
Теория относительности завораживает своими парадоксами. Все мы знаем про близнецов, про возможности засунуть длинный самолёт в короткий ящик. Сегодня каждый выпускник школы знает ответы на эти классические загадки, а уж студенты-физики и подавно считают, что тайн в специальной теории относительности для них не осталось.
Всё бы хорошо, если бы не удручающе обстоятельство — невозможность сверхсветовых скоростей. Неужели никак нельзя быстрее?! — думала я в детстве. А может быть можно?! Поэтому приглашаю вас на сеанс, уж и не знаю, чёрной или белой магии имени Альберта Эйнштейна с разоблачением в конце. Впрочем для тех, кому покажется мало, я приготовила ещё и задачку.
К Альфе Центавра
Приглашаю вас занять места в нашем межзвёздном корабле, который направляется в сторону Альфы Центавра. От конечно точки маршрута нас отдаляют 4 световых года. Внимание, запускаем двигатели. Поехали! Для удобства пассажиров наш капитан установил такую тягу, чтобы мы ускорялись с величиной $inline$a=g$inline$ и ощущали привычную нам на Земле силу тяжести.
Вот мы уже прилично разогнались, пускай до половины скорости света $inline$c/2$inline$. Зададим казалось несложный вопрос: с какой же скоростью мы будем приближаться к Альфа Центавра в нашей собственной (корабельной) системе отсчёта. Казалось бы всё просто, если мы летим со скоростью $inline$c/2$inline$ в неподвижной системе отсчёта Земли и Альфы Центавра, то и с нашей точки зрения мы приближаемся к цели со скоростью $inline$c/2$inline$.
Тот, кто уже почувствовал подвох, совершенно прав. Ответ $inline$c/2$inline$ неверен! Тут надо сделать уточнение, под скоростью приближения к Альфа Центавра я называю изменение оставшегося расстояния до неё, делённое на промежуток времени, за который такое изменение произошло. Всё, разумеется, измеряется в нашей системе отсчёта, связанной с космическим кораблём.
Тут надо вспомнить, о лоренцевском сокращении длины. Ведь разогнавшись до половины скорости света мы обнаружим, что масштаб вдоль направления нашего движения сжался. Напомню формулу:

И теперь, если на скорости в половину скорости света мы измерим расстояние от Земли до Альфы Центавра, мы получил не 4 св. года, а всего лишь 3,46 св.года.
Получается, что только благодаря тому факту, что мы разогнались до $inline$c/2$inline$ мы уже уменьшили расстояние до конечной точки путешествия почти 0,54 св.года. А если мы будем не просто двигаться с большой скоростью, но ещё и ускоряться, то у масштабного фактора появится производная по времени, которая по сути тоже есть скорость приближения и плюсуется к $inline$V$inline$.
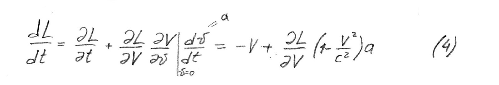
Таким образом помимо к нашей обычной, я бы сказала классической, скорости $inline$V$inline$ добавляется ещё один член — динамическое сокращение длины оставшегося пути, которое возникает тогда и только тогда, когда есть ненулевое ускорение. Ну что же, возьмём карандаш и посчитаем.

Уже здесь мы видим, что первая частная производная — это скорость, просто скорость $inline$V$inline$ со знаком минус, коль скоро мы приближаемся к Альфе Центавра. А вот второе слагаемое — тот самый подвох, о котором, подозреваю, не все задумывались.
Чтобы найти производную скорости по времени во втором слагаемом, надо быть аккуратным, т.к. мы находимся в подвижной системе отсчёта. Проще всего на пальцах её вычислить из формулы сложения релятивистских скоростей. Пусть в момент времени $inline$0$inline$ мы движемся со скоростью $inline$V$inline$, а через какой-то промежуток времени прирастили нашу скорость на $inline$v$inline$. Результирующая скорость по формуле теории относительности будет

Теперь соберём вместе (2) и (3), причём производную от (3) надо взять при $inline$v=0$inline$, т.к. мы рассматриваем малые приращения.
Полюбуемся на конечную формулу

