
В предыдущей статье мы уже говорили о манипуляциях со свойствами веществ, используемых в создании устройств хранения информации. В том случае это было переключение ферромагнитных свойств. А что если не использовать магнитное поле и вообще не касаться таких понятий как магнетизм? Возможно ли будет сделать производительное и надежное устройство? Именно в этом направлении и проводились исследования Рандалл Виктора (Randall H Victora) и Ахмед Рассем Ваззан (Ahmed Rassem Wazzan). Главной темой данного исследования было управление магнитными свойствами наноструктур посредством электрического поля. Целью же было рассмотрение возможностей создания энергоэффективной памяти высокой плотности. Подробности мы узнаем, ознакомившись с докладом ученых. Поехали.
Господа Виктора и Ваззан разработали технику микромагнитной симуляции магнитоэлектрического эффекта (MЭ) в базовых структурах Cr2O3 (сесквиоксид хрома). Было выявлено, что микроскопическая магнитоэлектрическая восприимчивость сильно отличается от экспериментально полученных значений. Данная разница становится более явной при приближении к точке Кюри*, влияя на работу устройства в комнатной температуре.

В качестве демонстрации точки Кюри используем изображение из предыдущей статьи: кусочек железа, нагретый до температуры выше точки Кюри лишь слегка притягивается к магниту. После охлаждения его ферромагнитные свойства восстанавливаются полностью.
Точка Кюри* — параметр, определяющий температуру, при которой вещество теряет свои ферромагнитные свойства. Когда температура превышает границу, установленную точкой Кюри, интенсивность теплового движения атомов возрастает и разрушает магнитный порядок электронов, т.е. симметрия нарушается, и ферромагнетик становится парамагнетиком (веществом, способным намагничиваться за счет воздействия внешнего магнитного поля, например алюминий или литий).
Было предложено использование электрического поля, контролирующего MЭ переключение элементов. В отличие от традиционного использования переменного магнитного поля, данная техника использует квантовомеханический обмен. После установления зависимых от температуры физических параметров, характеристики переключения были изучены при различных переменных: температура, воздействующее электрическое поле и профиль Cr2O3. Было обнаружено, что использование квантовомеханического обмена способно уменьшить необходимое электрическое поле и улучшить масштабируемость, сохраняя при этом термическую стабильность*.<blockquote Термическая стабильность* — способность к сохранению исходного состава под действием тепловых нагрузок.
Основа технологии
Большое внимание исследователей привлекли магнитоэлектрические Cr2O3 гетероструктуры, за счет возможности переключать полярность обменного смещения* ферромагнетика с использованием электрического поля.
Обменное смещение* — особенность петель гистерезиса** перемагничивания магнитных материалов, проявляющаяся в несимметричном расположении петли относительно оси ординат.
Гистерезис** — свойство физических систем, мгновенный отклик которых зависит и от их текущего состояния.
Данное переключение является следствием тесной связи между граничной намагниченностью поверхности образца и антиферромагнитным упорядочиванием внутри образца, которое можно изменять посредством применения переменного электрического поля и постоянного магнитного поля. Такие процессы отличаются от тех, что происходят внутри других мультиферроиков* (например, BaTiO3 — Титанат бария).
Мультиферроики* — вещества, в которых присутствуют два или более типа ферро-упорядочивания (ферромагнитное, сегнетоэлектрическое и сегнетоэластичность).
Проверка теории данной технологии проводилась как на объемном Cr2O3, так и на тонкой пленке из этого вещества. Однако уменьшение толщины пленки ниже 100 нм и латеральное масштабирование до размеров современных CMOS-устройств сталкивается с рядом проблем и сложностей. Чем тоньше становится пленка, тем ниже становится электромагнитный отклик, а уровень необходимой энергии резко возрастает. Не говоря уже о том, что при этом антиферромагнетик Cr2O3 должен работать на пределе электрического пробоя*.
