;, 1]]]]}]
ClearAll[langSimilarityGrid];
langSimilarityGrid[n_Integer, OptionsPattern[{"SortQ"->True, "measureFunction"->Mean}]]:=Module[{$nPL, $pl, tableData, notSortedTableData, order, fullTableData, min, max, orderedMeans, median, rescale},
$nPL=n;
$pl=$popularLanguages[$nPL][[;;, 1]];
tableData=Quiet@Table[If[i==j, "", langSimilarity[{$pl[[i]], $pl[[j]]}]], {i, 1, $nPL}, {j, 1, $nPL}];
{min, max}=MinMax[Flatten[tableData]/.""->Nothing];
median=10^Median@Log10@Flatten[tableData/.""->Nothing];
rescale=Function[Evaluate[Rescale[#, {median, max}, {0, 1}]]];
order=If[OptionValue["SortQ"],
Ordering[tableData, All, OptionValue["measureFunction"][#1/.""->Nothing]>OptionValue["measureFunction"][#2/.""->Nothing]&], Range[1, $nPL]];
fullTableData=Transpose[{{""}~Join~$pl[[order]]}~Join~Transpose[{Map[Rotate[#, 90Degree]&, $pl]}~Join~ReplaceAll[tableData[[order]], x_?NumericQ:>Item[Style[Round[x, 1], If[x<median, Black, White]], Background->If[x<median, LightGray, ColorData["Rainbow"][rescale[x]]]]]/.""->Item["", Background->Gray]]];
Framed[Labeled[Style["Близость языков на основе анализа токенов (в условных единицах)", 22, FontFamily->"Open Sans Light", TextAlignment->Center], Grid[fullTableData, Background->White, ItemStyle->Directive[FontSize -> 12, FontFamily->"Open Sans Light"], Dividers->White]], FrameStyle->None, Background->White]];
Вот что мы получаем (неотсортированная таблица):
langSimilarityGrid[30, "SortQ"->False]
Отсортированная таблица (по среднему сходству с другими языками — чем выше строка, тем на большее число других языков программирования похож данный язык):
langSimilarityGrid[30, "SortQ"->True]
Наконец, большая таблица для первых 50 языков по популярности.
Вполне ожидаемо, что «ключевые» языки, вроде Java, С, С++, С# находятся в топе. Туда же затесался Racket (ранее — PLTScheme), одним из назначений которого является создание, разработка и реализация языков программирования.
Интересно, что Wolfram Language оказался по сути ни на что не похожим языком.
Также видны связи между языками, скажем очень хорошо видна связь между Java и C#, Go и C, С и Java, Haskell и Java, Kotlin и Java, Python и Phix, Python и Racket и другое.
langSimilarityGrid[50, "SortQ"->True]
Надеюсь, что это исследование будет интересно для вас и вы сможете открыть для себя что-то новое. Для меня, как человека, постоянно использующего Wolfram Language было приятно узнать, что он получается самым «компактным» языком, с одной стороны, с другой стороны его объективная «непохожесть» на другие языки, очевидно, делает вхождение в него несколько сложнее.
Хотите научиться программировать на языке Wolfram Language?
Смотрите еженедельные вебинары.
Регистрация на новые курсы. Готовый онлайн курс.
Автор: Осипов Роман




