Она удивительна! Если первый член — скорость — ограничен скоростью света, то второй член не ограничен ничем! Возьмите $inline$L$inline$ побольше и… второе слагаемое с лёгкостью может превысить $inline$c$inline$.
— Что-что! — не поверят некоторые.
— Да-да, именно так, — отвечу я. — Оно может быть больше скорости света, больше двух скоростей света, больше 10 скоростей света. Перефразируя Архимеда, могу сказать: «дайте мне подходящую $inline$L$inline$, и я обеспечу вам сколь угодно большую скорость.»
Что ж а давайте подставим числа, с числами всегда интереснее. Как мы помним, капитан установил ускорение $inline$g $inline$, а скорость уже достигла $inline$V=c/2$inline$. Тогда обнаружим, что при $inline$L = 0.71$inline$ светового года, наша скорость приближения сравняется со скоростью света. Если же мы подставим $inline$L = 4$inline$ световых года, то

Прописью: «три целых, три десятых скорости света».
Продолжаем удивляться
Давайте посмотрим ещё более внимательно на формулу (5). Ведь не обязательно садиться в релятивистский космический корабль. И скорость, и ускорение могут быть совсем маленькими. Всё дело в волшебной $inline$L$inline$. Вы только вдумайтесь!
Вот я села в машину и нажала на газ. У меня есть скорость и ускорение. И в этот самый момент я могу гарантировать, что где-то примерно сотне-другой миллионов световых лет впереди меня есть объекты, приближающиеся сейчас ко мне быстрее света. Для простоты я ещё не брала в расчёт скорость движения Земли по орбите вокруг Солнца, и Солнца вокруг центра Галактики. С их учётом объекты со сверхсветовой скоростью приближения окажутся уже совсем поблизости — не на космологических масштабах, а где-то на периферии нашей Галактики.
Получается, что невольно даже при минимальных ускорениях, например встав со стула, мы участвуем в сверхсветовом движении.
Удивляемся ещё
Посмотри на формулу (5) совсем-совсем пристально. Давайте узнаем не скорость приближения к Альфе Центавра, а наоборот скорость удаления от Земли. При достаточно большом $inline$L$inline$, например, на полпути к цели, мы можем обнаружить, что к нам приближается и Земля, и Альфа Центавра. Оправившись от удивления, конечно можно догадаться, что виной всему сокращение длины, которое работает не только вперёд, но и назад. Пространство за кормой космического корабля сжимается быстрее, чем мы улетаем от точки старта.
Несложно понять и другой удивительный эффект. Ведь стоит изменить направление ускорения, как второе слагаемое в (5) тут же поменяет знак. Т.е. скорость приближения может запросто стать нулевой, а то и отрицательной. Хотя обычная скоростью $inline$V$inline$ у нас по прежнему будет направлена к Альфе Центавра.
Разоблачение
Надеюсь, я вас достаточно сбила с толку. Как же так, нас учили, что скорость света максимальна! Нельзя приближаться к чему-либо быстрее скорости света! Но здесь стоит обратить внимание на присказку к любому релятивистскому закону. Она есть в любом учебнике, но кажется, что только загромождает формулировку, хотя именно в ней вся «соль». Эта присказка гласит, что постулаты специальной теории относительности работают «в инерциальной системе отсчёта».
В неинерциальной системе отсчёта Эйнштейн нам ничего не гарантирует. Такие дела!
Надо сказать, что вообще говоря, относительная скорость удалённых друг от друга объектов — понятие плохо определённое. Наше плоское пространство-время в ускоренной системе отсчёта выглядит искривлённым. Это знаменитый «лифт Эйнштейна» эквивалентный гравитационному полю. А сравнивать две векторные величины в искривлённом пространстве корректно, только когда они находятся в одной точке (в одном касательном пространстве из соответствующего векторного расслоения).
Кстати о нашем парадоксе сверхсветовой скорости можно рассуждать и по-другому, я бы сказала интегрально. Ведь релятивистское путешествия к Альфе Центавра займёт по собственным часам космонавта гораздо меньше 4 лет, поэтому поделив изначальное расстояние на затраченное собственное время, мы получим эффективную скорость больше скорости света. По сути это тот же парадокс близнецов. Кому удобно, может именно так и понимать сверхсветовое перемещение.
Вот и весь фокус. Ваша Капитанша Очевидность.
А напоследок я придумала вам домашнее задание или наброс для обсуждения в комментариях.
Задачка
Земляне и альфацентавры решили обменяться делегациями. С Земли стартовал космический корабль со скорость $inline$c/2$inline$. Одновременно с ним с Альфы Центавра навстречу отправилась летающая тарелка инопланетян с той же скоростью.

Каково расстояние между кораблями в системе отсчёта корабля землян в момент старта, когда они находились у Земли и Альфы Центавра соответственно? Напишите ответ в комментариях.
Автор: Александра Григорьева