Электрический пробой* — скачок силы тока в диэлектрике, возникающий при воздействии напряжения выше критического.
Кроме того, необходимость применения магнитного поля в схеме переключения обменного смещения, выявленная в исследованиях, делает систему значительно менее привлекательной для производства памяти, контролируемой электрическим полем.
Чем меньше будет устройство, тем сильнее должно быть магнитное поле, даже если электрическое будет работать на грани пробоя.
Выводом из вышеуказанных проблем является необходимость реализовать подходы, способные уменьшить или элиминировать необходимость внешних полей. Данное же исследование не дает однозначных ответов и не является основой будущего революционного устройства. Оно рассматривает возможности использования исключительно электрического поля для управления магнитоэлектрическими элементами, при этом избавившись от потребности в магнитном поле.
Схема и структура

Изображение №1
На изображении 1а продемонстрирован блок памяти на основе Cr2O3. Устройство состоит из МЭ Cr2O3 с кристаллической структурой альфа-оксида алюминия и считывающим туннельное магнетосопротивление* блоком.
Туннельное магнетосопротивление* — квантовомеханический эффект, возникающий при прохождении тока между двумя слоями ферромагнетиков, разделенных тонким слоем диэлектрика.
Отличные показатели антиферромагнитной связи с поверхностными спинами Cr3+ были продемонстрированы в сочетаниях Co/Pd* за счет эпитаксии*, а также в сочетании Co/Pt* посредством ионного распыления*.
Эпитаксия* — нарастание одного кристаллического материала на поверхности другого при более низких температурах.
Ионное распыление* — поверхность твердого тела бомбардируется тяжелыми заряженными частицами (или нейтральными), что приводит к эмиссии атомов.
Co — Кобальт, является ферромагнетиком.
Pd — Палладий, является парамагнетиком.
Pt — Платина, является парамагнетиком.
Основой переключающего элемента является прямоугольное ядро из МЭ Cr2O3, окруженное перманентным магнитом и магнитным переключателем (магнитным шунтом). Схематически это отражено на изображении 1b. Перманентный магнит играет критическую роль в обеспечении магнитного поля, необходимого для Cr2O3, путем обменного взаимодействия Cr3+ моментов. Другими словами, необходимость использовать какое-либо магнитное поле, внутреннее или внешнее, исчерпывается полем, возникающим при обменном взаимодействии по краям между перманентным магнитом и Cr3+ моментами. Магнитный шунт необходим для того, чтобы разорвать блуждающее поле, которое может негативно влиять на соседние компоненты, ответственные за прикладное поле.
Уравнение Ландау—Лифшица—Гильберта (ЛЛГ)
Уравнение с учетом термальных флуктуаций описывает результаты микромагнитных моделирований предложенной исследователями структуры.
Моделирование МЭ Cr2O3 сопряжено с двумя необычными сложностями: зависимость намагниченности от электрического поля и эксплуатация близко к точке Кюри.
Первая проблема была решена путем использования соотношения линейного магнитоэлектрического эффекта (ME) антиферромагнетика (AF), где M=aE, при воздействии магнитного поля, которое разрушает симметрию двух противоположных подрешеток. Проще говоря, если электрическое поле отсутствует, то спин моменты из двух противоположных подрешеток элиминируют друг друга, вырабатывая нулевую намагниченность.
Вторая проблема требует четкого понимания того, что такие внутренние свойства, как анизотропия* (Ku), демпфирование* (Ƞ) и обмен (Aex), являются важными показателями измерений шкалы длины, основываясь на теории ренормализации*.
Анизотропия* — разные свойства сред в различных направлениях внутри среды.
Демпфирование* — устранение или уменьшение колебаний в механизмах. Также можно рассматривать как смягчения отрицательного воздействия какого-либо эффекта на объект.
Ренормализация* — явление в квантовой теории поля. Величины, внедренные как внешние параметры задачи, могут изменяться в результате уравнений движения (в нашем случае это отображение эволюции поля во времени и пространстве).
Исследователи отдали предпочтение именно численному решению, а не аналитическому, поскольку необходимо было получить как можно более реальные результаты. Для этого предсказанные ренормированные параметры (анизотропия, обмен и сатурация намагниченности) должны были совпадать с предсказанными атомическими моделями, которые действительны даже при температуре близкой к точке Кюри. Оценка демпферавания была упрощена путем определения схожести между подрешеткой антиферромагнетика Cr2O3 и ферромагнетиком (к примеру, FePt — сплав железа и платины) и методом масштабирования, в основе которого были ранее вычисленные результаты.

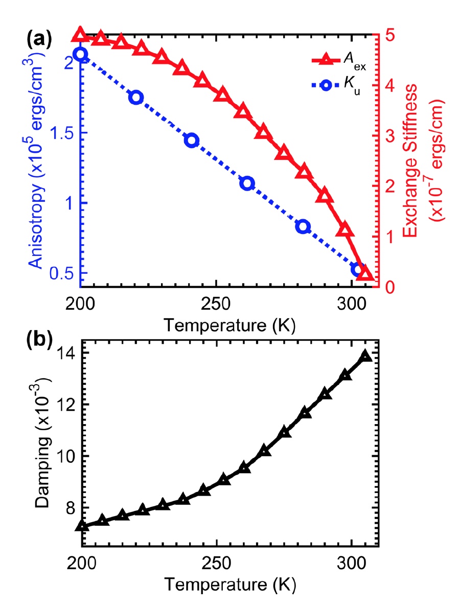
Изображение №2
Изображение выше (2а) показывает вычисленные значения Aex, Ku и Ƞ для шкалы длины в 1,5 нм.
Основной отличительной чертой моделирования Cr2O3 является замена намагниченности на усиленную электрическим полем магнитную поляризацию. Это требует ренормализации магнитоэлектрического эффекта в состояние, противоположное обычной намагниченности. Поскольку подобные действия еще не были описаны ранее, исследователям пришлось применить метод, требующий полного совпадения результатов больших образцов и результатов, полученных экспериментальным путем. Это позволило извлечь a, необходимый для расчетов.
Магнитостатические взаимодействия между ячейками были проигнорированы в расчетах из-за низкой величины намагниченности (< 10emu/cm3) и относительно небольших размеров тестируемых образцов.
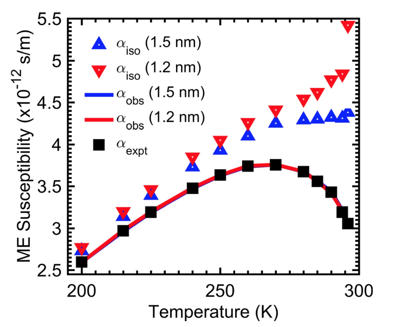
Для проверки изменений МЭ в режиме критической температуры восприимчивость МЭ была переоценена посредством методик, описанных ранее. Расчеты проводились для E= 2MV/cm и H= 6 kOe. Для формирования общего представления об МЭ расчеты проводились с учетом однородного внешнего магнитного поля, а не неоднородного, как это есть в квантовом обменном взаимодействии на краях образца.
Магнитоэлектрическая восприимчивость определяется как aobs(T)=[M (T)]/E, где [M(T)] это средний показатель чистой намагниченности всех ячеек. А aobs, в свою очередь, представляет предсказанную магнитоэлектрическую восприимчивость, требуемую для уравнения Ландау—Лифшица—Гильберта в качестве входного параметра. Значения aiso были выбраны при каждом показателе температуры таким образом, чтобы выводимые aobs следовали за экспериментально полученными значениями (Aexpt). Результаты анализа продемонстрированы на изображении ниже (3).

Изображение №3
С графика видно сильное отличие между микроскопическими aiso и наблюдаемыми макроскопическими aobs для обеих шкал дискретизации*.
Дискретизация* — преобразование непрерывной функции в дискретную.
Пока aobs и Aexpt следуют не монотонному поведению, aiso постепенно увеличивается с ростом температуры. Чем ближе показатели температуры к точке Кюри, тем больше становится отличие между aiso и aobs. По мере приближения к точке Кюри коллективные спиновые колебания нарушают микроскопические МЭ-ответы.
Эти результаты говорят о том, что сила магнитоэлектрического эффекта сильно снижается при приближении к точке Кюри, даже несмотря на то, что МЭ восприимчивость на атомном уровне крайне сильна. Это говорит о необходимости совершенствовать испытуемый образец, дабы обеспечить нормальную его работу в комнатной температуре.
Характеристики переключений
Поле обмена, исходящее из перманентного магнита, полностью нивелирует необходимость применять магнитное поле. Степень обменного взаимодействия между перманентным магнитом и ячейками Cr2O3 на краях выражается так: APM = 2х10-7 эрг/см. Если же этот параметр будет ниже, то обмен в режиме критической температуры будет проходить нестабильно. Ориентация намагниченности перманентного магнита была константная для поддержания постоянного обменного поля на краях Cr2O3. Было также установлено, что тактовая частота переключения ячейки объемом 1,5 нм3 совпадает с предсказанной для 3% из ячеек объемом 0,5 от тестируемой.
Изначальное состояние намагниченности уравновешивалось в течение 0,25 нс, после чего производилось резкое изменение («переключение») электрического поля. Было отмечено, что реверс электрического поля приводил к реверсу максимальной поляризации — Mmax=aiso E. Из этого следует, что переключение фактически инициируется путем изменения Mmax в модели уравнения ЛЛГ.
Результаты тестирования переключений отображены на изображении №4.

Изображение №4
Стоит отметить, несмотря на то, что реверс электрического поля приводит к реверсу антиферромагнитизма (т.е. ориентацию нескомпенсированных поверхностных спинов Cr2O3), общая намагниченность остается в привязке с однонаправленным обменным полем перманентного магнита для минимизации необходимой энергии.
Как следствие, дабы продемонстрировать переключение антиферромагнитной упорядоченности, |Mmax|⟨cos(θ)⟩ необходимо было использовать во всех графиках переключения вместо ⟨Mmaxcos(θ)⟩. Где θ обозначает угол ориентации спина ячейки с осью перпендикулярной анизотропии (на изображении 1а представлено буквой z), а ⟨⟩ обозначает среднее значение по всем ячейкам.
На изображении 4а продемонстрировано переключение при различных температурах. Вычисления проводились при исходных данных: E=2 MV/cm и Cr2O3 22.5х22.5х60 нм. Несколько симуляций проводилось для каждой температуры, а отображение ошибок представлено стандартной погрешностью 2r.
Замедление процесса переключения начало наблюдаться при уменьшении поляризации при более высоких температурах, что связано с терминальными флуктуациями*.
Терминальная флуктуация* — отклонения от среднего значения случайных величин, вызванное тепловым движением частиц.
Изображение 4b показывает нам эффект воздействия электрического поля на процесс переключения антиферромагнитного порядка. Набор показанных графиков был получен при температуре 296 K и термальной стабильности 46 kBT при комнатной температуре.
Интересно, что переключения удалось достичь при электрическом поле всего 0.5 MV/cm и без изменений пикового значения ⟨cos(θ)⟩. Это видно на вставке на изображении 4b.
Также исследователи отметили, что скорость переключения увеличивается при более слабом электрическом поле. Это связано с более быстрым, за счет обменного поля перманентного магнита, распространением переключения от краев Cr2O3 до центра.
Дабы понять насколько малы могут быть испытываемые элементы памяти, было проведено несколько симуляций с двумя вариантами габаритов Cr2O3: 15х15 нм и 30х30 нм. При этом электрическое поле составляло 2 MV/cm, а температура — 296 K. Толщина же была сохранена на уровне 60 нм для всех испытуемых образцов.
Результаты показали, что при отсутствии обменного поля перманентного магнита, требуемое прикладное (однородное) поле будет составлять 14 kOe при максимально допустимой силе электрического поля. Этот показатель говорит о непрактичности использования малогабаритных элементов на основе Cr2O3 с применением магнитного поля.
График 4с показывает кривые переключений для всех трех вариантов габаритов Cr2O3. Логично, что переключение происходит гораздо быстрее в образцах меньшей площади. Это поясняется тем, что обменное поле перманентного магнита быстрее распространяется через образец меньшей площади, что ускоряет процесс минимизации энергетического обмена.
Заключения исследователей
В уравнение ЛЛГ был внедрен магнитоэлектрический эффект для оценки его свойств в Cr2O3, а также для возможного его использования в элементах переключения на базе электрического поля.
Использование подхода ренормализации позволили упростить микромагнитные расчеты посредством использования атомических Cr3+ спинов в гексагональных узлах решетки в объемных ячейках Cr2O3 в прямоугольной решетке.
Также были проведены опыты для определения взаимосвязи температуры и процесса переключения.
В результате был представлен образец, демонстрирующий отсутствие необходимости в магнитном поле. Показатели переключения были повышены за счет уменьшения воздействующего электрического поля и области Cr2O3.
Устройство из Cr2O3 с габаритами 22,5х22,5х60 нм при электрическом поле 0.5MV/cm способно надежно и эффективно производить переключения ниже точки Кюри и при термальной стабильности 46 kBT.
Для ознакомления с подробностями и деталями исследования рекомендую почитать доклад ученых
К сожалению, открытый доступ к полному тексту доклада на данный момент закрыли. Однако я успел его загрузить до этого. Желающие с ним ознакомится могут скачать доклад в формате PDF по ссылке
Эпилог
Ученые, проводившие данное исследование, не планировали сделать прорыв. Им было необходимо понять предельные свойства физических явлений в сопряжении с использованием определенных химических соединений. Результаты исследований дают почву для новых исследований в данной области, что, впоследствии, может привести к коммерческой реализации их опытных образцов. Процесс изучения возможности использования исключительно электрического поля и отказ от магнитного затрудняется невероятно сложными опытами. Дабы только понять все процессы, протекающие в процессе одного теста, нужно немало знаний, терпения и усилий. Что уж говорить о реализации проектов на базе этих исследований. Однако, любое исследование, открывшее или пояснившее даже самый незначительный физический или химический процесс и/или явление, уже обретают локальную важность. Другими словами, утрировано, если бы человечество не открыло колесо, то не было бы и автомобилей. Если вы исследователь, никогда не приуменьшайте важность вашего труда. Кто знает, возможно спустя годы ваши наработки дадут толчок новой, незваной ранее технологии.
Спасибо, что остаётесь с нами. Вам нравятся наши статьи? Хотите видеть больше интересных материалов? Поддержите нас оформив заказ или порекомендовав знакомым, 30% скидка для пользователей Хабра на уникальный аналог entry-level серверов, который был придуман нами для Вас: Вся правда о VPS (KVM) E5-2650 v4 (6 Cores) 10GB DDR4 240GB SSD 1Gbps от $20 или как правильно делить сервер? (доступны варианты с RAID1 и RAID10, до 24 ядер и до 40GB DDR4).
Dell R730xd в 2 раза дешевле? Только у нас 2 х Intel Dodeca-Core Xeon E5-2650v4 128GB DDR4 6x480GB SSD 1Gbps 100 ТВ от $249 в Нидерландах и США! Читайте о том Как построить инфраструктуру корп. класса c применением серверов Dell R730xd Е5-2650 v4 стоимостью 9000 евро за копейки?
Автор: Dmytro_Kikot
